Abstract
A record spanning ten years of non-methane hydrocarbon (NMHC) data from the Pico Mountain Observatory (PMO), Pico Island, Azores, Portugal, was analyzed for seasonal NMHC behavior, atmospheric processing, and trends, focusing on ethane and propane. The location of this site in the central North Atlantic, at an elevation of 2225 m asl, allows these data to be used to investigate the background conditions and pollution transport events occurring in the lower free North Atlantic troposphere. The quantity ln([propane]/[ethane]) was used as an indicator of both photochemical processing and a marker for the occurrence of pollution transport events detected at the station. The Pico data were compared with three other continuous NMHC data sets from sites bordering the North Atlantic, i.e. the Global Atmospheric Watch (GAW) stations at Summit, Greenland, Hohenpeisssenberg, Germany, and Cape Verde, using ln([propane]/[ethane]) results as an indicator for the degree of photochemical processing (‘aging’) seen in the data. Comparisons of these three data sets showed some significant differences in the seasonal background and range of observed values. The statistical distribution of binned monthly data was determined, and individual sample events were then scaled to the monthly median observed value. Back trajectories, determined by the HYSPLIT model were used to investigate the geographic origin of the observed trace gases as a function of the degree of photochemical processing.
Results show that PMO samples have been subjected to a diversity of air transport and aging, from highly processed air to freshly emitted air throughout the year, and in particular during summer months. The predominant air transport is from North America, with only occasional influence from continental areas located east and southeast (Europe and Africa). The available record was found to be too variable and still too short to allow deciphering NMHC trends from the data.
Ethane and propane measurements at the PMO were compared with the MOZART-4 atmospheric chemistry and transport model at the appropriate time and location. The model was found to yield good agreement in the description of the lower range of atmospheric mole fractions observed, of the seasonal cycle, and the regional oxidation chemistry. However, ethane and propane enhancements in transport events were underestimated, indicating that after the ≥ 3 days of synoptic transport to PMO the spatial extent of plumes frequently is smaller than the 2.8°x2.8° (∼300 km) model grid resolution.
Introduction
Continental outflow affects atmospheric chemistry and composition far downwind of continental coastlines. The North Atlantic region has been a particular region of interest for these studies and a series of large campaigns have addressed questions concerning the processing and fate of continental emissions during transport aloft the North Atlantic Ocean, e.g. (Parrish et al., 1993; Fehsenfeld et al., 1996; Penkett et al., 1998; Fehsenfeld et al., 2006; Palmer et al., 2013). A particular emphasis has been the study of biomass burning emissions, with findings demonstrating a significant role of boreal fires on the oxidation and radiative properties over the North Atlantic, many days downwind of their source (Val-Martin et al., 2006; Lapina et al., 2008). Monitoring and modeling of atmospheric composition in continental outflow has also proven valuable to assess emission changes from anthropogenic activities in the continents bordering the North Atlantic (Simmonds et al., 2006; Slemr et al., 2006; Derwent et al., 2007, 2013; Zhang et al., 2014), and aircraft studies have shown that most of the North Atlantic is to some degree impacted by anthropogenic emissions.
Investigations on the fate of oxidized nitrogen species, biomass burning aerosols, and ozone chemistry have been a centerpiece of this research. Results indicate that once lifted into the free troposphere ozone precursor emissions can facilitate ozone production that continues for many days during transport before the oxidation regime ultimately reverts to ozone loss, as typical for the clean marine boundary layer and free troposphere. Volatile organic compounds (VOC) play a crucial role in this chemistry, providing peroxyl radicals, which mediate NO to NO2 conversions and ozone production. After several days of atmospheric transport, reactive VOCs (such as alkenes and aromatic compounds) have been oxidized below detectable limits and only longer-lived non-methane hydrocarbons (NMHCs) (alkanes and alkynes) remain in the atmosphere. Atmospheric NMHCs have been studied as tracers for both biomass burning and anthropogenic emissions in the atmosphere at appreciable levels (Helmig et al., 2008). NMHCs are particularly good tracers for anthropogenic emissions associated with fossil fuel extraction and distribution processes (Gilman et al., 2013; Thompson et al., 2014). Short chain compounds, i.e. C2-C3 alkanes are primarily released through natural gas extraction, distribution, and end use, whereas longer chain NMHC are more associated with production and evaporation of liquid fuels. Several recent studies have provided evidence for a reversal in Northern Hemisphere emission trends of NMHC, showing that C2-C5 NMHC increased steadily during 1950 – 1970, reached their atmospheric maxima in 1970–1980 and have since declined appreciably to 42–68% of their historic maxima in the Northern Hemisphere (NH) background atmosphere (Simpson et al., 2012; Worton et al., 2012; Helmig et al., 2014a). This decline has been primarily attributed to improved containment technologies in the hydrocarbon fuel production and more stringent emissions regulations associated with the distribution and combustion of petroleum fuels, notably catalytic converters for gasoline road vehicles.
However, recent work has shown that fugitive VOC emissions from oil and gas development in the United States are significant, appear to be underestimated in emission inventories (Pétron et al., 2012; Gilman et al., 2013; Swarthout et al., 2013), and exceed those from other sources, including automobile emissions (Helmig et al., 2014b). These recent discoveries foster the speculation that the current boom in the U.S. oil and gas development and resulting fugitive NMHC emissions may, in localized hotspots and the background atmosphere more widely, be causing a reversal of recently reported declining NMHC trends. Monitoring of NMHC far downwind of respective sources has the advantage of providing observations representative of a large footprint allowing investigation of such questions. In summary, downwind NMHC measurements therefore serve as indicators for tracers of the history of air transport and processing, and provide insight into changes in large-scale industrial practices and emissions.
The Pico Mountain Observatory (PMO), on Pico Island, in the Azores, Portugal, has been shown to frequently be subjected to anthropogenic outflow from the populated North American continent, as well as to biomass burning plumes from higher latitudes, having been transported over the ocean for a minimum of 3 days (Honrath et al., 2004). At its elevation of 2225 m asl, the station resides well above the marine boundary layer and within the lower free troposphere, where most of fast long-range transport of North American surface emissions within the jet stream across the North Atlantic occurs. Consequently, measurements from Pico have provided a wealth of information on the chemistry and dynamics of the North Atlantic atmosphere. NMHC covering the C2 to C7 volatility range have been monitored at the PMO since 2004 with an in situ gas chromatograph. In prior publications we elaborated on the seasonal behavior (Tanner et al., 2006; Helmig et al., 2008) and isolated transport (Honrath et al., 2008) events building on PMO data. Here, we subject the multiple year spanning record to a statistical analysis and utilize these results for a comparison with other North Atlantic data sets. In particular, we investigate correlations between photochemical aging signatures and air mass transport histories, examine trends in the data, and compare observed and simulated NMHC seasonality.
Methods
Station details and measurement protocols
This study builds on the data from one regional (PMO) and three global monitoring sites that are operated within the framework of the World Meteorological Organization (WMO) Global Atmospheric Watch (GAW) program. Figure 1 illustrates the location of the PMO in the Azores, Portugal, and the three other stations bordering the North Atlantic region, where data considered in this study were collected. Data from all four monitoring programs are submitted and publicly available from the World Data Centre for Greenhouse Gases (http://ds.data.jma.go.jp/gmd/wdcgg/).
Location of Pico Island, Azores, Portugal; Summit, Greenland; Hohenpeissenberg, Germany; and Cape Verde Islands in the North Atlantic Region. See main text for more details about each site.
Location of Pico Island, Azores, Portugal; Summit, Greenland; Hohenpeissenberg, Germany; and Cape Verde Islands in the North Atlantic Region. See main text for more details about each site.
The Pico Mountain Observatory (PMO) is located at 2225 m asl in the summit caldera of the inactive Pico Mountain volcano (38.5oN, 28.4o W), the highest mountain on Pico Island in the Azores. Due to the latitude, small size of the island, and topography, PMO is less affected by upslope flow than other mountain observatories. Consequently, air sampled at the station shows little influence from island emissions even during uplifting events (or upslope flow) (Kleissl et al., 2007). Further site descriptions, data, and interpretations from other research conducted at Pico Mountain have previously been provided (e.g., Honrath et al., 2004; Lapina et al., 2006; Owen et al., 2006; Val-Martin et al., 2006; Kumar et al., 2013; Zhang et al., 2014). NMHC have been measured at the PMO since 2004, with most of the monitoring during spring – fall, and one year-round campaign during 2005, as the station is typically not operated during the winter. Measurements are conducted on a cryogen-free enrichment/gas chromatography (GC) system with flame ionization detection (FID). Instrumental details have been provided by Tanner et al. (2006). The instrument has been calibrated against a series of gravimetric and whole air standards that have been cross-referenced against the INSTAAR laboratory scale for VOC, which is regularly cross-referenced against national and international scales, including by previous two audits by the World Calibration Centre (WCC) for VOC (http://imk-ifu.fzk.de/wcc-voc/). In 2013 the PMO VOC system’s calibration scale was linked to a round robin VOC intercomparison (Hoerger et al., 2015) by analysing a mixture of NMHC in N2 that was prepared in the same way as one of the round-robin test gases. Results were reported without knowledge of the reference values; for the two NMHC, i.e. ethane and propane reported here, results were within 2% of the reference values, which is well within the 5% WMO-GAW quality objectives (WMO, 2007). Uncertainties in the NMHC data are estimated to be ≤5% for results >100 pmol mol-1 and ≤5 pmol mol-1 for results <100 pmol mol-1. Detection limits (DL) for ethane and propane were estimated from the smallest peak area that could be reliably integrated, yielding DL of ∼ 3 and 2 pmol mol-1 for ethane and propane, respectively. There were no samples below the DL for ethane. In 2 out of ∼4500 samples propane was below the DL; for those samples a value of ½ × DL was used in the statistical data analyses. Isoprene observed in chromatograms was used as an indicator of upslope events (Kleissl et al., 2007). Samples showing isoprene at levels > 5 pmol mol-1 were excluded from the analysis; this filter removed ∼ 2–3% of the summer data.
Summit Station, Greenland, is a research facility operating year-round near the summit of the Greenland Ice Sheet (72.6° N, 38.5° W; 3216 m asl). The NMHC monitoring described here was conducted from a meteorological tower in the clean air sector ∼650 m southwest of the main camp structures. Year-round measurements were performed from 26 June 2008 to 22 July 2010, totaling 756 days (just over 2 years) using an in situ GC instrument operating on the same principles as for the Pico instrument. The instrument was calibrated several times per week using two gas standards that are cross-referenced in the same way as described above for the Pico system. Uncertainties in the NMHC data are estimated to be ≤5% for results >100 pmol mol-1 and ≤5 pmol mol-1 for results <100 pmol mol-1.
The Meteorological Observatory Hohenpeissenberg (HPB, operated by the German Weather Service) is located at 47.8oN, 11.8oE, 980 m asl in Southern Germany. Continuous NMHC monitoring has been conducted since 1998 as part of the WMO-GAW program. The in situ GC system uses a cryogenic pre-concentration system. NMHC are released by flash-heating and injection onto an Al2O3 PLOT column. A detailed system description has been provided by Plass-Dulmer et al. (2002). Calibrations rely on a series of gravimetric and whole air standards referenced to the WCC. The HPB station was one of the three reference laboratories for the ACTRIS round-robin VOC intercomparison experiment (Hoerger et al., 2015). NMHC sampling is conducted daily at local noontime. The uncertainties (95% confidence interval) are generally 1.9 pmol mol-1 + 2.9% in the ethane mole fractions, and 1.3 pmol mol-1 + 2.9% for propane, except for isolated periods of degraded chromatography or other instrumental issues which resulted in correspondingly higher uncertainties. Detection limits were at ∼3 and 2 pmol mol-1 for ethane and propane, respectively.
The Cape Verde Atmospheric Observatory (CVAO) Humberto Duarte Fonseca (16.8°N, 24.9°W, 10 m asl) is positioned upwind of the small town of Calhau on the northeastern side of São Vicente in the Cape Verde archipelago. The CVAO is situated 50 m from the coastline. Clean, well processed marine air approaches from the northeast for greater than 95% of the time having been transported over the Atlantic Ocean for at least three days prior to its arrival. Hourly NMHC measurements are made from a height of 20 m above sea level. Analytical details of the in situ GC system also using an Al2O3 PLOT column and FID were provided by Read et al. (2009). Uncertainties in the NMHC data are estimated to be ≤5% for results >100 pmol mol-1 and ≤5 pmol mol-1 for results <100 pmol mol-1. Detection limits were 2.6 and 1.6 pmol mol-1 for ethane and propane, respectively.
HYSPLIT transport modeling
Back trajectories were calculated using the Hybrid Single Particle Lagrangian Integrated Trajectory model (HYSPLIT) using the GDAS meteorological data set from the National Center for Environmental Prediction (NCEP) (Stunder, 1997). The trajectories were calculated for the location of the PMO at 2225 m asl. Each trajectory was set backwards for eight days in duration, and calculated by an automated routine in six hour intervals starting at midnight for every day spanned by the NMHC record. Sampling times for the GC runs were paired up with the nearest available (in time) HYSPLIT trajectory. Since this analysis focusses on the features in the transport, the seasonal component of the NMHC photochemical processing was removed by treating monthly data as individual bins. For each month the statistical distribution of ln([propane]/[ethane]) values was determined and an incremental linear color bar scale was associated with the distribution. Back trajectories were then color-coded by these seasonal ln([propane]/[ethane]) results in the sample closest to the back trajectory time. Data were grouped by season and at higher resolution for the summer months, according to winter (December, January, February), spring (March, April, May), summer (June, July, August), and fall (September, October, November). Trajectory outputs were subsequently converted to KMZ (Keyhole Markup language Zipped) outputs for mapping in Google Earth.
Chemical transport modeling
The chemical transport model simulations in this study were performed with the global Model for Ozone and Related Chemical Tracers version 4 (MOZART-4) (Emmons et al., 2010). MOZART-4 is an offline model with a detailed description of hydrocarbon chemistry. Simulations were performed for the year 2006 at a resolution of 2.8°x2.8° and with meteorological input fields from the NCEP-NCAR-Reanalysis. A detailed description of the model setup, emission inventories used, and model evaluation (Pfister et al., 2006, 2010) and applications of MOZART-4 in concert with PMO observations (Lapina et al., 2006; Val-Martin et al., 2006) have been presented previously.
Results and discussion
Multi-year NMHC comparison and trend analyses
Figure 2 displays the available record of NMHC determinations in ambient air at PMO, here illustrated for the two most abundant NMHC, i.e. ethane and propane. As the station was only operated during one winter season, there is a higher abundance of data for the spring – fall period. During two years (2007, 2008) the NMHC monitoring was interrupted due to problems with the station power generation system and interruption of funding.
Composited results of ethane (a) and propane (b) monitored at the Pico Mountain Observatory during 2004–2014.
Composited results of ethane (a) and propane (b) monitored at the Pico Mountain Observatory during 2004–2014.
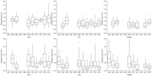
A statistical comparison of the data was conducted in order to investigate trends over time, using ethane and propane. Figure 3 shows these results, illustrating the statistical distribution of the data as monthly box-whisker plots. These records show a relatively high degree of variability with distributions of these two NMHC at times varying by up to a factor of two between years. Given this variability the record does not show an obvious trend in the data; a linear regression analysis using monthly median values did not result in statistically significant (P>0.95) slope values. There are several limiting factors for deciphering NMHC trends from these measurements. Data from the summer, when atmospheric mole fractions of NMHC are at their seasonal minimum, were used because of the more abundant record. At these lower seasonal mole fractions transport events cause an overall higher relative variability. Furthermore, the relative analytical precision and accuracy errors become larger for the lower summer values. For these reasons, trend analyses would be more promising using winter data. But, unfortunately, winter measurements were only obtained during one season. The trend analysis is further hampered by the lack of data in 2007 and 2008.
Box-whisker plots of available summer (month of June, July, and August) data for ethane (upper row) and propane (lower row), with boxes spanning the 25–75 percentile distribution, horizontal lines the median, whisker ends the 5 and 95% values, the open circles the mean of the data, the ‘X' the 1 and 99 percentile values, and the horizontal bar markers the minima and maxima.
Box-whisker plots of available summer (month of June, July, and August) data for ethane (upper row) and propane (lower row), with boxes spanning the 25–75 percentile distribution, horizontal lines the median, whisker ends the 5 and 95% values, the open circles the mean of the data, the ‘X' the 1 and 99 percentile values, and the horizontal bar markers the minima and maxima.
Despite the year-to-year variability in the statistical distributions (Figure 3) the multiyear record shown in Figure 2 displays consistency in the NMHC seasonal behavior between years. Common features in these PMO NMHC data are: 1. There is a clear seasonal cycle with enhanced mole fractions in the winter and minima in the summer, and 2. Superimposed on this seasonal cycle there are fluctuations with NMHC increases by up to a factor of ∼5 on shorter timescales. These features agree well with conclusions that were based on shorter records (Helmig et al., 2008; Honrath et al., 2008) and demonstrate the frequent and consistent occurrences of pollution transport events at Pico and the significance of these events in modulating baseline NMHC at the site.
Comparison of seasonal and spatial photochemical processing across the North Atlantic
The seasonal NMHC behavior is primarily determined by the annual cycle of the OH radical sink strength. Incorporating six more years of data since our earlier publications allows a more robust statistical evaluation of these features. For this purpose, first we determined NMHC ratios of individual samples. NMHC ratios, in particular the ln([propane]/[ethane]), have been utilized extensively as an indicator of the photochemical processing and mixing of air during transport from emission regions to a downwind measurement site (Parrish et al., 2007). Both propane and ethane are primarily removed from the atmosphere by first order reaction with the OH radical. Consequently, atmospheric mole fractions decline exponentially during transport. Since both molecules are dependent on the same reactant, the natural logarithm of the mole fraction ratio of both compounds will decline linearly with transport time at constant [OH]. Secondly, the slope of this relationship will decrease with increasing [OH], resulting in smaller slope values during summer (when [OH] is higher). Therefore, a seasonal plot of ln([propane]/[ethane]) against time of year displays the oxidation strength throughout the year on a linear scale. Figure 4 shows the ln([propane]/[ethane]) results for the full record. First, panel (A) shows individual data points for each year plotted together in one graph. This comparison illustrates a high consistency in the annual cycle of the degree of photochemical processing with seasonal values of ln([propane]/[ethane]) falling into a similar range each year. Furthermore, the transport event features investigated earlier in the 2005 data appear to be a consistent and regular feature in the PMO NMHC data. Both, the frequency of events, and the range of this NMHC ratio during transport events, i.e. degree of photochemical processing, appear to be in a similar range across the years.
(a) Seasonal cycle of ln([propane]/[ethane]) results from eight years of Pico data. (b) Monthly statistical analysis of the multi-year data. Box-whisker plot format is the same as for Fig. 3. Numbers below the month labels indicate the number of individual data points considered in each box-whisker plot. (c) Residuals of individual ln([propane]/[ethane]) values after subtracting the monthly median. Data points are color-coded using a percentile scale with the color of the data points representing the color scale used for the back-trajectories in Figure 7.
(a) Seasonal cycle of ln([propane]/[ethane]) results from eight years of Pico data. (b) Monthly statistical analysis of the multi-year data. Box-whisker plot format is the same as for Fig. 3. Numbers below the month labels indicate the number of individual data points considered in each box-whisker plot. (c) Residuals of individual ln([propane]/[ethane]) values after subtracting the monthly median. Data points are color-coded using a percentile scale with the color of the data points representing the color scale used for the back-trajectories in Figure 7.
While there is consistency between different years in the PMO data, clear differences are seen in the comparison with the observations from Summit, HPB, and Cape Verde, shown in Figure 5. The three data series fall into the same range during the winter months, albeit the PMO data are showing more frequent and more pronounced events with lower values. During the summer months the four data sets diverge to a remarkable degree. Summit data show a clear seasonal cycle, with summer values dropping to minima of ∼-3.0, approximately 2.25 units below maximum winter values. At HPB ln([propane]/[ethane]) values only drop slightly, by ∼0.5 units compared to the winter months. Cape Verde behaves similarly to Summit, with, however, the winter maximum being more negative by ∼0.75 units, resulting in an overall smaller seasonal amplitude. The most remarkable deviation seen in the Pico data is the larger dynamic range seen year-round, in particular during the summer months. During the summer, the PMO values fluctuate across ∼3 units on this scale, much larger than seen in the other data series. In addition, the PMO summer minima drop to lower values compared to compared to Summit, HPB, and Cape Verde. (Please note that due to the increasing relative uncertainty in the ethane and propane measurement at lower mole fractions, the relative uncertainty in the ln([propane]/[ethane] values increases even more so, e.g. at the 25th percentile values for ethane and propane of ∼ 400 and 20 pmol mol-1 during mid-summer, the associated uncertainty window for the calculated ln([propane]/[ethane]determination would be ∼0.6.).
Comparison of the multi-year ln([propane]/[ethane]) results of the Pico data (in blue) with corresponding observations from Summit (a), Hohenpeissenberg (b), and Cape Verde (c), plotted against day of year.
Comparison of the multi-year ln([propane]/[ethane]) results of the Pico data (in blue) with corresponding observations from Summit (a), Hohenpeissenberg (b), and Cape Verde (c), plotted against day of year.
Results from a sinusoidal best fit through the data (Table 1) show a shift in the timing of the minimum of the seasonal cycle, with HPB reaching its minimum around mid-May (day of year (DOY) 165), Summit reaching the seasonal minimum in late June (DOY 189), and PMO and CVAO reaching the seasonal minimum the latest, around mid-July (DOY 202 and 199, respectively). Also of interest to note is the similarity of the mean seasonal minimum value for PMO and CVAO (-3.13 and -3.19).
The differences in the absolute magnitude and seasonal cycles of these results can be attributed to the particular site locations and transport regimes to these stations. The narrower distribution seen in the Summit data is a clear reflection of the background conditions encountered at this arctic site. Major emission regions in Europe and North America are a minimum of 3–4 days of transport time away (Kramer et al., 2015). Furthermore, due to Summit’s elevation and far northern location, transport of polluted air from lower latitudes is only observed occasionally. However, these transport events do exert a signal on atmospheric pollution levels, for instance, increases in surface ozone and nitrogen oxides have been attributed to transport from central Europe (Helmig et al., 2007; Kramer et al., 2015). The relatively small range of ln([propane]/[ethane]) values seen at any time of the year underscores that pollutants experience less variable transport conditions from emission regions to the station (than for PMO).
HPB is situated on a mountaintop, ∼300 m above most of the immediate surrounding area. It is ∼600–1000 km inland from the Atlantic ocean. While the site can be characterized as semi-rural, it is in the centre of Europe and frequently exposed to air masses transported from densely populated areas. There is only a subtle seasonal cycle seen in the ln([propane]/[ethane]) results. This indicates that relatively fresh, regional emissions of these NMHC species exert a dominant influence on the propane/ethane ratios, with long-range transport playing only a minor role for the NMHC at this site except for ethane. Using positive matrix factorization, Leuchner et al. (2015) determined that approximately 80% (winter) to 60% (summer) of propane, and approximately 50% (winter) to 30% (summer) of the ethane signal were due to local and regional sources.
CVAO does not experience the same degree of variability in air mass ages as Pico, reflected in a narrower range of values, both during summer and winter. Lower values of ln([propane]/[ethane]) indicate that air observed at CVAO is more processed during spring and fall (consistent with OH dominated removal). The summer minima from the curve fit are similar (Table 1); however, during the summer PMO is frequently subjected to air that is more processed, by the ln([propane]/[ethane]) measure, than at CVAO.
These comparisons point out a number of features in the Pico record that contrast the other data sets. Particularly noteworthy are the differences in ln([propane]/[ethane] absolute values, the seasonal behavior, and variability. The higher variability and frequent occurrences of lower summertime minima could have several causes. It might imply that air masses sampled at the station are transported from source regions with lower propane/ethane emission ratios than for the other sites. However, to the best of our knowledge, there are no published studies that have demonstrated significant regional differences in propane/ethane emission ratios that could be used to substantiate this assumption. Another plausible explanation is that air arriving at PMO, particularly during the summer, frequently has been exposed to a higher degree of chemical processing than at the other sites. This could be due to a) higher rate of oxidation due to higher concentrations of the primary atmospheric oxidant, the OH radical, during transport, or b) longer transport times from emission region to the station. These effects possibly could also play together. A striking feature is the wide dynamic range in the PMO data, and the frequency of extreme low and extreme high values, in particular during the summer. This feature points towards highly diverse transport regimes, that frequently bring polluted air via fast transport to PMO (high ln([propane]/[ethane])). These events are contrasted by highly processed (aged) air reaching the site (low ln([propane]/[ethane]). Another possible contributing factor might be a wider range of propane/ethane emission ratios in the PMO source regions than for the other sites (see discussion above).
PMO during most times is subject to free tropospheric air masses while Summit, HPB, and CVAO are primarily subjected to planetary boundary layer air. Consequently, the low summertime ln([propane]/[ethane]) values seen in the PMO record are likely also a reflection of the overall higher state of processing observed in the air transported in the lower free troposphere and little exchange between the marine boundary layer. Comparing the two Atlantic island sites PMO and CVAO, air arriving at PMO is strongly affected by the positioning and strength of the Azores High, whereas air arriving at Cape Verde is overwhelmingly dominated by the boundary layer northeasterly trade winds. Whilst these trade winds are impacted by wider synoptic flow differences around the Azores, at CVAO they are more consistent in terms of airmass pathway over the 2–4 days prior to sampling, and almost never experience fresh emissions during that time along their transport path.
Synoptic transport flow patterns to Pico
The relationship between pollution transport/source region/photochemical aging was further investigated by pairing ln([propane]/[ethane]) results to transport patterns derived from HYSPLIT modeling. A total of 494 individual NMHC measurements were considered in this analysis. There was a bias towards higher frequency of observations for the summer months. Figure 6 shows the year 2004–2012 record with selected examples of associated back trajectory frequency analysis outputs for high and low ln([propane]/[ethane]) conditions for illustrating the most probable ground level source footprint region of trajectories. For a more comprehensive analysis of the seasonal behavior, the center lines of back trajectories were extracted in order to allow displaying multiple trajectories in one graph. Data were broken up into six seasonal windows (Figure 7), i.e. winter, spring, June, July, August, and fall. Please also note that the fall – winter months only have data from a few years, whereas the summer plots capture more years of data. Consequently, the representativeness of the results is expected to be higher for the summer than for the remainder of the record.
Ln ([propane]/[ethane]) 2004–2012 data with upper and lower 10 and 90 percentile of the data in each individual year and season (winter, spring, summer, fall) highlighted in bold for segregating the data into conditions of ‘strong pollution influence’ versus ‘clean background conditions’. Selected occurrences, as indicated by the dates below the insets, were then subjected to a HYSPLIT back trajectory ground level footprint analysis with outputs illustrating the most probable source regions.
Ln ([propane]/[ethane]) 2004–2012 data with upper and lower 10 and 90 percentile of the data in each individual year and season (winter, spring, summer, fall) highlighted in bold for segregating the data into conditions of ‘strong pollution influence’ versus ‘clean background conditions’. Selected occurrences, as indicated by the dates below the insets, were then subjected to a HYSPLIT back trajectory ground level footprint analysis with outputs illustrating the most probable source regions.
Eight-day back trajectories from the PMO grouped for winter, spring (see experimental section for season definition), June, July, August, and fall with back trajectories color-coded by the scale of ln([propane]/[ethane]) results observed during each month of the year, according to the color scale shown underneath and derived as shown in Figure 4c. Numbers underneath the graph indicate the count of trajectories considered during each time interval.
Eight-day back trajectories from the PMO grouped for winter, spring (see experimental section for season definition), June, July, August, and fall with back trajectories color-coded by the scale of ln([propane]/[ethane]) results observed during each month of the year, according to the color scale shown underneath and derived as shown in Figure 4c. Numbers underneath the graph indicate the count of trajectories considered during each time interval.
Results in Figures 6 and 7 illustrate a wide range of transport regimes with most of the transport to PMO occurring within the ∼ 30–60°N latitude band. The six seasonal groups do not reveal distinctive differences in transport behavior between seasons. The two prominent transport behaviors are direct transport from upwind regions to the west and a clockwise circular pattern with westerly transport circulating back down to PMO from NE of the Azores. The majority of back trajectories originate over North America throughout the year. There are few back trajectories (<5%) passing over Africa and Europe. An estimated 20–30% of transport is from higher latitude (>50oN) North America, i.e. Canada.
These results reveal some prominent features in the relationship between transport behavior and NMHC aging. Orange to red trajectory colors are typically associated with far reaching backwards trajectories, indicating that fast transport is a primary cause for atmospheric conditions of high NMHC mole fractions and a low degree of photochemical processing. Most of these trajectories pass over the US and Canada, and several of these cases extend far into the Canadian Arctic. Only a few of the high ln([propane]/[ethane]) value trajectories originate in Western Europe. Highly aged air, associated with low ln([propane]/[ethane]) values, i.e. blue to green trajectory colors, mostly results from sampling of air that has resided over the maritime Atlantic region. The predominant flow pattern is a circulation around the Azores-Bermuda High, which transports air masses northeast of the Azores, and then southward to PMO. During late summer and fall a somewhat higher number of trajectories originates further south in the subtropical Atlantic region than from other source regions.
Our findings generally agree with earlier work relating summertime transport to PMO. Honrath et al. (2004), using a trajectory analysis similar to the one presented here, found that the majority of pollution transport events originated over the US, with two primary transport pathways. Using FLEXPART transport analyses paired with photochemical modeling of NMHC decay rates, Honrath et al. (2008) concluded that air arriving at PMO had typically experienced photochemical aging between 3–10 days since last encountering significant emissions.
The first pathway brings relatively fresh emissions from the US east coast to PMO and the second brings more aged US emissions from the western US, occasionally mixed with biomass burning emissions from the western US, Alaska, and Canada. These flow pathways are apparent in the results here, associated with the majority of the high ln([propane]/[ethane]) observations. Honrath et al. (2004) also found that periods with lower pollution levels tended to be associated with trajectories that had circled over the Atlantic for many days, the same pathway identified here with low ln([propane]/[ethane]) values. These basic transport patterns have been common among the studies that have investigated the relationships between transport and pollution levels observed at PMO. Owen et al. (2006) showed that pollution events transported from the eastern US are frequently associated with warm conveyor belt airflow, while subsequent transport over the Atlantic is governed by geostrophic winds between the Azores/Bermuda High and northerly lows, which is a prominent flow pattern in the North Atlantic atmosphere, with some of the transport events occurring at fairly low altitudes. Other chemical tracer measurements have shown enhancement of carbon monoxide and nitrogen oxides as well as enhancement of ozone in this outflow. It has also been shown that ozone production continues in this outflow for several days during transport over the Atlantic Ocean (Zhang et al., 2015). The predominance of enhanced NMHC levels seen in this transport pattern further underscores the role of VOC emissions from the North American continent in fueling this ozone production.
There were fewer NMHC measurements conducted during fall, winter, and spring than during the summer, resulting in fewer trajectories to consider in the transport analysis (Figure 6). Despite the smaller dataset from these seasons, there is not an obvious significant shift in flow pathways and relative distribution of air transport and association of NMHC oxidation, suggesting that seasonal differences in transport and their influence on the NMHC occurrence at PMO are relatively small. Zhang et al. (2015) is the only other study that has conducted appreciable analysis of seasonal transport to PMO. These researchers used the FLEXPART dispersion model to identify source regions and transport regimens that brought polluted and clean air to PMO for 11 years (2001–2011). Their study identified five transport regimes associated primarily with the transport of anthropogenic emissions from the US to PMO, three classes of biomass burning events, one broad category of transport of aged North Atlantic air, as well as transport from Europe, Africa, tropical regions, and subsidence from the middle and upper free troposphere. Throughout all seasons, some form of transport from the North America low and middle troposphere (0–5 km a.s.l.) dominated, occurring during 40, 30, and 32% of the time during spring (April–May), summer (June – August), and fall (September – October), respectively. Transport of aged background air from the North Atlantic was the second most frequent transport pattern, while transport from the other regions occurred less frequently. While there are seasonal shifts in the specific levels of each source region and transport pathway, the general trend remains, with transport from the North American continent dominating in all seasons, followed by aged background air. Val-Martin et al. (2008b) discussed event-specific characteristics of summer transport to PMO. They showed that there appears to be a greater export and transport of nitrogen oxides from the North American boundary layer to PMO during the summer season driven by stronger uplifting of boundary layer air in Continental North America into the lower free troposphere during summertime conditions. Parrish et al. (2004) proposed that shallow venting of the continental boundary layer to the lower free troposphere, driven by surface heating and associated with fair weather cumulus breaking through the afternoon boundary layer, may provide an important lofting mechanism for anthropogenic emissions over the eastern United States. This mechanism, which is expected to be most frequent in summer, may result in a significant export of nitrogen oxides to the North Atlantic region (Parrish et al., 2004; Li et al., 2005; Hudman et al., 2007). Furthermore, during spring-fall, maximizing in late summer, biomass burning signatures can be detected in air reaching the station (Val-Martin et al., 2008a). In summary, these previous studies suggest seasonal differences in the chemical signatures of outflow from North America. Our work building on NMHC chemical tracers presented here and (Zhang et al., 2015) add to these conclusions by showing that PMO is subjected and influenced by transport from North American to similar degrees year-round, implying that, while the upwind chemical sources and mixing conditions may vary seasonally, there is relatively little seasonal variation in the dominant transport patterns across the North Atlantic.
Comparison of PMO NMHC data with representation by MOZART-4
The PMO dataset was used to investigate the representation of NMHC chemistry in MOZART-4. Previous comparisons of MOZART-4 simulations with PMO data had focused on ozone and carbon monoxide for studies on ozone production efficiency in North American outflow (Pfister et al., 2006). Here, we are considering NMHC by using data from 2006, when there was near complete data coverage for the summer, and a wide dynamic range of observed NMHC mole fractions, for a comparison with MOZART-4 output. The annual cycles of observed and simulated ethane and propane at Pico presented in Figure 8 show a generally good agreement. Absolute mixing ratios, the annual cycle of these gases, and the changes in variability throughout the year are well represented, with model and data in most instances agreeing within ∼25%. The agreement in the range of absolute concentrations and seasonal cycle suggests good representation of emission sources, transport and chemistry in MOZART-4.
Comparison of the seasonal ethane and propane cycle in observations with the year 2006 Mozart model output for ethane (a), propane (b), as well as the ln([propane]/[ethane])(c),with the distribution in the measured data shown in box-whisker plot format, and numbers below the box-whisker plots being the count of values that were considered. A comparison of summer 2006 Mozart output and Pico observations is shown in graph (d) for ethane, and in graph (e) for propane. Graph (f) shows the ratio of propaneobserved/propanaeMozart and of ethaneobserved/ethaneMozart as a function of the degree of photochemical processing, given by the ln([propane]/[ethane]) value in the observations, with the median value indicated by the solid line and the 95% confidence interval borders shown by the dotted lines.
Comparison of the seasonal ethane and propane cycle in observations with the year 2006 Mozart model output for ethane (a), propane (b), as well as the ln([propane]/[ethane])(c),with the distribution in the measured data shown in box-whisker plot format, and numbers below the box-whisker plots being the count of values that were considered. A comparison of summer 2006 Mozart output and Pico observations is shown in graph (d) for ethane, and in graph (e) for propane. Graph (f) shows the ratio of propaneobserved/propanaeMozart and of ethaneobserved/ethaneMozart as a function of the degree of photochemical processing, given by the ln([propane]/[ethane]) value in the observations, with the median value indicated by the solid line and the 95% confidence interval borders shown by the dotted lines.
We further investigate the representation of photooxidation in MOZART-4 by comparing the simulated and observed ln([propane]/[ethane]) ratios. In Figure 8 panel c the monthly statistical analysis of the data record is overlaid with the MOZART-4 results. An overall good agreement is observed, with absolute values and the seasonal cycle of this variable tracking each other throughout the year. There is potentially a slight deviation in the timing of the spring decline and fall increase in the photochemical processing, with the model preceding the observations by ∼2–3 weeks during these times of the year.
The higher variability seen in the data is further investigated by comparing the model representation of transport event features. Overlapping data for the 2006 summer are compared in Figure 8d and 8e. It is notable that the minima in the NMHC data and model results compare well for both compounds, with modeled ethane being within 20%, and propane within a factor of ∼2 for the majority of the data. This is a remarkable agreement given the multiple variables that go into the modeling of the NMHC at Pico, and their associated uncertainties, including emission inventory, source distribution, transport, and chemistry. There is, however, a notable difference in the representation of the frequent concentration increases that are seen in the data. In many of these events the NMHC ambient mole fractions increase by a factor of 2–3. Only 20–30% of the amplitude of these spikes, which, as discussed above, are related to fast transport of pollution-influenced air masses, are picked up by the model. This feature is likely a result of the model resolution being lower (the 2.8°x2.8° model grid resolution corresponds to ∼300 km at the Pico location) and integrating over a larger spatial scale than the spatial extend of pollution events. We further investigated this issue by plotting the ratio of the model/observations against the degree of photochemical processing, using the ln([propane]/[ethane]) value as the indicator. Going towards the right of the graph, i.e. increasing ln([propane]/[ethane]) values, data represent less processed and/or more polluted air masses. Figure 8f shows that the observed/modeled ratios for propane and ethane are scattered between values of ∼1–2, with median values of 1.34 and 1.44 for propane and ethane, respectively, indicative of the variable agreement between observations and model. Results for linear regression analysis of NMHCobserved/NMHCmodel yield statistically non-significant (P=0.95) slope values of 0.17 for propane, and -0.096 for ethane, respectively, with increasing ln([propane]/[ethane]), indicating that there is no statistically significant bias in the model representation with changes in the air mass oxidation state. In summary, the lack of a significant slope value illustrates that MOZART-4 achieves a good description of the NMHC oxidation chemistry in the North Atlantic and that the differences seen in transport events between model and observations are likely due to coarse model resolution.
Summary and conclusion
Nine years of NMHC data from the PMO showed consistency in the annual cycles and seasonal variability. NMHC behavior at PMO is rather unique compared to observations from three other considered sites bordering the North Atlantic, showing higher variability, particularly during summer. This behavior was attributed to variable atmospheric transport patterns, with the site during a significant fraction of time being subjected to highly photochemically aged air masses, as well as during other times to fresh emissions from fast transport across the North Atlantic. Correlation of occurrences of little aged (relatively ‘fresh’) emissions with HYSPLIT back trajectories showed that westerly flow resulting in transport from northern North America, predominantly from footprint regions in the USA and Canada, exert the strongest influence on PMO year-round. The record was found to be too short, the relative measurement uncertainty too high, and the year-to-year variability of summertime monthly mean ethane and propane mole fractions were too large, for deciphering temporal trends and for evaluating emission change in source regions. Year-round operation, in particular monitoring of NMHC during winter months, when the annual cycle of their atmospheric mole fractions displays the highest levels, would be advantageous for revisiting the question of changing NMHC background levels from North American oil and gas development in the future based on a further extended data record. The analyses presented here clearly show how PMO is subject to outflow from the North American continent, and consequently demonstrate the value of PMO observations for researching North America emission trends, in particular for addressing the question of potential changes in North American NMHC emissions.
Comparison of the data record with MOZART-4 output demonstrated a good representation of the lower range of absolute ethane and propane mole fractions at a given time of year, of the ethane and propane seasonal cycle and oxidation chemistry, with limitations in the model results mostly linked to the spatial resolution of transport events.
Data accessibility statement
All NMHC data are publicly accessible at the World Data Centre for Greenhouse Gases (http://ds.data.jma.go.jp/gmd/wdcgg/).
Copyright
© 2015 Helmig et al. This is an open-access article distributed under the terms of the Creative Commons Attribution License, which permits unrestricted use, distribution, and reproduction in any medium, provided the original author and source are credited.
Acknowledgments
We thank Mike Dziobak for his help with the PMO operation, Shalini Punjabi and Lucy Carpenter for their work on the Cape Verde data, and Brendan Blanchard for data quality control and the preparation of figures.
References
The PMO research has been supported by US National Science Foundation Awards #AGS-1011968, #AGS-1109568, #AGS-1110059, the NOAA Climate and Global Change Program grant NA03OAR4310072, and the U.S. Department of Energy Atmospheric Systems Research program, grant #DE-SC0006941. Funding was also received from the UK National Environment Research Council, grant number NE/F017391/1 and from PIP’s Philip Leverhulme Prize. The Regional Government of Azores has supported the Pico Mountain Observatory and operation through the Regional Secretary for Science, Technology and Infrastructures, and the Secretary for the Environment and the Sea. The NMHC monitoring at Summit was supported through the NASA ROSES program, grant number NNX07AR26G. NCAR is operated by the University Corporation of Atmospheric Research under sponsorship of the National Science Foundation.
Competing Interests
The authors have no competing interests, financial or otherwise, that influenced or interfered with the above research, analyses or interpretations.
This is an open-access article distributed under the terms of the Creative Commons Attribution License, which permits unrestricted use, distribution, and reproduction in any medium, provided the original author and source are credited.



![Figure 4. Photochemical oxidation results. / (a) Seasonal cycle of ln([propane]/[ethane]) results from eight years of Pico data. (b) Monthly statistical analysis of the multi-year data. Box-whisker plot format is the same as for Fig. 3. Numbers below the month labels indicate the number of individual data points considered in each box-whisker plot. (c) Residuals of individual ln([propane]/[ethane]) values after subtracting the monthly median. Data points are color-coded using a percentile scale with the color of the data points representing the color scale used for the back-trajectories in Figure 7.](https://ucp.silverchair-cdn.com/ucp/content_public/journal/elementa/3/10.12952_journal.elementa.000054/4/m_61-624-1-pb.png?Expires=1690931729&Signature=0D8izpyEI9uAWxrTanCUklVepiCF3WpQZaFtQg82~PIaWwab0GOxx-N1vFTSE2Bt-FQciJmQa16WyKL3uPzRl9QqkhLQzORhhl5S3uFtp4~i1EWOhqW-wPgiHxwbENOIhmEP04bHY1JlIKR6X3jBYHvZ6uZn4X6UC5gA1dqdyRagGUxcp0k5uU--Q7dk2HgbIGnLyZa99ryIMkfuRS~MQWzCMDgp3nCpV6KnaCwvm-pVuYQXTK2RQvcGzfY--YeVfdfTzqtnnO0wS1Htedhi4MLDuDW0qo1oSfP2063PWHB-aWmxe4XfuK9MsfIjVssTUIqVZ8nmvsFvA1zOdTkzkg__&Key-Pair-Id=APKAIE5G5CRDK6RD3PGA)
![Figure 5. Site comparison of ln([propane]/[ethane]) results. / Comparison of the multi-year ln([propane]/[ethane]) results of the Pico data (in blue) with corresponding observations from Summit (a), Hohenpeissenberg (b), and Cape Verde (c), plotted against day of year.](https://ucp.silverchair-cdn.com/ucp/content_public/journal/elementa/3/10.12952_journal.elementa.000054/4/m_61-625-1-pb.png?Expires=1690931729&Signature=MragzjZ~PcCGCjqXvEU4YRfVn-paZc7uuaeH3jLGxyXNzbkAl6CjwRY1mPgIwwnXOKVF3zKcdpdLL~IyWvgh9zNnFgKqbDSML6-azaovBNQn~EC6MlgZH3TJpHxtkFgBEYmSBStLM4pSfh8doOHtFwWGOWmE3~CQEAkVKlxleKxBvNAk7uLbTx11JOUpqklBJcdRWqYFJ0dnuyYmWlEt0xp152zfvHZBOm1VDGEzhLC9Zj32uhf8Y4XpG5Hk4a87coBtOiZTLNcjBNl1LG4uaeLR6FhMfl5EpySCnXcS0DutZXB73adwYmttOcQh4YetCoX125GgRiAdPaSJuWJ9vg__&Key-Pair-Id=APKAIE5G5CRDK6RD3PGA)
![Figure 6. Back trajectory examples of high and low photochemical oxidation occurrences. / Ln ([propane]/[ethane]) 2004–2012 data with upper and lower 10 and 90 percentile of the data in each individual year and season (winter, spring, summer, fall) highlighted in bold for segregating the data into conditions of ‘strong pollution influence’ versus ‘clean background conditions’. Selected occurrences, as indicated by the dates below the insets, were then subjected to a HYSPLIT back trajectory ground level footprint analysis with outputs illustrating the most probable source regions.](https://ucp.silverchair-cdn.com/ucp/content_public/journal/elementa/3/10.12952_journal.elementa.000054/4/m_61-626-1-pb.png?Expires=1690931729&Signature=VZU57XhnNqQwb65t00nOtEit8MZGHyA6LQIXLWnbQPInP7K7qaZIxM4XD-WQY3EUP3u5LTP5zb3uWr2pUsnbaT8bGdq0lpEvNhrhB-JTipb8kW4ADYEz2~No8INyoXMZuamOiIVukFuxJC1Z33cEq4r~73LsdwJ9tpTa7jIGu1GIlk~9Tuc~2Aw-w0UJK9Y9U2BFIyLgRHLLl1EF~2l8w4ONgN18hpWlNSdup5qIpS1t6RS9E6Pmxlm7YCRAslIwMpKgnzcLmHQXrrKNFLyEnEEdHBthEs8P-j5ODrJEJDwE951ZX9pyP9DezaWXNoIIzNIXrvpIN4P9qmh5U2M6SA__&Key-Pair-Id=APKAIE5G5CRDK6RD3PGA)
![Figure 7. Back trajectories labeled by degree of photo-oxidation. / Eight-day back trajectories from the PMO grouped for winter, spring (see experimental section for season definition), June, July, August, and fall with back trajectories color-coded by the scale of ln([propane]/[ethane]) results observed during each month of the year, according to the color scale shown underneath and derived as shown in Figure 4c. Numbers underneath the graph indicate the count of trajectories considered during each time interval.](https://ucp.silverchair-cdn.com/ucp/content_public/journal/elementa/3/10.12952_journal.elementa.000054/4/m_61-627-1-pb.png?Expires=1690931729&Signature=hW3VtHu3l2UYZPq1zud9EB5RCUwhV2tld9wY-NsojefIy9B4SmH6KS~uBGB-Pdebq7n8lBqsWJEqdlfgoLnP4zv4I~ivNcfIw1OHLdRsJ1r1eaXfpPqZ5kfC9OFcBTybR~pY2WDVPJO8c7w~d7FBF-l~YUbVH7NO5O3wevjfoIHvNEBeHD3CgXHcyIwsZf4gAOwrc000n~EBH8mclljL5Ve5zevuLrxDusCVIL3eubVn5ZBpwRZB~Wf5~mQPrZjraOKathX4pAbhb~~2Qd-VVq5SFDTt0g6coK1rDAexqyGTm2LkqRecy7XJ3i2dFpWj8LsPLzx8cZEAhWP27o9vqg__&Key-Pair-Id=APKAIE5G5CRDK6RD3PGA)
![Figure 8. Monitoring data - Mozart model comparisons. / Comparison of the seasonal ethane and propane cycle in observations with the year 2006 Mozart model output for ethane (a), propane (b), as well as the ln([propane]/[ethane])(c),with the distribution in the measured data shown in box-whisker plot format, and numbers below the box-whisker plots being the count of values that were considered. A comparison of summer 2006 Mozart output and Pico observations is shown in graph (d) for ethane, and in graph (e) for propane. Graph (f) shows the ratio of propaneobserved/propanaeMozart and of ethaneobserved/ethaneMozart as a function of the degree of photochemical processing, given by the ln([propane]/[ethane]) value in the observations, with the median value indicated by the solid line and the 95% confidence interval borders shown by the dotted lines.](https://ucp.silverchair-cdn.com/ucp/content_public/journal/elementa/3/10.12952_journal.elementa.000054/4/m_61-628-1-pb.png?Expires=1690931729&Signature=BAXH1kWlWAtVVWS14yGkLz4a9bjhYDW~XMCVctSHD52IT3~9MropkXtqCHjRnhZA5WICZSHRAQRQeCdtj5sTVa3i-sIcw3Ftvg50EoEt2Ysl~UuLbsFYEF3Fbx2KDGc53QFdxsK7VwUh3avyK-uTn~LrOemoFeS8QI-tZdO-~toK3YaKMBt4ZzkEeVU2~dW~fkwyGQEa2~u18vvX136NEILbRsF5D8sN9MxAJPYtpoIAxp7ewrXUr6U16aNotoAYFlbPMLVsp1eb15oti1k3JuWwpYPROhn-QHNpPdjUoBxeiWJerqucogHMEc7dv7cdr1XAFY3zrymQIM5iJexcLA__&Key-Pair-Id=APKAIE5G5CRDK6RD3PGA)