Abstract
Linking the type and timing of hydrologic changes with patterns of urban growth is essential to identifying the underlying mechanisms that drive declines in urban aquatic ecosystems. In six urbanizing watersheds surrounding three U.S. cities (Baltimore, MD, Boston, MA, and Pittsburgh, PA), we reconstructed the history of development patterns since 1900 and assessed the magnitude and timing of stream flow changes during watershed development. Development reconstructions indicated that the majority of watershed development occurred during a period of peak population growth, typically between 1950 and 1970. Stream flow records indicated significant increases in annual frequency of high-flow events in all six watersheds and increases in annual runoff efficiency in five watersheds. Annual development intensity during the peak growth period had the strongest association with the magnitude of changes in high-flow frequency from the pre- to post-development periods. Results suggest the timing of the peak growth period is particularly important to understanding hydrologic changes, because it can set the type of stormwater infrastructure installed within a watershed. In three watersheds there was a rapid (∼10-15 years) shift toward more frequent high-flow events, and in four watersheds there was a shift toward higher runoff efficiency. Breakpoint analyses indicated these shifts occurred between 1969 and 1976 for high-flow frequency and between 1962 and 1984 for runoff efficiency. Results indicated that the timing of high-flow changes were mainly driven by the development trajectory of each watershed, whereas the timing of runoff-efficiency changes were driven by a combination of development trajectories and extreme weather events. Our results underscore the need to refine the causes of urban stream degradation to incorporate the impact of gradual versus rapid urbanization on hydrologic changes and aquatic ecosystem function, as well as to recognize that the dominant drivers of hydrologic changes are heterogeneous among urban watersheds and vary over time.
Introduction
The urban stream syndrome is a conceptual model of the physical, chemical, and biological consequences of changes occurring in aquatic ecosystems during and following urban development (Walsh et al., 2005a). One of the primary physical changes associated with urbanization is the alteration of the flow regime, with urban streams experiencing increased stream flashiness and reduced evapotranspiration, infiltration, and baseflow (Konrad & Booth, 2005; Walsh et al., 2005a; Poff et al., 2006). However, the magnitude and direction of stream flow changes associated with development are variable both within and across regions (Brown et al., 2009; O’Driscoll et al., 2010; Hopkins et al., 2015). The timing of stream-flow changes during urbanization also remains unclear. Clarifying the linkages between development history and stream-flow changes is necessary to improve predictions of the future impacts of development on stream ecosystems.
In general, the replacement of pervious areas with impervious surfaces such as roadways and rooftops is considered to be the primary factor driving the alteration of the natural hydrologic cycle in urban areas (Schueler et al., 2009; Shuster et al., 2005). However, numerous other factors acting across regional (e.g., physiographic setting) to local (e.g., type of stormwater infrastructure) scales can have confounding and interacting effects on expected hydrologic changes associated with urbanization. Isolating and attributing the importance of impervious cover relative to other influential factors is particularly challenging because studies characterizing physical or chemical changes typically employ an urbanization gradient approach, due to limited long-term datasets. An urbanization gradient approach compares physical characteristics among watersheds that span a land-use gradient, substituting conditions in watersheds at different stages of development for temporal changes in conditions as a watershed urbanizes. This space-for-time approach assumes that the effects of urbanization are uniform across watersheds that span a range of development intensities, often quantified using metrics like developed land cover or impervious cover. However, urban growth rates are dynamic, varying spatially within and among cities and temporally in cyclical development booms (Alberti et al., 2007; Bain and Brush, 2008; Cuo et al., 2009). For example, the development of Baltimore, Maryland occurred during cycles of building booms that tracked investments in the transportation system (e.g., Baltimore beltway construction during the 1950’s and 1960’s), which allowed development to sprawl in rings away from the city center (Olson, 1979). Therefore, the urbanization gradient approach typically cannot elucidate finer temporal variability in development patterns or in the type of stormwater infrastructure in watersheds. Stormwater control regulations also change over time, leading to different types of stormwater infrastructure designs depending on the time of watershed development (Hale et al., 2014). As a result of these limitations, gradient studies often fail to arrive at mechanistic explanations of how stressors lead to aquatic declines (Carter et al., 2009).
Supplementing gradient studies with long-term datasets can clarify temporal aspects of when changes in physical conditions occur during the process of urbanization. Pairing reconstructions of watershed development with stream flow records is an approach that can be used to characterize interactions between urban growth patterns and direction and magnitude of stream flow changes within a watershed, including the timing of hydrologic changes. For example, Jennings and Jarnagin (2002) relate stream flow changes in an urbanizing watershed in Annandale, Virginia, to coincident increases in watershed impervious cover from 3% in 1949 to 33% in 1994. Long-term watershed studies can capture the specific timeframe, and therefore related drivers, of significant stream flow alterations. For example, the timing of stormwater infrastructure construction in a small urban watershed in Pittsburgh, PA indicated that stream flow alterations began in 1910 whereby half the watershed’s stream flow was transferred to an adjacent watershed, reducing annual water yield by almost half (Hopkins et al., 2014). As shown by these and other long-term studies, characterizing the temporal aspect of development greatly improves the ability to link changes in stream flow conditions to specific aspects of development, be it infrastructure construction or the expansion of impervious surfaces. Watersheds should therefore be assessed within the context of overall landscape history, detailing how and when an area was developed (Bürgi et al., 2004).
Our study aimed to fill this gap by documenting development trajectories and the type and timing of stream flow changes in six urbanizing watersheds surrounding three eastern U.S. cities: Baltimore, MD, Boston, MA, and Pittsburgh, PA. We focused on characterizing urban growth during the last century and stream flow changes since the 1930’s and 1940’s. We assessed whether stream flow changes exhibited a linear or threshold, non-linear response to watershed development. We also examined the timing of stream flow changes relative to development trajectories in each of the watersheds to identify any lags in hydrologic response to development. We hypothesized that stream flow changes would be abrupt in watersheds with rapid development and gradual in watersheds with slower development. In addition, we hypothesized that the timing of hydrologic changes would parallel development trajectories.
Methods
Study areas
Baltimore, MD, Boston, MA, and Pittsburgh, PA were selected as study metropolitan areas due to the availability of long-term stream flow records in urbanizing watersheds and parcel-level datasets for growth reconstructions (Figure 1). In the study cities, we identified six watersheds with USGS stream flow records longer than 40 years, including a time period that spanned urban development in the watershed. Watersheds included three in Baltimore, two in Boston, and one in Pittsburgh (Table 1). All watersheds are within the U.S. Census Bureau metropolitan statistical area (MSA) of each city and have drainage areas less than 100 km2 (Figure 1). The study watersheds are located within the metropolitan area of each city. Long-term stream flow records were unavailable further downstream, in the urban core of the study cities. The Baltimore watersheds are located within the Piedmont Upland Region characterized by rolling to hilly uplands with broad-bottomed valleys and streams incised into narrow, steep-sided valleys (Reger and Cleaves, 2008). The Boston watersheds are located within the Northeastern Coastal Zone characterized by low gradient streams dominated by glacial till, including ground moraine and gravel, sand, and silt deposited glacial streams (Clawges & Price, 1999). Abers Creek, the Pittsburgh watershed, is within the Western Allegheny Plateau characterized by hilly terrain dissected by perennial streams in narrow valleys underlain by horizontally bedded sedimentary rock (Wagner, 1970).
The locations of study watersheds in Boston, MA, Pittsburgh, PA, and Baltimore MD. All study watersheds are located within the metropolitan area of each city.
The locations of study watersheds in Boston, MA, Pittsburgh, PA, and Baltimore MD. All study watersheds are located within the metropolitan area of each city.
Reconstructing watershed growth
Parcel-level property-tax assessments and U.S. Census records were used to reconstruct building density and population density in each study watershed. Parcel-level property-tax assessment records contain a building construction date for each parcel. Parcel boundaries in each watershed and associated building construction dates were used to estimate building densities every decade from 1900 to 2010, as well as for 1955, 1965, and 1975 to better capture development trends after World War II. Property tax-assessment records were only available for the portion of the Abers Creek watershed in Allegheny County, PA (82% of the watershed). Basin area in Allegheny County was used to estimate building densities. We assumed each parcel contained one building. It is possible that building densities are underestimated in earlier decades due to replacement of historical houses during redevelopment. However, given limited data on historical housing locations and actual structure counts, these estimates are reasonable for evaluating general growth trends. In addition, we verified the consistency of our building density records by cross-checking building density data with tract-level U.S. Census records (Minnesota Population Center, 2011). Area-weighted tract/county population records were used to calculate watershed population densities each decade from 1930 to 2010. Where tract-level population data were not available, county-level data were used. This substitution was necessary for years prior to 1950 in three watersheds (Little Patuxent River (MD), Gwynns Falls (MD), and Abers Creek (PA)) and years prior to 1960 in one watershed (Neponset River (MA)).
The building density record was used to quantify the intensity of watershed development and the timing of the peak growth period in each watershed. The onset of the peak growth period was determined using visual assessment to identify the first inflection point in the building density time series, indicating a shift towards accelerated development. The end of the peak growth period was identified using the second inflection point, indicating a decline or plateau in the rate of the building density increase. We also identified the year marking the middle of the peak growth period, henceforth called the peak growth midpoint. Development intensity during the peak growth period was estimated by calculating the rate of change in building density construction from the start to the end of the peak growth period. Four additional growth metrics were also calculated including the mean year of building construction, the rate of change in building density from 1900 to 2010 and from 1950 to 2010, and the change in population density from 1950 to 2010. Mean year of building construction was calculated by taking the average year in which buildings were built across the entire watershed. For subsequent hydrological analysis, the peak growth midpoint was then used to define a period prior to and after the main development boom. The pre-development period was defined as the time period prior to and inclusive of the peak growth midpoint, while post-development period was defined as the time period after the peak growth midpoint. We used the year of the peak growth midpoint to define growth periods because this approach allowed for standardized criteria among watersheds with different growth trajectories (Table 2). The spatial arrangement of development patterns within the watershed may also be an important factor influencing hydrologic changes. However, assessing temporal changes in the spatial arrangement of development was outside the scope of our study.
Hydrologic characterization
Daily mean stream flow records were obtained for each watershed at the nearest USGS stream gage (Table 1). All stream flow records were complete, except for Dead Run and Gwynns Falls records which had data gaps from 1987-1998 and 1988-1998, respectively. The gaps in the stream flow record for Dead Run and Gywnns Falls occur during the late growth period and include at least ten years of continuous of stream flow records both before and after the data gap. Therefore, even with this data gap, the overall trend during the late growth period can still be elucidated. Stream flow records were used to calculate the frequency of high-flow events and runoff efficiency on an annual basis. The Indicators of Hydrologic Alteration software (IHA version 7.1) was used to quantify the annual frequency of high-flow events (Richter et al., 1996). The frequency of high-flow events was determined by first calculating the 75th percentile stream flow using the entire stream flow record. The 75th percentile flow value served as the threshold flow above which flows were identified as high flows. Flows coded as high flow were then used to quantify the frequency of high-flow events for each year. It is important to note that high-flow events spanning multiple days were counted as one distinct event. Annual high-flow frequency was calculated based on a water year, rather than a calendar year (e.g., water year 2013 is October 1, 2012 through September 30, 2013). Annual high-flow frequencies for Dead Run and Gwynns Falls were only calculated for years with complete stream flow records.
Watershed runoff efficiency was also calculated because the frequency of high-flow events varies annually with precipitation. Annual runoff efficiency was calculated by dividing total annual storm flow in mm by total annual precipitation in mm. Runoff efficiency represents the proportion of total annual rainfall that is routed to the stream as runoff. USGS PART software (version 2.0) was used to separate daily mean discharge into annual baseflow and storm flow contributions, calculated in mm. PART uses stream flow partitioning and linear interpolation to identify flow days that fit a requirement for antecedent recession conditions, designating baseflow to be equal to stream flow on those days (Rutledge, 1998). Annual runoff efficiencies were only calculated for years with complete stream flow records. Annual precipitation records were obtained from the National Climate Data Center using the nearest long-term weather station (Table 1).
Data analysis
Stream flow changes were characterized across the entire time series and by contrasting pre- and post-development periods. Across each time series, non-parametric Kendall tau tests were used to identify significant increases or decreases in annual high-flow frequency, annual runoff efficiency, annual precipitation amount, and annual maximum daily precipitation in each watershed. Kendall’s tau is often used due to the non-normal distributions and extreme events common in hydrologic datasets (Kendall, 1938). In cases where there was a sustained increasing trend or step increase in high-flow-event frequency or runoff efficiency, hydrologic breakpoints were identified from a piecewise linear regression model that minimized the mean square error. Breakpoint analysis and piecewise linear regression were performed using the segmented package in R (Muggeo, 2003; R Core Team, Version 3.2.0, 2014). Hydrologic breakpoints were used to characterize the timing of hydrologic changes relative to development. We assessed whether the hydrologic breakpoint occurred within the peak growth period and calculated hydrologic response lags by subtracting the year of the hydrologic breakpoint from the year of the peak growth midpoint.
To assess the magnitude of hydrologic changes following urbanization, the stream flow record was divided into two time periods, one representing flow conditions during the pre-development period and one for the post-development period. Annual values for each hydrologic metric during the pre- and post-development periods were averaged across the respective periods. The magnitude of hydrologic change arising from development (i.e., the magnitude of the hydrologic “shift”) was calculated by subtracting the mean pre-development value from the mean post-development value for both high-flow frequency and runoff efficiency. We were unable estimate mean pre-development flow values for Dead Run (MD) because the hydrologic record lacked a flow record prior to the growth midpoint. Mann-Whitney U Tests performed in R (R Core Team, Version 3.2.0, 2014) were used to test the significance of differences in the means of hydrologic metric values during the pre- and post-development periods. The Mann-Whitney U test is a non-parametric test used to compare the means of two samples that have different lengths and are not normally distributed (Mann and Whitney, 1947). The same method was used to determine if precipitation amounts were significantly different during pre- and post-development periods. Linear regression analysis was used to assess relationships between the mean change in hydrologic metrics from pre- and post-development periods and growth metrics. We explore if greater development intensity leads to a larger and faster change in hydrologic metrics.
Results
Development trajectories
The development trajectories in the study watersheds were characterized by three stages, pre-development, peak growth, and stabilization. The pre-development stage typically occurred prior to 1950 and was characterized by relatively low (< 50 bldg km-2) building densities and low annual growth rates (< 2 bldg km-2 y-1) (Figure 2). Development then expanded during the peak growth stage, typically between 1950 and 1970 (Table 2). Abers Creek (PA), Dead Run (MD), Little Patuxent River (MD), and Aberjona River (MA) watersheds experienced rapid growth during the peak growth period, characterized by peak building-density growth rates at least double the overall building-density growth rate in the watershed (Table 2). In contrast, Gwynns Falls (MD) and Neponset River (MA) had gradual growth during the peak growth period, characterized by peak growth rates similar to the overall growth rate (Figure 2). Building-density growth rates during the peak growth stage ranged from 2.9 bldg km-2 y-1 in the Neponset River (MA) watershed to 16.3 bldg km-2 y-1 in the Dead Run watershed (Table 2). Population density growth rates during the peak growth stage ranged from 11 ppl km-2 y-1 in the Neponset River watershed to 45 ppl km-2 y-1 in the Abers Creek watershed. The peak growth stage was extended until 1990 and 2000 in two of the Baltimore watersheds, Little Patuxent River and Gwynns Falls, respectively (Figure 2). Development growth rates plateaued during the stabilization phase, which typically occurred after 1970. In Abers Creek, the stabilization period also included a decline in population density starting in 1980 (Figure 2). Among cities, mean building construction dates indicated development began earliest in the Boston watersheds, with mean building construction dates of 1945 in the Aberjona River watershed and 1957 in the Neponset River watershed (Table 2). Development was most recent in Baltimore watersheds, with the Little Patuxent River and Gwynns Falls watersheds having mean building construction dates of 1979 and 1977, respectively.
Study watershed development histories indicate development typically began around 1950, with rapid growth until 1970 followed by a plateau in development. Colors indicate geographic differences; light blue is Baltimore, black is Boston, and gray is Pittsburgh.
Study watershed development histories indicate development typically began around 1950, with rapid growth until 1970 followed by a plateau in development. Colors indicate geographic differences; light blue is Baltimore, black is Boston, and gray is Pittsburgh.
Increased frequency of high-flow events
Significant (p < 0.05) increases in the frequency of high-flow events were identified across each flow record (Table 3). Increases in annual high-flow frequency were gradual across the stream flow record in Gwynns Falls, Little Patuxent River, and Neponset River (left panels, Figure 3). In contrast, flow records from Dead Run, Abers Creek, and Aberjona River indicated a step increase in the annual high-flow frequency between 1960 and 1975, with a shift towards more frequent high-flow events (right panels, Figure 3). Breakpoint analysis identified that high-flow frequency breakpoints occurred in 1969 in Abers Creek, 1973 in the Aberjona River, and 1976 in Dead Run (Table 3). The high-flow breakpoint in Abers Creek occurred within the bounds of the peak growth period, while the high-flow breakpoints for Dead Run and Aberjona River occurred after the peak growth period (dashed lines, Figure 3). High-flow breakpoints lagged 6.5 to 18.5 years behind the peak growth midpoint (Table 3). In Dead Run, the breakpoint separated a period of consistently increasing high-flow frequencies between 1961 and 1976, from a period of stabilized high-flow frequency between 1976 and 2012. In Abers Creek and the Aberjona River, the breakpoint marked a shift from one flow state to new, elevated state.
The annual frequency of high-flow events in each study watershed. Grey shaded areas indicate the peak growth period. Black solid lines indicate the year of the peak growth midpoint. Dashed black lines indicate the year of high-flow breakpoints.
The annual frequency of high-flow events in each study watershed. Grey shaded areas indicate the peak growth period. Black solid lines indicate the year of the peak growth midpoint. Dashed black lines indicate the year of high-flow breakpoints.
Mean annual high-flow frequency during pre- and post-development periods were compared to determine high-flow frequency shifts in each watershed (Figure 4A). Significant (p < 0.05) high-flow frequency shifts were found in all the study watersheds with sufficient pre- and post-development flow data (Table 4). Abers Creek had the largest high-flow frequency shift, with an increase from a mean of 16 high-flow events per year during the pre-development period to a mean of 24 events per year during the post-development time period. Among the Boston watersheds, high-flow frequency shifts were more than two times greater in the Aberjona River compared to the Neponset River (Table 4). Among the Baltimore watersheds, the high-flow frequency shifts ranged from 5 to 6 events per year.
Box plots with statistics for each watersheds grouped by pre-development (blue) and post-development (grey) time periods for annual high-flow frequency (A) and annual runoff efficiency (B). Dead Run is excluded due to a lack of pre-development data. The boxplots show the inter-quartile range, with the black line representing the median. The dotted lines represent the minimum and maximum, excluding the outliers (greater than or less than 1.5x the upper or lower quartile), which are the dots.
Box plots with statistics for each watersheds grouped by pre-development (blue) and post-development (grey) time periods for annual high-flow frequency (A) and annual runoff efficiency (B). Dead Run is excluded due to a lack of pre-development data. The boxplots show the inter-quartile range, with the black line representing the median. The dotted lines represent the minimum and maximum, excluding the outliers (greater than or less than 1.5x the upper or lower quartile), which are the dots.
a Dead Run was excluded due to a lack of pre-development flow data.
* Indicates significant difference in the means based on Mann-Whitney U Test (p < 0.05).
Increased runoff efficiency
Significant (p < 0.05) increases in runoff efficiency were identified across each flow record except that of Abers Creek (Table 3). Increases in annual runoff efficiency were gradual across the stream flow record in the Neponset River (Figure 5). In contrast, flow records from Gwynns Falls, Dead Run, Little Patuxent River, and Aberjona River indicated step increases in the annual runoff efficiency between 1962 and 1984, with a shift towards higher runoff efficiency. Breakpoint analysis identified runoff efficiency breakpoints occurred in 1984 in Dead Run, 1973 in Gwynns Falls, 1971 in Little Patuxent, and 1962 in the Aberjona River (Table 3). The runoff efficiency breakpoints in Gwynns Falls and Little Patuxent River occurred within the bounds of the peak growth period, while the runoff efficiency breakpoints for Dead Run and Aberjona River occurred after the peak growth period (Figure 5). Runoff efficiency breakpoints for the latter two watersheds lagged 26.5 and 7 years behind the peak growth midpoint (Table 3). In Dead Run, the runoff efficiency breakpoint separated a time period with a consistent annual increase in runoff efficiency (1960 – 1984) from a time period of lower runoff efficiency. In Gwynns Falls, Little Patuxent River, and Aberjona River the runoff efficiency breakpoint marked a shift from one flow state to a new, elevated state (Figure 5).
The annual runoff efficiency in each study watershed. Grey shaded areas indicate the peak growth period. Black solid lines indicate the year of the peak growth midpoint. Dashed black lines indicate the year of runoff efficiency breakpoints.
The annual runoff efficiency in each study watershed. Grey shaded areas indicate the peak growth period. Black solid lines indicate the year of the peak growth midpoint. Dashed black lines indicate the year of runoff efficiency breakpoints.
Mean annual runoff efficiency during pre- and post-development time periods were compared to determine the runoff-efficiency shifts in each watershed (Figure 4B). Significant (p < 0.05) shifts in runoff efficiency were found in four of the study watersheds (Table 4). The Little Patuxent River had the largest shift in runoff efficiency, with an increase from a mean of 0.135 during the pre-development period to a mean of 0.192 during the post-development time period. Among the Boston watersheds, the runoff-efficiency shift was two times greater in the Aberjona River compared to the Neponset River (Table 4).
Development intensity and flow-shift magnitude
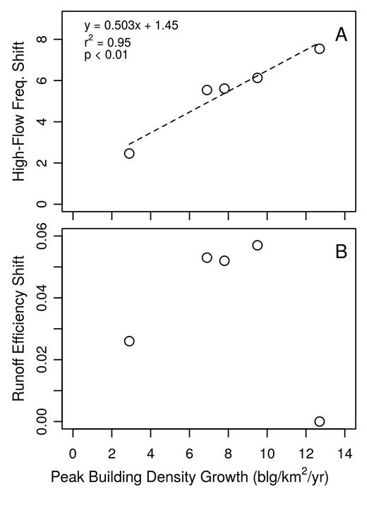
Among the growth metrics examined, peak building-density growth had the strongest association with the magnitude of high-flow frequency shifts (Figure 6). High-flow frequency shifts were proportional to the overall change in peak building-density growth (r2 = 0.95, p < 0.05) and peak population growth (r2 = 0.84, p < 0.05), but not with any of the other growth metrics (Table 5). No significant correlations were identified between growth metrics and annual runoff-efficiency shifts (Table 5).
Relationship between high-flow frequency shifts (A) and runoff efficiency shifts (B) with peak building density growth.
Relationship between high-flow frequency shifts (A) and runoff efficiency shifts (B) with peak building density growth.
Precipitation patterns
There were no significant (p < 0.05) trends in annual precipitation amount from 1950 to 2012 in the Baltimore, Boston, or Pittsburgh precipitation records (Table 3). Average annual precipitation from 1950 to 2012 in Baltimore, Boston, and Pittsburgh was 107 cm, 111 cm, and 96 cm, respectively. There were no significant trends in maximum daily precipitation amount in Boston or Baltimore between 1950 and 2012; however, there was a significant increasing trend (p < 0.05) in annual maximum daily precipitation amount in Pittsburgh between 1953 and 2012.
Discussion
Gradual and rapid stream flow changes
Our results demonstrated both gradual and rapid hydrologic changes in urbanizing watersheds in Boston, Baltimore, and Pittsburgh (Figures 3 and 5). Previous studies also identified significant stream flow changes in urbanizing watersheds (Beighley and Moglen, 2002; Jennings and Jarnagin, 2002; Nelson et al., 2006). However, the abruptness of the stream flow shifts identified in our study watersheds have not been clearly demonstrated before. The abruptness of hydrologic shifts was most clearly evident in the Abers Creek high-flow frequency record (Figure 3). In Abers Creek, the frequency of high-flow events increased from an annual average of 16 ± 4.0 events during the pre-development period to an annual average of 24 ± 5.8 during the post-development period (Table 4). The shift from the lower-flow state to a higher-flow state occurred during an eleven-year period between 1963 and 1974, coincident with the timing of peak growth between 1955 and 1970 (Figure 3). Rapid urbanization in Abers Creek led to a parallel increase in the frequency of high-flow events during development and then a stabilization of the flow regime as development slowed. The Aberjona River flow record also demonstrated a rapid shift in high-flow frequency around 1973 and a shift in runoff efficiency around 1962. In Dead Run, there was not sufficient pre-development data to characterize hydrologic conditions prior to peak urbanization. But the consistent annual increase in both high-flow frequency and runoff efficiency from the start of the flow record until 1976 and 1984, respectively, and then stabilization of both hydrologic metrics at an elevated level suggested that a flow shift also occurred in Dead Run (Figures 3 and 5).
Regression analysis of growth metrics and high-flow shifts indicated that the intensity of urbanization during the peak growth period was the strongest driver of the magnitude of observed high-flow frequency shifts (Table 5). The magnitude of high-flow shifts was proportional to building density increases during the peak growth period (Figure 6A). This result is consistent with DeWalle et al. (2000), who found that urbanization increased mean annual stream flow proportional to average changes in watershed population density relative to rural watersheds. In contrast, there was no significant correlation between runoff efficiency shifts and growth metrics, largely because of a lack of runoff efficiency shift in Abers Creek (Table 5). For Abers Creek we expected, based on development intensity, that runoff efficiency would increase post-development. However, in Aber Creek baseflow may have been supplemented during the post-development period by the addition of sewage effluent from the Holiday Park Sewerage Treatment Plant located in the watershed (DCNR, 2002). The addition of treated sewage may confound our calculations for runoff efficiency, a metric sensitive to changes in base flow as well as storm flow.
Our results suggest that development intensity during the peak growth period may be more important than overall development intensity, since peak building density growth was a significant predictor of the magnitude of high-flow frequency shifts while contemporary building or population density were not correlated (Table 5). This may be because the peak growth period sets the underlying infrastructure template—including the road network and the dominant type of stormwater infrastructure in the watershed. The year of development influences the type of stormwater infrastructure installed within a watershed (Hale et al., 2014). For example, in Dead Run, developments built after 1982 were subject to Maryland’s Stormwater Management Act that required the installation of stormwater management infrastructure (Balascio and Lucas, 2009). In Dead Run, developments prior to 1982 had fewer stormwater management practices (e.g., retention ponds), a higher density of drainage infrastructure, and flashier flows compared to developments built after 1982 (Meierdiercks et al., 2010). In small urban watersheds, the average building construction date provides some information about the dominant infrastructure system. However, existing conceptual models for urban impacts on aquatic ecosystems (Kaushal and Belt, 2012; O’Driscoll et al., 2010; Walsh et al., 2005a) do not incorporate the importance of the timing of development in setting the type of stormwater infrastructure installed or the changes in development intensity over time. Our results indicate these may be important factors driving the magnitude of hydrologic changes within a watershed, and should henceforth be incorporated into discussions of urban stream syndrome.
Factors influencing high-flow frequency lags
Our results indicated variability in the timing of high-flow shifts in urbanizing watersheds, with one high-flow shift occurring within the peak growth period and two outside the bounds of the peak growth period (Figure 3). The unique history of watershed development in each study watershed suggested some possible drivers of hydrologic response lags. We defined the response lag as the number of years between the hydrologic breakpoint and the peak growth midpoint. The response lag standardized the timing of hydrologic changes in each watershed relative to the peak growth period, which appeared to be an important driver of the magnitude of hydrologic shifts (Table 5). Lags in the response of high-flow frequency were observed in the watershed with the highest building density of the study watersheds in each city. Abers Creek had the shortest response lag in high-flow frequency, with the breakpoint occurring within the bounds of the peak growth period (Figure 3). The shortness of the response lag in Abers Creek was likely linked to the timing and intensity of development. In Abers Creek, the majority of watershed growth (70%) occurred during the peak growth period, with limited growth preceding the peak growth period. The abrupt patterns in development and high-flow changes suggest that human and hydrologic systems can be tightly coupled if development is very rapid and intense.
In contrast, breakpoints in high-flow frequency for Dead Run and Aberjona River were outside the bounds of the peak growth period, indicating a longer response lag (Figure 3). The timing of hydrologic changes identified in Dead Run are consistent with Nelson et al. (2006), who found an increase in mean annual discharge during the 1960’s and 1970’s that plateaued in the 1980’s. Nelson et al. (2006) attributed the flow increase during the 1970’s to an influx of imported water from leaks in the water-distribution system and during the 1980’s to a plateau to evapotranspiration in newly constructed detention ponds. While these are plausible explanations for observed flow changes in Dead Run, our results suggested the construction of the highway system and additional commercial development after the peak growth period were closely associated with the timing of hydrologic changes in Dead Run. This result may not be surprising in Dead Run because the watershed experienced another smaller period of growth between 1975 and 1990 (Figure 2), which was likely sparked by the completion of an interchange between Interstate 70 and the Baltimore Beltway (I-695) in 1969. Highway construction that added approximately 8.4 km of two and four lane highways bisecting the Dead Run watershed (MSA SC 1969). Along with building expansion, the construction of the highway triggered the construction of strip malls around the Interstate exit. For example, the Security Square Mall opened in 1972, adding a large expanse of impervious cover (5% of the present day impervious cover) to the watershed that was not considered in our building-density estimate. Commercial development around this highway interchange likely contributed to continued hydrologic change in the watershed after the peak growth period. Reconstructing road network expansion and commercial development patterns, while outside the scope of this study, would likely improve the reconstructions of overall development trajectories. Whether changes in high-flow frequency were rapid or gradual during urbanization, hydrologic trends appear tightly coupled to development history in the watershed. Clarifying the linkages between development history and hydrologic changes will improve our ability to predict potential future impacts on stream systems as urban areas continue to expand.
Factors influencing runoff-efficiency lags
The timing of changes in runoff efficiency was likely coupled to both the history of watershed development and extreme weather events. Our results showed variability in the timing of runoff-efficiency shifts in urbanizing watersheds, with two runoff efficiency-shifts occurring within the peak growth period and two occurring outside the bounds of the peak growth period (Figure 5). The timing of runoff-efficiency shifts in two Baltimore watersheds, Gwynns Falls and Little Patuxent, occurred within a narrow range between 1971 and 1973, both preceding the peak growth midpoint (Table 3). The consistent runoff-efficiency shift in these two Baltimore watersheds suggested a factor other than development was driving observed changes or interacting with development processes, such as elevated flow volumes due to large storms. Changes in the Baltimore runoff efficiency records were coincident with Hurricane Agnes landfall in June of 1972, which dropped more than 25 cm of rain on the Piedmont of Maryland (DeAngelis and Hodge, 1972). Stream flow records in the Baltimore watersheds indicated a dramatic effect of Hurricane Agnes. Daily mean discharge on June 22, 1972 was 26%, 14%, and 8% of the cumulative daily mean discharge for the year 1972 in Gwynns Falls, Little Patuxent, and Dead Run, respectively. Record storm flow following Hurricane Agnes likely explains the spike in runoff efficiency during 1972 and the timing of runoff-efficiency breakpoints in the Little Patuxent and Gwynns Falls watersheds.
Extreme weather events likely continue to influence stream hydrology long after they occur, and these effects should interact with the effects of development on stream hydrology. Interestingly, the stream flow records showed that runoff efficiency remained elevated after 1972 in Little Patuxent and Gwynns Falls, indicating a transition in runoff efficiency towards increased stormwater contributions (Figure 5). Increased drainage density is one possible explanation for why runoff efficiency remained elevated in the years after Hurricane Agnes. Following Hurricane Agnes, numerous Maryland Piedmont watersheds, including the Patuxent River watershed, experienced geomorphic changes such as widened and deepened stream channels (Costa, 1974; Fox, 1976). Extreme stream flow and channel erosion may have created new drainage pathways that extended headwater channels increasing drainage density in these watersheds. Increases in stream-channel density, are associated with more efficient runoff collection and routing leading to flashier flows in urban areas (Graf, 1977).
Reduced watershed storage capacity is another possible explanation for elevated runoff efficiencies in these watersheds. In the week following Hurricane Agnes landfall, record amounts of sediment were mobilized and delivered to the Chesapeake Bay (Schubel, 1974). If similar amounts of sediment were mobilized and then deposited in these Baltimore watersheds, sediment deposited in lakes and reservoirs, as well as behind structures that constrict flow (e.g., road culverts) may have reduced the water storage capacity of the stream network. In the Little Patuxent River two dams were constructed in 1966 and 1967, creating two reservoirs with a combined area covering 49 acres. While we expect the regulating function of dams would stabilize changes in flow duration and frequency by providing consistent baseflow and restricting high flows (Poff et al., 2007; Williams and Wolman, 1984), an extreme weather event like Hurricane Agnes could reduce the storage capacity of reservoirs by adding significant amounts of sediment to these reservoirs. In addition, infrastructure upgrades in response to flooding following the hurricane could have increased pipe capacities and quickened the routing of water to the stream network. The large volume of stream flow, high sediment mobilization, and infrastructure changes triggered by this extreme event provide a possible explanation for why runoff efficiency remained high in the years following the hurricane.
Precipitation variability and flow metric sensitivity
Increases in precipitation during the last half of the 20th century have been shown to cause stream flow increases in several reference watersheds in the eastern U.S. (Lins and Slack, 1999; McCabe and Wolock, 2002). However, in human-dominated watersheds, the expansion, arrangement, and connection of impervious surfaces to the stream networks is thought to drive hydrologic changes (Shuster et al., 2005; Walsh et al., 2005b). Given that we found no significant increases in annual precipitation amount within study watersheds between 1950 and 2012, the type and timing of hydrologic changes we identified in these watersheds were primarily driven by the unique development history of each watershed. Difference in the sensitivity of the two flow metrics, high-flow frequency and runoff efficiency, provided insight into additional factors driving the timing of stream flow changes. Abrupt shifts in high-flow frequency were coupled to the history of development in the watershed, with high-flow-frequency shifts generally tracking the development trajectory. In contrast, the timing of shifts in runoff efficiency appeared to be more sensitive to watershed-wide changes in drainage density, water storage, and extreme weather events.
Conclusions
Existing conceptualizations of hydrologic change during urbanization depict a gradual, linear process. Our results demonstrate that rapid urbanization can lead to large, non-linear shifts in the flow regime, and suggest that the urbanization trajectory has a strong influence on the magnitude and timing of hydrologic changes. The timing of the main period of watershed development is particularly important because stormwater regulations during that period can set the primary type of stormwater infrastructure installed in the watershed. Along with residential development, other large-scale factors such as the construction of interstate highways, dams, and extreme weather events can strongly influence the timing of changes in high flows and runoff efficiency. Refining hypotheses from the urban stream syndrome concept to incorporate heterogeneity in hydrologic changes and temporal lags in flow response will improve our ability assess and identify mechanisms driving declines in urban aquatic ecosystems. Clarifying linkages between development history and hydrologic changes will also improve our ability to predict potential future impacts on stream systems, as urban areas continue to expand.
Data accessibility statement
Publicly available data used in this study was from the USGS Current Water Data for USA, NOAA National Climate Data Center, and U.S. Census Bureau. U.S. Census Bureau population data was accessed through the Minnesota Population Center’s National Historical Geographic Information System (NHGIS), https://www.nhgis.org/.
Property tax assessment records can be obtained by contacting the following organizations Allegheny County of Pennsylvania, Commonwealth of Massachusetts Office of Geographic and Information (MassGIS), and Maryland Department of Planning.
Copyright
© 2015 Hopkins et al. This is an open-access article distributed under the terms of the Creative Commons Attribution License, which permits unrestricted use, distribution, and reproduction in any medium, provided the original author and source are credited.
Acknowledgments
We are grateful to Rose Smith and Joshua Cole at the University of Maryland for assistance with compilation of Maryland parcel data. We thank the editor and an anonymous reviewer for their helpful comments on this manuscript.
References
Funding was provided by the Long-Term Ecological Research program’s Network Office (NSF #0832652 and #0936498) via an Urban Aquatics Working Group; the Central Arizona–Phoenix (NSF #1026865), Baltimore Ecosystem Study (NSF #1027188), and Plum Island Ecosystem (NSF #1058747) LTERs; and the University of Pittsburgh.
Competing Interests
The authors have declared that no competing interests exist.
This is an open-access article distributed under the terms of the Creative Commons Attribution License, which permits unrestricted use, distribution, and reproduction in any medium, provided the original author and source are credited.





