The Svalbard region faces drastic environmental changes, including sea-ice loss and “Atlantification” of Arctic waters, caused primarily by climate warming. These changes result in shifts in the sea-ice-associated (sympagic) community structure, with consequences for the sympagic food web and carbon cycling. To evaluate the role of sympagic biota as a source, sink, and transmitter of carbon, we sampled pack ice and under-ice water (0–2 m) north of Svalbard in spring 2015 by sea-ice coring and under-ice trawling. We estimated biomass and primary production of ice algae and under-ice phytoplankton as well as biomass, carbon demand, and secondary production of sea-ice meiofauna (>10 µm) and under-ice fauna (>300 µm). Sea-ice meiofauna biomass (0.1–2.8 mg C m–2) was dominated by harpacticoid copepods (92%), nauplii (4%), and Ciliophora (3%). Under-ice fauna biomass (3.2–62.7 mg C m–2) was dominated by Calanus copepods (54%). Appendicularia contributed 23% through their high abundance at one station. Herbivorous sympagic fauna dominated the carbon demand across the study area, estimated at 2 mg C m–2 day–1 for ice algae and 4 mg C m–2 day–1 for phytoplankton. This demand was covered by the mean primary production of ice algae (11 mg C m–2 day–1) and phytoplankton (30 mg C m–2 day–1). Hence, potentially 35 mg C m–2 day–1 of algal material could sink from the sympagic realm to deeper layers. The demand of carnivorous under-ice fauna (0.3 mg C m–2 day–1) was barely covered by sympagic secondary production (0.3 mg C m–2 day–1). Our study emphasizes the importance of under-ice fauna for the carbon flux from sea ice to pelagic and benthic habitats and provides a baseline for future comparisons in the context of climate change.
Introduction
The Arctic Ocean harbors a unique ecosystem characterized by organisms that are adapted to an extreme environment comprising polar night, midnight sun, and seasonal or permanent sea-ice cover. The amount of light available for primary production in and under the sea ice is highly variable in space and time and is determined by overall sea-ice cover, sea-ice thickness, snow depth, and sediment in the ice (Gradinger et al., 2009; Massicotte et al., 2019; Castellani et al., 2020). Ice algae tend to be low-light adapted and typically peak in production before the phytoplankton bloom (Leu et al., 2015). Their spring bloom takes place in the bottom centimeters of the sea ice, and they are released to the under-ice environment when the ice is melting later in the season (Gradinger, 2009; Leu et al., 2015). Ice algae can also serve as a food source for under-ice grazers such as ice amphipods or calanoid copepods (Kohlbach et al., 2016). However, the magnitude of ice-algal production tends to be lower than the phytoplankton production, given the much shorter time window for bloom development (Leu et al., 2011). The timing of both blooms is important for the survival and reproduction of ice-associated (sympagic) fauna, which obtains at least part of its food demand from ice algae when phytoplankton is not yet available (Gradinger, 1999a; Søreide et al., 2010; Leu et al., 2011).
The Arctic sea-ice community inside the ice is diverse, comprising bacteria, autotrophic, mixotrophic, and heterotrophic protists (Gradinger, 1999b; Poulin et al., 2011; Hop et al., 2020) and metazoans (Gradinger, 1999a). Although the composition of the heterotrophic sea-ice fauna (sea-ice meiofauna) varies between regions, seasons, and ice types, some taxa widely occur in Arctic sea ice (Bluhm et al., 2018). In terms of abundance, heterotrophic protists are often dominated by Ciliophora, whereas the multicellular fauna is often dominated by herbivorous Harpacticoida and copepod nauplii (Grainger and Hsiao, 1990; Gradinger, 1999a; Bluhm et al., 2018; Ehrlich et al., 2020). These and other sea-ice meiofauna taxa are primarily consumers of ice algae and therefore important links in the transfer of energy from the sea ice to pelagic and benthic food webs (Gradinger, 1999a; Nozais et al., 2001; Grebmeier et al., 2010). A recent study by Gradinger and Bluhm (2020) aimed to evaluate the extent of sea-ice meiofauna grazing in landfast ice and the degree to which sea-ice meiofauna, in turn, becomes the prey of larger predators beneath the ice. Their study showed that sea-ice meiofauna has a low grazing impact on the ice-algal spring bloom and leaves the vast majority of organic matter for under-ice, pelagic, and benthic communities.
In addition to biota living inside the sea-ice brine channel system, invertebrates dwelling in the under-ice water layer are important for the carbon transfer to deeper water layers, not the least through their diel and seasonal vertical migration. For example, Calanus species have life cycles adapted to food availability during ice-algal and phytoplankton blooms (Søreide et al., 2010). Calanus glacialis and Calanus hyperboreus comprise the main biomass in the central Arctic Ocean (Auel and Hagen, 2002; Darnis et al., 2008; Kosobokova and Hirche, 2009). They feed on both ice algae and phytoplankton (Kohlbach et al., 2016) and perform seasonal vertical migration to depths of hundreds of meters whereby they contribute significantly to the carbon cycle of the Arctic Ocean (Fortier et al., 2001; Daase et al., 2016; Darnis et al., 2017). Sympagic amphipods, such as Apherusa glacialis, also show a high trophic dependency on ice-algal production, emphasizing the role of ice algae for the Arctic marine food web (Werner, 1997; Scott et al., 1999; Kohlbach et al., 2016). In addition, the sympagic realm is inhabited by carnivorous taxa, such as large Paraeuchaeta copepods, chaetognaths, the amphipod Themisto libellula, and Polar cod Boreogadus saida, which are important for providing carbon to the higher trophic levels in ice-covered seas (Welch et al., 1992; Dalpadado, 2002; David et al., 2016).
Earlier studies investigated the community composition and biomass of sea-ice meiofauna (Friedrich, 1997; Gradinger et al., 1999; Gradinger and Bluhm, 2020) and under-ice fauna (Lønne and Gulliksen, 1991; David et al., 2015; Flores et al., 2019) in the Arctic Ocean. Based on comparison with earlier studies, the impact of climate warming on the Arctic sea-ice ecosystem has already altered community compositions. Examples include the virtual absence of Nematoda in pack ice north of Svalbard compared to the 1990s and the changing protist community in the pack ice of the central Arctic Ocean over a 40-year period (Kiko et al., 2017; Ehrlich et al., 2020; Hop et al., 2020). Because sympagic fauna comprises different feeding types accompanied by specific prey preferences, an altered community composition together with an increase of small-sized species in response to global warming will result in a decoupling of predator–prey dynamics, as smaller species favor smaller prey (Daufresne et al., 2009; Li et al., 2009). Earlier studies either assessed the dependency of single species on ice algae and phytoplankton (Werner, 1997; Kohlbach et al., 2016) or estimated the vertical flux from ice floes without the consumer perspective (Moran et al., 2005; Nöthig et al., 2020). However, a holistic compilation of primary production estimates, consumer carbon demands, and secondary productions for the in-ice and the under-ice realm has not been acquired before. Our study aimed at investigating the linkages between sea-ice and under-ice biota and the potential carbon flux from the sympagic realm to the pelagic and benthic systems by:
quantifying the biomass and production rates of ice algae, under-ice phytoplankton, and sympagic fauna in and under Arctic pack ice;
estimating the potential grazing impact of sea-ice meiofauna and under-ice fauna on ice-algal and phytoplankton production, respectively;
evaluating the potential predation impact of carnivorous under-ice fauna on the secondary production; and
assessing the amount of primary production that remains for the pelagic and benthic communities.
Materials and methods
Study area
This study was conducted during the international Transitions in the Arctic Seasonal Sea Ice Zone expedition aboard RV Polarstern (PS92) between May 19 and June 28, 2015. All samples were taken in the Eurasian sector of the Arctic Ocean near the Atlantic water inflow north of Svalbard between 7.07–19.91°E and 81.0–82.21°N. We sampled ice cores at 8 ice stations (Figure 1). In close vicinity to those ice stations, we also took samples with the Surface and Under-Ice Trawl (SUIT; Flores, 2009; Figure 1). Two of the 8 ice stations were located on the marginal shelf north of Svalbard (stations 19 and 32), 4 in the Sophia Basin and on its slope (stations 27, 31, 47, and 39), and 2 at the Yermak Plateau (stations 43 and 45/46; Figure 1). During our study, approximately 1.5-year-old sea ice covered on average 65% of the sampling area (Ehrlich et al., 2020). The sampled region is characterized by a strong inflow of Atlantic Water along the West Spitsbergen Current and the Fram Strait branch. This inflow brings the most oceanic heat into the Arctic Ocean and contributes strongly to the observed sea-ice loss in the past decades (Beszczynska-Möller et al., 2012; Rudels et al., 2013). It is also responsible for the advection of zooplankton from sub-Arctic regions (Bluhm et al., 2011).
Map of the study area and sampled stations. During the RV Polarstern expedition PS92 north of Svalbard, samples were taken at 8 ice stations (white circles) and 8 Surface and Under-Ice Trawl stations (black triangles). DOI: https://doi.org/10.1525/elementa.2020.00169.f1
Map of the study area and sampled stations. During the RV Polarstern expedition PS92 north of Svalbard, samples were taken at 8 ice stations (white circles) and 8 Surface and Under-Ice Trawl stations (black triangles). DOI: https://doi.org/10.1525/elementa.2020.00169.f1
Processing and parameter estimation of sea-ice biota
Sampling, biomass, and primary production of ice algae at ice stations
A main coring site was established at each ice station, and 4 ice cores were taken to determine different biogeochemical variables. The ice cores were drilled with a Kovacs corer (Kovacs Enterprise, Roseburg, OR, USA; inner diameter: 9 cm). Two ice cores were taken at each ice station for pigment analysis. The bottom 10 cm of both ice cores were pooled and melted in filtered seawater (0.2 µm). The samples were filtered on GF/F filters and immediately frozen in liquid nitrogen and stored at –80°C until analysis. Chlorophyll a (chl a) concentrations were measured with high-performance liquid chromatography (HPLC) as described in Tran et al. (2013). The carbon biomass of ice algae for the ice stations was estimated from the sea-ice chl a concentrations at each station (Ehrlich et al., 2020), applying an average C:chl ratio of 53 (Vernet et al., 2017), which reflects the overall mixed community of diatoms and flagellates found in our study region (Peeken, 2020).
Photosynthesis–irradiance (PE) curves were measured on a second set of 2 ice cores, which were collected at each ice station. The bottom 1-cm sections of each ice core were transferred in 50 mL of filtered (0.2 µm) surface seawater. Continuous gentle shaking helped to thaw the sample rapidly. All samples were kept in the dark prior to the incubation. PE samples were incubated at different irradiance levels in the presence of 14C-labeled sodium bicarbonate using a method derived from Lewis and Smith (1983). Incubations were carried out in a dimly lit radiation lab under the deck of the vessel to avoid any light stress on the algae. To calculate the primary production using photosynthetic parameters derived from the PE curves, the incoming photosynthetically available radiation at the surface (PAR, E°(PAR, 0+)) was measured at 10-min intervals using a CM 11 global radiation pyranometer (Kipp and Zonen, Delft, the Netherlands) installed in the crow’s nest of the RV Polarstern. PE parameter means of the 2 replicates derived from each ice station (except for station 19) were used to calculate hourly primary production using the following equation:
where pp is the photosynthetic rate (mgC m–3 h–1) at light saturation, α is the photosynthetic efficiency at irradiance close to zero (mgC m–3 h–1 [µmol photon m–2 s–1]–1), and ps (mgC m–3 h–1) is a hypothetical maximum photosynthetic rate without photoinhibition. Daily primary production rates (µg C m–2 day–1) were then calculated by integrating hourly primary production over 24 h (for further details, see Massicotte et al., 2019).
Sampling, biomass, carbon demand, and secondary production of sea-ice meiofauna
Sea-ice meiofauna (here heterotrophs > 10 µm) was sampled at each of the 8 stations. The detailed sampling procedure was as described in Ehrlich et al. (2020). We sampled the lowermost 10 cm of a set of duplicate ice cores per station because the highest sea-ice meiofauna densities are usually found in this bottom layer of the sea ice (Friedrich, 1997; Nozais et al., 2001; Marquardt et al., 2011). Choosing the 10-cm section was a compromise, as that layer accounted for about two-thirds of all sea-ice meiofauna in a pan-Arctic data compilation of over 700 ice cores (Bluhm et al., 2018), while in other studies, all sea-ice meiofauna were found in the bottom 2 cm (Nozais et al., 2001). The faunal concentration in the bottom layer is because this layer has a high probability of colonization by both pelagic and benthic fauna. It is also in free exchange with nutrients from the underlying seawater, which sustain the growth of ice-algal food for many of these taxa (Arndt and Swadling, 2006). A small fraction of sea-ice meiofauna may also be found outside the sampled bottom ice layer (Bluhm et al., 2018). However, microscopic inspection of the melted top 10-cm section of our ice cores showed an absence of sea-ice meiofauna in this layer. The bottom10-cm sections were melted separately with the addition of 200 mL of 0.2-µm-filtered seawater per centimeter of ice core to protect the fauna from osmotic stress during melting (Garrison and Buck, 1986). Melting took place onboard in a dark room at 4°C. After melting, the samples were concentrated on 10-µm gauze and fixed in 4% buffered formaldehyde solution until later quantitative analysis. Taxonomic names were verified for correctness and synonymy using the World Register of Marine Species (WoRMS; http://www.marinespecies.org).
The biomass (µg C m–2) for sea-ice meiofauna taxa was calculated by multiplying abundances (ind. m–2) of each taxon obtained from Ehrlich et al. (2020) by the carbon content per individual of this taxon. Carbon content values were taken from the literature (Table S1). To minimize over- and underestimations, we used region-specific data and/or those that covered relevant size spectra whenever possible. If no value for carbon content of a taxon was found, regression equations from the literature were used to calculate the dry weight, and dry weight-to-carbon ratios from literature were used to estimate the carbon content of that particular taxon (Table S1). The mass-specific ingestion rate (% of body C day–1) of each sea-ice meiofauna taxon was calculated according to Gradinger (1999a) with the allometric mass specific equation of Moloney and Field (1989):
where Imax is the daily mass-specific maximum potential ingestion rate (day–1), 63 is the biomass-specific ingestion rate coefficient, M is the biomass of a single organism (pg C), and 0.23326 is the unitless temperature compensation. We assumed a sea-ice temperature of –1°C (for details on physical parameters, see Ehrlich et al., 2020) and a temperature coefficient (Q10) value of 2 (typical for plankton metazoans; Moloney and Field, 1989). The mass-specific ingestion rate of each taxon was then multiplied by the total carbon biomass of that taxon at every station to determine the carbon demand per day (µg C m–2 day–1; Table S1). In order to quantify the fraction of ice-algal carbon demand of key herbivorous sea-ice meiofauna taxa (Harpacticoida, nauplii, Ciliophora), we assumed Harpacticoida and nauplii were covering 100% and Ciliophora 50% of their carbon demand by feeding on ice algae (Verity, 1991; Table S1). Although Harpacticoida and nauplii are also known to feed on Ciliophora (Kramer, 2011), the biomass of Ciliophora in comparison to ice algae was so small (<1% of ice-algal biomass) that it was considered negligible. For the calculation of sea-ice meiofauna secondary production, all production-to-biomass (P:B) ratios were obtained from Forest et al. (2014). The P:B ratio of 0.062 for Arctic protozooplankton was used for Ciliophora, Tintinnina, Dinophyceae, and Amoebozoa, and the P:B ratio of 0.021 for Arctic nauplii and small zooplankton was used for Harpacticoida, Nauplii, and Rotifera.
Processing and parameter estimation of under-ice biota
Sampling, biomass, and primary production of ice algae and phytoplankton at SUIT stations
Prior to arriving or directly after leaving each station, a SUIT was deployed. The SUIT consists of a steel frame with a 2 m × 2 m opening, 2 parallel 15-m-long nets, and a sensor package attached to the opening of the SUIT (for sensor details, see Lange et al., 2016). The set of sensors measured environmental variables at each station. Chl a concentration of phytoplankton right under the ice was determined by using a fluorometer (Cyclops, Turner Designs, San Jose, CA, USA), which was incorporated in the conductivity, temperature, and depth probe (CTD; Sea and Sun Technology CTD 75M memory probe) and calibrated against chl a concentrations measured by HPLC from water column samples. Under-ice irradiance values were measured using Ramses spectral radiometers (Trios GmbH, Rastede, Germany) with a wavelength range from 350 to 920 nm and a resolution of 3.3 nm. From the under-ice hyperspectral measurements, we retrieved ice-algal chl a by applying the normalized difference indices algorithm (for details, see Castellani et al., 2020). Due to failure of the sensor package, no data could be collected at stations 31 and 32. In addition, missing hyperspectral measurements at station 27 did not allow for retrieval of ice-algal chl a for this station. The measured chl a concentrations are available in Ehrlich et al. (2020). The carbon biomass of ice algae and phytoplankton at the SUIT stations was calculated as above for ice algae at ice stations.
Primary production (µg C m–2 day–1) for ice algae and phytoplankton at SUIT stations was calculated similarly as for ice algae at ice stations (see previous section). For calculation of the ice-algal primary production, an hourly PAR under the ice was calculated by multiplying E° (PAR, 0+) by the sea-ice transmittance. The sea-ice transmittance was calculated as the ratio between incoming and under-ice light, the latter measured with a RAMSES-ACC irradiance sensor (Trios GmbH, Rastede, Germany) attached to the SUIT. For the calculation of the phytoplankton primary production, we used PE curves determined from additional under-ice water samples, which we collected with Niskin bottles mounted on a Sea-Bird rosette water sampler equipped with a CTD probe (SBE911+) at each ice station. Available light for phytoplankton photosynthesis was estimated by integrating PAR over the first 2 m of the water column under the ice sheet. PAR between 0 and 2 m was propagated into the water column using upward attenuation coefficient calculated from radiance profiles measured from the Remotely Operated Vehicle (for details, see Nicolaus and Katlein, 2013). In the marginal ice zone, large leads often increase the amount of light available to phytoplankton. To account for this additional source of available light, we applied the Method 2 of Massicotte et al. (2019), which aims at averaging production under the ice and in adjacent open waters using a mixing model based on sea-ice concentration derived from satellite imagery to upscale the estimates of primary production derived from the SUIT.
Sampling, biomass, carbon demand, and secondary production of under-ice fauna
Under-ice fauna (here metazoans > 300 µm) was sampled at each of the 8 stations and caught with the 300-µm zooplankton net of the SUIT with a single sample per station. The catch was concentrated on a 100-µm sieve, and a defined fraction was preserved in 4% buffered formaldehyde solution until later quantitative analysis (for details, see Ehrlich et al., 2020). All fauna samples were sorted under stereomicroscopes (Zeiss Discovery.V20 and Leica Model M 205C or a Leica Discovery V8) and identified to the lowest taxonomic level possible. Taxonomic names were verified for correctness and synonymy using the WoRMS (http://www.marinespecies.org).
The biomass (µg C m–2) for all under-ice fauna taxa was calculated by multiplying catch abundances as established in Ehrlich et al. (2020) with the carbon content per individual of the taxon. Carbon (C) values were taken from the literature (Table S2). To minimize over- and underestimations, we used region-specific data and/or those that covered relevant size spectra whenever possible. The mass-specific ingestion rates (% of body C day–1) for the biomass-dominant under-ice taxa (Calanus spp., Amphipoda, Chaetognatha, Appendicularia), which combined accounted for 99.5% of the total under-ice fauna biomass, were taken from the literature (Deibel, 1988; Saito and Kiorboe, 2001; Campbell et al., 2016; Table S2). For the remaining taxa, no mass-specific ingestion rates were available; instead, the mean value of the above-mentioned dominant taxa was used (Table S2). The mass-specific ingestion rate of each taxon was then multiplied by the total biomass of that taxon at every station to determine the carbon demand per day (µg C m–2 day–1; Table S2). To consider that some of the key herbivores (C. hyperboreus, C. glacialis, Calanus finmarchicus, A. glacialis, and Appendicularia) use both ice algae and phytoplankton as food sources in our study area (Kohlbach et al., 2016), we assumed C. hyperboreus to cover 25% and C. glacialis to cover 33% of their carbon demand from ice algae (Kohlbach et al., 2016). For C. finmarchicus, we took the same value as for C. glacialis (33%) referring to Søreide et al. (2013), who showed that C. finmarchicus feed on a mixture of phytoplankton and ice algae. For A. glacialis, we used an ice-algal share of 86% of the total carbon demand (Kohlbach et al., 2016). Because Appendicularia are herbivorous filter feeders, we assumed no prey selectivity and split their carbon demand corresponding to the ratio of ice-algal and phytoplankton primary production at each station. To estimate the total carbon demand of the sea-ice and the under-ice fauna together, we used their means over all 8 stations as representative of the general study area. The secondary production of under-ice fauna was calculated by using a P:B ratio of 0.012 for all taxa obtained from Forest et al. (2014) for large Arctic mesozooplankton species.
Data visualization
All figures were created with R-Software Version 3.6.0 (R Core Team, 2018) and the “ggplot2” package (Wickham, 2016). Additional features of the plots were modified using the packages “scales” (Wickham, 2018) and “ggnewscale” (Campitelli, 2019). The plots were combined in grids using the “ggpubr” package (Kassambara, 2020). Map features were handled with functions from the packages “ggspatial” (Dunnington, 2018) and “sf” (Pebesma, 2018). Bathymetry data were taken from the “marmap” package (Pante and Simon-Bouhet, 2013) and spatial information data of countries from “rnaturalearth” and “rnaturalearthhires” (South, 2017, 2020).
Results
Biomass, carbon demand, and production of the sea-ice biota
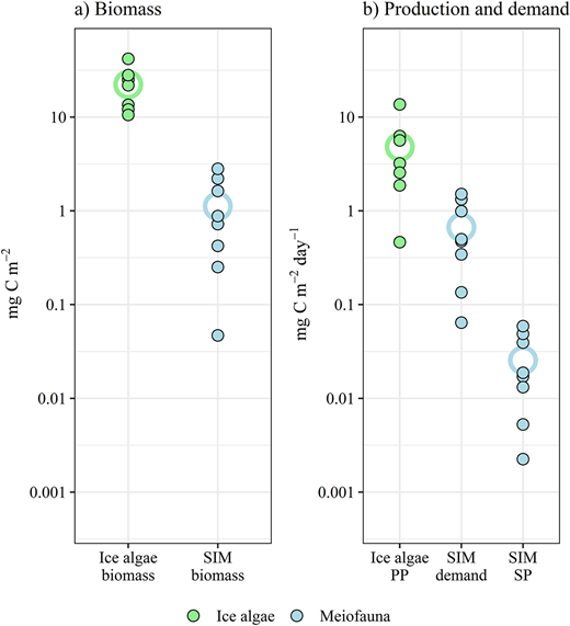
The biomass of ice algae in ice cores ranged between 10.5 and 41.9 mg C m–2 per station (mean = 22.3 mg C m–2; Figure 2a, Table 1). Ice-algal primary production ranged from 0.5 to 13.7 mg C m–2 day–1 (mean = 4.8 mg C m–2 day–1; Figure 2b, Table 1).
Biomass, carbon demand, and carbon production of ice algae and sea-ice meiofauna. (a) Biomass of ice algae and sea-ice meiofauna (SIM) and (b) ice-algal primary production (PP), SIM carbon demand, and SIM secondary production (SP) across 8 stations north of Svalbard in spring pack ice of 2015. Filled circles represent estimates per station; mean values are marked as unfilled circles. Note that the y-axis is log10-scaled. DOI: https://doi.org/10.1525/elementa.2020.00169.f2
Biomass, carbon demand, and carbon production of ice algae and sea-ice meiofauna. (a) Biomass of ice algae and sea-ice meiofauna (SIM) and (b) ice-algal primary production (PP), SIM carbon demand, and SIM secondary production (SP) across 8 stations north of Svalbard in spring pack ice of 2015. Filled circles represent estimates per station; mean values are marked as unfilled circles. Note that the y-axis is log10-scaled. DOI: https://doi.org/10.1525/elementa.2020.00169.f2
Mean biomass, primary production, secondary production, and carbon demand for sea-ice biota at the 8 ice stations, including standard deviation (SD, n = 8), range, and relative (Rel.) share. DOI: https://doi.org/10.1525/elementa.2020.00169.t1
| . | Biomass . | Primary or Secondary Production . | Carbon Demand . | |||||||||
|---|---|---|---|---|---|---|---|---|---|---|---|---|
| Sea-Ice Biota . | Mean (µg C m–2) . | SD . | Range . | Rel. (%) . | Mean (µg C m–2 day–1) . | SD . | Range . | Rel. (%) . | Mean (µg C m–2 day–1) . | SD . | Range . | Rel. (%) . |
| Primary producers | ||||||||||||
| Ice algae | 22,300 | 10,400 | 10,500–41,900 | naa | 4,810 | 4,400 | 463–13,700 | na | na | na | na | na |
| Secondary producers (sea-ice meiofauna) | ||||||||||||
| Harpacticoida G.O. Sars, 1903 | 1,030 | 970 | 0–2,770 | 91.6 | 21.6 | 20.4 | 0–58.1 | 84.7 | 542 (542)b | 512 | 0–1,460 | 81.1 |
| Nauplii (Copepoda Milne Edwards, 1840) | 48.6 | 46.7 | 3.3–154 | 4.3 | 1.0 | 1.0 | 0.1–3.2 | 4.0 | 60.0 (60.0)b | 57.7 | 4.1–190 | 9.0 |
| Rotifera Cuvier, 1817 | 2.4 | 5.0 | 0–13.6 | 0.2 | 0.2 | 0.3 | 0–0.9 | 0.6 | 2.9 | 5.9 | 0–16.3 | 0.4 |
| Ciliophora, not documented | 37.0 | 37.6 | 0–94.2 | 3.3 | 2.3 | 2.3 | 0–5.8 | 9.0 | 53.1 (26.6)b | 53.9 | 0–135 | 7.9 |
| Tintinnina Kofoid and Campbell, 1929 | 5.3 | 6.3 | 0–16.8 | 0.5 | 0.3 | 0.4 | 0–1.0 | 1.3 | 7.6 | 9.1 | 0–24.1 | 1.1 |
| Dinophyceae Fritsch, 1927 | 1.3 | 2.1 | 0–4.9 | 0.1 | 0.1 | 0.1 | 0–0.3 | 0.3 | 2.2 | 3.6 | 0–8.5 | 0.3 |
| Amoebozoa Lühe, 1913, emend. Cavalier-Smith, 1998 | 0.1 | 0.3 | 0–0.9 | <0.1 | <0.1 | <0.1 | 0–0.1 | <0.1 | 0.2 | 0.5 | 0–1.3 | <0.1 |
| Total | 1,120 | 993 | 47–2,810 | 100 | 25 | 21 | 2–59 | 100 | 668 (628)b | 543 | 64–1,510 | 100 |
| . | Biomass . | Primary or Secondary Production . | Carbon Demand . | |||||||||
|---|---|---|---|---|---|---|---|---|---|---|---|---|
| Sea-Ice Biota . | Mean (µg C m–2) . | SD . | Range . | Rel. (%) . | Mean (µg C m–2 day–1) . | SD . | Range . | Rel. (%) . | Mean (µg C m–2 day–1) . | SD . | Range . | Rel. (%) . |
| Primary producers | ||||||||||||
| Ice algae | 22,300 | 10,400 | 10,500–41,900 | naa | 4,810 | 4,400 | 463–13,700 | na | na | na | na | na |
| Secondary producers (sea-ice meiofauna) | ||||||||||||
| Harpacticoida G.O. Sars, 1903 | 1,030 | 970 | 0–2,770 | 91.6 | 21.6 | 20.4 | 0–58.1 | 84.7 | 542 (542)b | 512 | 0–1,460 | 81.1 |
| Nauplii (Copepoda Milne Edwards, 1840) | 48.6 | 46.7 | 3.3–154 | 4.3 | 1.0 | 1.0 | 0.1–3.2 | 4.0 | 60.0 (60.0)b | 57.7 | 4.1–190 | 9.0 |
| Rotifera Cuvier, 1817 | 2.4 | 5.0 | 0–13.6 | 0.2 | 0.2 | 0.3 | 0–0.9 | 0.6 | 2.9 | 5.9 | 0–16.3 | 0.4 |
| Ciliophora, not documented | 37.0 | 37.6 | 0–94.2 | 3.3 | 2.3 | 2.3 | 0–5.8 | 9.0 | 53.1 (26.6)b | 53.9 | 0–135 | 7.9 |
| Tintinnina Kofoid and Campbell, 1929 | 5.3 | 6.3 | 0–16.8 | 0.5 | 0.3 | 0.4 | 0–1.0 | 1.3 | 7.6 | 9.1 | 0–24.1 | 1.1 |
| Dinophyceae Fritsch, 1927 | 1.3 | 2.1 | 0–4.9 | 0.1 | 0.1 | 0.1 | 0–0.3 | 0.3 | 2.2 | 3.6 | 0–8.5 | 0.3 |
| Amoebozoa Lühe, 1913, emend. Cavalier-Smith, 1998 | 0.1 | 0.3 | 0–0.9 | <0.1 | <0.1 | <0.1 | 0–0.1 | <0.1 | 0.2 | 0.5 | 0–1.3 | <0.1 |
| Total | 1,120 | 993 | 47–2,810 | 100 | 25 | 21 | 2–59 | 100 | 668 (628)b | 543 | 64–1,510 | 100 |
aNot applicable.
bOf that ice algae.
The biomass of sea-ice meiofauna ranged between 0.05 and 2.8 mg C m–2 per station (mean = 1.1 mg C m–2; Figure 2a). Harpacticoida contributed by far the most to the total sea-ice meiofauna biomass (92%; mean = 1.0 mg C m–2; Figure 3a, Table 1). The remaining biomass was mainly attributed to nauplii (4%) and Ciliophora (3%; Figure 3a, Table 1). The secondary production of sea-ice meiofauna ranged between 0.002 and 0.06 mg m–2 day–1 (mean = 0.03 mg C m–2 day–1; Figure 2b). Most of the secondary production was attributed to Harpacticoida (84%) and Ciliophora (9%; Table 1). Estimated carbon demand of the sea-ice meiofauna varied from 0.06 to 1.5 mg C m–2 day–1 (mean = 0.7 mg C m–2 day–1) and followed the same pattern as the biomass, with Harpacticoida (81%), nauplii (9%), and Ciliophora (8%) making up the greatest part of the total sea-ice meiofauna carbon demand (Figure 2b, Table 1). Altogether their ice-algal demand was estimated at 0.6 mg C m–2 day–1 (Table 1). Except for station 27, the ice-algal demand of these taxa was lower than the ice-algal primary production (Figure 3b).
Biomass of sea-ice meiofauna (SIM) taxa and demand: Production ratios at each ice station. (a) Biomass of SIM taxa per station and (b) ratio of carbon demand of herbivorous SIM (Harpacticoida, nauplii, and Ciliophora combined) versus ice-algal primary production per station. In (b), the primary production for station 19 could not be calculated because no photosynthesis–irradiance curve was established for this station. DOI: https://doi.org/10.1525/elementa.2020.00169.f3
Biomass of sea-ice meiofauna (SIM) taxa and demand: Production ratios at each ice station. (a) Biomass of SIM taxa per station and (b) ratio of carbon demand of herbivorous SIM (Harpacticoida, nauplii, and Ciliophora combined) versus ice-algal primary production per station. In (b), the primary production for station 19 could not be calculated because no photosynthesis–irradiance curve was established for this station. DOI: https://doi.org/10.1525/elementa.2020.00169.f3
Biomass, carbon demand, and production of the under-ice biota
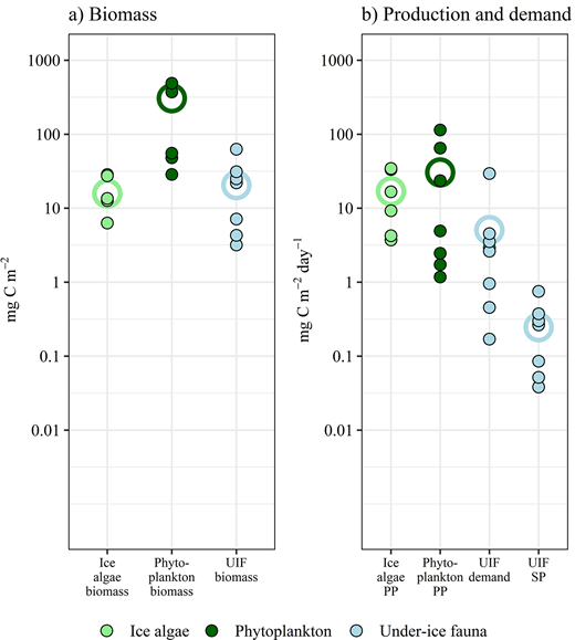
The biomass of ice algae at SUIT stations ranged between 6.3 and 28.5 mg C m–2 (mean = 17.7 mg C m–2; Figure 4a). The estimated phytoplankton biomass in the 0–2 m under-ice water ranged between 28.6 and 1,120 mg C m–2 across stations (mean = 350 mg C m–2; Figure 4a). Ice-algal primary production ranged from 3.7 to 34.5 mg C m–2 day–1 (mean = 16.9 mg C m–2 day–1; Figure 4b, Table 2). The primary production of phytoplankton ranged between 1.2 and 114 mg C m–2 day–1 (mean = 30.4 mg C m–2 day–1; Figure 4b, Table 2).
Biomass, carbon demand, and carbon production of ice algae, phytoplankton, and under-ice fauna (UIF). (a) Ice algae, phytoplankton (0–2 m depth), and UIF biomass and (b) ice algae and phytoplankton primary production, and UIF carbon demand and secondary production across 8 stations north of Svalbard in spring pack ice of 2015. Filled circles represent estimates per station; mean values are marked as unfilled circles. Note that the y-axis is log10-scaled. DOI: https://doi.org/10.1525/elementa.2020.00169.f4
Biomass, carbon demand, and carbon production of ice algae, phytoplankton, and under-ice fauna (UIF). (a) Ice algae, phytoplankton (0–2 m depth), and UIF biomass and (b) ice algae and phytoplankton primary production, and UIF carbon demand and secondary production across 8 stations north of Svalbard in spring pack ice of 2015. Filled circles represent estimates per station; mean values are marked as unfilled circles. Note that the y-axis is log10-scaled. DOI: https://doi.org/10.1525/elementa.2020.00169.f4
Mean biomass, primary production, secondary production, and carbon demand for under-ice biota at the 8 ice stations, including standard deviation (SD, n = 8), range, and relative (Rel.) share. DOI: https://doi.org/10.1525/elementa.2020.00169.t2
| . | Biomass . | Primary or Secondary Production . | Carbon Demand . | |||||||||
|---|---|---|---|---|---|---|---|---|---|---|---|---|
| Under-Ice Biota . | Mean (µg C m–2) . | SD . | Range . | Rel. (%) . | Mean (µg C m–2 day–1) . | SD . | Range . | Rel. (%) . | Mean (µg C m–2 day–1) . | SD . | Range . | Rel. (%) . |
| Primary producers | ||||||||||||
| Phytoplankton (0–2 m) | 352,000 | 423,000 | 28,600–1,120,000 | naa | 30,400 | 43,500 | 1,180–114,000 | na | na | na | na | na |
| Ice algae | 17,700 | 9,790 | 6,300–28,500 | na | 16,900 | 13,900 | 3,720–34,500 | na | na | na | na | na |
| Secondary producers (under-ice fauna) | ||||||||||||
| Tisbe Lilljeborg, 1853 spp. | <0.1 | <0.1 | 0–0.1 | <0.1 | <0.1 | <0.1 | 0–0.0 | <0.1 | <0.1 | <0.1 | 0–0.0 | <0.1 |
| Oithona Baird, 1843 sp. | <0.1 | <0.1 | 0–0.0 | <0.1 | <0.1 | <0.1 | 0–0.0 | <0.1 | 0.0 | 0.0 | 0–0.0 | <0.1 |
| Calanus hyperboreus Krøyer, 1838 | 4,390 | 5,070 | 5.1–15,800 | 19.8 | 52.6 | 60.8 | 0.1–189 | 19.8 | 560 (140)b | 634 | 1.3–1,990 | 10.0 |
| Calanus glacialis Jaschnov, 1955 | 3,120 | 2,210 | 127–5,960 | 14.0 | 37.4 | 26.5 | 1.5–71.5 | 14.0 | 448 (148)b | 299 | 15.7–758 | 8.0 |
| Calanus finmarchicus (Gunnerus, 1765) | 4,540 | 3,770 | 492–12,420 | 20.5 | 54.5 | 45.2 | 5.9–149 | 20.5 | 734 (242)b | 728 | 59.9–2,380 | 13.2 |
| Nauplii (Copepoda) | 575 | 1,510 | 0–4,310 | 2.6 | 6.9 | 18.1 | 0–51.8 | 2.6 | 144 | 378 | 0–1,080 | 2.6 |
| Paraeuchaeta Scott, 1909 spp. | 5.6 | 15.7 | 0–44.5 | <0.1 | 0.1 | 0.2 | 0–0.5 | <0.1 | 1.1 | 3.1 | 0–8.9 | <0.1 |
| Metridia longa (Lubbock, 1854) | 15.9 | 44.9 | 0–127 | 0.1 | 0.2 | 0.5 | 0–1.5 | 0.1 | 3.2 | 9.0 | 0–25.4 | 0.1 |
| Clausocalanidae Giesbrecht, 1893 | 8.7 | 18.1 | 0–52.8 | <0.1 | 0.1 | 0.2 | 0–0.6 | 0.0 | 1.7 | 3.6 | 0–10.6 | <0.1 |
| Themisto Guerin, 1825 spp. | 39.2 | 110.9 | 0–313.6 | 0.2 | 0.5 | 1.3 | 0–3.8 | 0.2 | 1.0 | 2.8 | 0–7.8 | <0.1 |
| Themisto libellula (Lichtenstein in Mandt, 1822) | 2.6 | 4.0 | 0–10.8 | <0.1 | <0.1 | <0.1 | 0–0.1 | <0.1 | 0.1 | 0.1 | 0–0.3 | <0.1 |
| Apherusa glacialis (Hansen, 1888) | 2,480 | 2,460 | 77.4–6,580 | 11.2 | 29.7 | 29.5 | 0.9–78.9 | 11.2 | 62.0 (53.3)b | 61.5 | 1.9–164 | 1.1 |
| Onisimus glacialis (G. O. Sars, 1900) | 2.9 | 8.2 | 0–23.3 | <0.1 | <0.1 | 0.1 | 0–0.3 | <0.1 | 0.1 | 0.2 | 0–0.6 | <0.1 |
| Thysanoessa longicaudata Krøyer, 1846 | 38.6 | 94.1 | 0–270 | 0.2 | 0.5 | 1.1 | 0–3.2 | 0.2 | 7.7 | 18.8 | 0–53.8 | 0.1 |
| Isopoda Latreille, 1817 | 1.6 | 4.1 | 0–11.6 | <0.1 | <0.1 | <0.1 | 0–0.1 | 0.0 | 0.3 | 0.8 | 0–2.3 | <0.1 |
| Zoaea larvae | <0.1 | 0.1 | 0–0.4 | <0.1 | <0.1 | <0.1 | 0–0.0 | <0.1 | <0.1 | <0.1 | 0–0.1 | <0.1 |
| Cirripedia Burmeister, 1834 | 17.4 | 20.2 | 0.1–59.6 | 0.1 | 0.2 | 0.2 | 0–0.7 | 0.1 | 3.5 | 4.0 | 0–11.9 | 0.1 |
| Chaetognatha not documented | 459 | 1,300 | 0–3,670 | 2.1 | 5.5 | 15.6 | 0–44.1 | 2.1 | 78.1 | 221 | 0–625 | 1.4 |
| Eukrohnia hamata (Moebius, 1875) | 1,270 | 1,490 | 0–3,640 | 5.7 | 15.3 | 17.8 | 0–43.6 | 5.7 | 217 | 253 | 0–618 | 3.9 |
| Parasagitta elegans (Verrill,1873) | 64.8 | 107 | 0–319 | 0.3 | 0.8 | 1.3 | 0–3.8 | 0.3 | 11.0 | 18.2 | 0–54.3 | 0.2 |
| Appendicularia Fol, 1874 | 5,150 | 14,600 | 0–41,200 | 23.2 | 61.8 | 175 | 0–494 | 23.2 | 3,300 (725)b | 9,320 | 0–26,400 | 59.2 |
| Osteichthyes larvae | 0.4 | 1.2 | 0–3.3 | <0.1 | <0.1 | <0.1 | 0–0.0 | <0.1 | 0.1 | 0.2 | 0–0.7 | <0.1 |
| Limacina helicina (Phipps, 1774) | 0.1 | 0.2 | 0–0.6 | <0.1 | <0.1 | <0.1 | 0–0.0 | <0.1 | <0.1 | <0.1 | 0–0.1 | <0.1 |
| Clione limacina (Phipps, 1774) | 10.9 | 30.9 | 0–87.3 | <0.1 | 0.1 | 0.4 | 0–1.1 | 0.0 | 2.2 | 6.2 | 0–17.4 | <0.1 |
| Polychaeta Grube, 1850 | <0.1 | <0.1 | 0–0.0 | <0.1 | <0.1 | <0.1 | 0–0.0 | <0.1 | <0.1 | <0.1 | 0–0.0 | <0.1 |
| Trochophora larvae | 3.11 | 7.41 | 0–21.3 | <0.1 | <0.1 | 0.1 | 0–0.3 | <0.1 | 0.6 | 1.5 | 0–4.3 | <0.1 |
| Hydrozoa Owen, 1843 | <0.1 | <0.1 | 0–0.0 | <0.1 | <0.1 | <0.1 | 0–0.0 | <0.1 | <0.1 | <0.1 | 0–0.0 | <0.1 |
| Xenacoelomorpha Philippe, Brinkmann, Copley, Moroz, Nakano, Poustka, Wallberg, Peterson & Telford, 2011 | 0.36 | 0.64 | 0–1.7 | <0.1 | <0.1 | <0.1 | 0–0.0 | <0.1 | 0.1 | 0.1 | 0–0.3 | <0.1 |
| Total | 22,200 | 19,400 | 3,180–62,700 | 100 | 266 | 233 | 38–752 | 100 | 5,570 (1,310)b | 9,750 | 170–29,400 | 100 |
| . | Biomass . | Primary or Secondary Production . | Carbon Demand . | |||||||||
|---|---|---|---|---|---|---|---|---|---|---|---|---|
| Under-Ice Biota . | Mean (µg C m–2) . | SD . | Range . | Rel. (%) . | Mean (µg C m–2 day–1) . | SD . | Range . | Rel. (%) . | Mean (µg C m–2 day–1) . | SD . | Range . | Rel. (%) . |
| Primary producers | ||||||||||||
| Phytoplankton (0–2 m) | 352,000 | 423,000 | 28,600–1,120,000 | naa | 30,400 | 43,500 | 1,180–114,000 | na | na | na | na | na |
| Ice algae | 17,700 | 9,790 | 6,300–28,500 | na | 16,900 | 13,900 | 3,720–34,500 | na | na | na | na | na |
| Secondary producers (under-ice fauna) | ||||||||||||
| Tisbe Lilljeborg, 1853 spp. | <0.1 | <0.1 | 0–0.1 | <0.1 | <0.1 | <0.1 | 0–0.0 | <0.1 | <0.1 | <0.1 | 0–0.0 | <0.1 |
| Oithona Baird, 1843 sp. | <0.1 | <0.1 | 0–0.0 | <0.1 | <0.1 | <0.1 | 0–0.0 | <0.1 | 0.0 | 0.0 | 0–0.0 | <0.1 |
| Calanus hyperboreus Krøyer, 1838 | 4,390 | 5,070 | 5.1–15,800 | 19.8 | 52.6 | 60.8 | 0.1–189 | 19.8 | 560 (140)b | 634 | 1.3–1,990 | 10.0 |
| Calanus glacialis Jaschnov, 1955 | 3,120 | 2,210 | 127–5,960 | 14.0 | 37.4 | 26.5 | 1.5–71.5 | 14.0 | 448 (148)b | 299 | 15.7–758 | 8.0 |
| Calanus finmarchicus (Gunnerus, 1765) | 4,540 | 3,770 | 492–12,420 | 20.5 | 54.5 | 45.2 | 5.9–149 | 20.5 | 734 (242)b | 728 | 59.9–2,380 | 13.2 |
| Nauplii (Copepoda) | 575 | 1,510 | 0–4,310 | 2.6 | 6.9 | 18.1 | 0–51.8 | 2.6 | 144 | 378 | 0–1,080 | 2.6 |
| Paraeuchaeta Scott, 1909 spp. | 5.6 | 15.7 | 0–44.5 | <0.1 | 0.1 | 0.2 | 0–0.5 | <0.1 | 1.1 | 3.1 | 0–8.9 | <0.1 |
| Metridia longa (Lubbock, 1854) | 15.9 | 44.9 | 0–127 | 0.1 | 0.2 | 0.5 | 0–1.5 | 0.1 | 3.2 | 9.0 | 0–25.4 | 0.1 |
| Clausocalanidae Giesbrecht, 1893 | 8.7 | 18.1 | 0–52.8 | <0.1 | 0.1 | 0.2 | 0–0.6 | 0.0 | 1.7 | 3.6 | 0–10.6 | <0.1 |
| Themisto Guerin, 1825 spp. | 39.2 | 110.9 | 0–313.6 | 0.2 | 0.5 | 1.3 | 0–3.8 | 0.2 | 1.0 | 2.8 | 0–7.8 | <0.1 |
| Themisto libellula (Lichtenstein in Mandt, 1822) | 2.6 | 4.0 | 0–10.8 | <0.1 | <0.1 | <0.1 | 0–0.1 | <0.1 | 0.1 | 0.1 | 0–0.3 | <0.1 |
| Apherusa glacialis (Hansen, 1888) | 2,480 | 2,460 | 77.4–6,580 | 11.2 | 29.7 | 29.5 | 0.9–78.9 | 11.2 | 62.0 (53.3)b | 61.5 | 1.9–164 | 1.1 |
| Onisimus glacialis (G. O. Sars, 1900) | 2.9 | 8.2 | 0–23.3 | <0.1 | <0.1 | 0.1 | 0–0.3 | <0.1 | 0.1 | 0.2 | 0–0.6 | <0.1 |
| Thysanoessa longicaudata Krøyer, 1846 | 38.6 | 94.1 | 0–270 | 0.2 | 0.5 | 1.1 | 0–3.2 | 0.2 | 7.7 | 18.8 | 0–53.8 | 0.1 |
| Isopoda Latreille, 1817 | 1.6 | 4.1 | 0–11.6 | <0.1 | <0.1 | <0.1 | 0–0.1 | 0.0 | 0.3 | 0.8 | 0–2.3 | <0.1 |
| Zoaea larvae | <0.1 | 0.1 | 0–0.4 | <0.1 | <0.1 | <0.1 | 0–0.0 | <0.1 | <0.1 | <0.1 | 0–0.1 | <0.1 |
| Cirripedia Burmeister, 1834 | 17.4 | 20.2 | 0.1–59.6 | 0.1 | 0.2 | 0.2 | 0–0.7 | 0.1 | 3.5 | 4.0 | 0–11.9 | 0.1 |
| Chaetognatha not documented | 459 | 1,300 | 0–3,670 | 2.1 | 5.5 | 15.6 | 0–44.1 | 2.1 | 78.1 | 221 | 0–625 | 1.4 |
| Eukrohnia hamata (Moebius, 1875) | 1,270 | 1,490 | 0–3,640 | 5.7 | 15.3 | 17.8 | 0–43.6 | 5.7 | 217 | 253 | 0–618 | 3.9 |
| Parasagitta elegans (Verrill,1873) | 64.8 | 107 | 0–319 | 0.3 | 0.8 | 1.3 | 0–3.8 | 0.3 | 11.0 | 18.2 | 0–54.3 | 0.2 |
| Appendicularia Fol, 1874 | 5,150 | 14,600 | 0–41,200 | 23.2 | 61.8 | 175 | 0–494 | 23.2 | 3,300 (725)b | 9,320 | 0–26,400 | 59.2 |
| Osteichthyes larvae | 0.4 | 1.2 | 0–3.3 | <0.1 | <0.1 | <0.1 | 0–0.0 | <0.1 | 0.1 | 0.2 | 0–0.7 | <0.1 |
| Limacina helicina (Phipps, 1774) | 0.1 | 0.2 | 0–0.6 | <0.1 | <0.1 | <0.1 | 0–0.0 | <0.1 | <0.1 | <0.1 | 0–0.1 | <0.1 |
| Clione limacina (Phipps, 1774) | 10.9 | 30.9 | 0–87.3 | <0.1 | 0.1 | 0.4 | 0–1.1 | 0.0 | 2.2 | 6.2 | 0–17.4 | <0.1 |
| Polychaeta Grube, 1850 | <0.1 | <0.1 | 0–0.0 | <0.1 | <0.1 | <0.1 | 0–0.0 | <0.1 | <0.1 | <0.1 | 0–0.0 | <0.1 |
| Trochophora larvae | 3.11 | 7.41 | 0–21.3 | <0.1 | <0.1 | 0.1 | 0–0.3 | <0.1 | 0.6 | 1.5 | 0–4.3 | <0.1 |
| Hydrozoa Owen, 1843 | <0.1 | <0.1 | 0–0.0 | <0.1 | <0.1 | <0.1 | 0–0.0 | <0.1 | <0.1 | <0.1 | 0–0.0 | <0.1 |
| Xenacoelomorpha Philippe, Brinkmann, Copley, Moroz, Nakano, Poustka, Wallberg, Peterson & Telford, 2011 | 0.36 | 0.64 | 0–1.7 | <0.1 | <0.1 | <0.1 | 0–0.0 | <0.1 | 0.1 | 0.1 | 0–0.3 | <0.1 |
| Total | 22,200 | 19,400 | 3,180–62,700 | 100 | 266 | 233 | 38–752 | 100 | 5,570 (1,310)b | 9,750 | 170–29,400 | 100 |
aNot applicable.
bOf that ice algae.
The biomass of under-ice fauna ranged between 3.2 and 62.7 mg C m–2 (mean = 22.2 mg C m–2; Figure 4a). The majority of the biomass was attributed to the 3 Calanus species, which had similar mean biomasses and relative contributions to the under-ice fauna (between 3.1 and 4.5 mg C m–2, and 14% and 20%; Figure 5a, Table 2). Amphipoda contributed to the total under-ice fauna biomass with a mean of 2.5 mg C m–2 and a share of 11% (Table 2). At station 32, Appendicularia were extremely abundant and made up 23% of the total under-ice fauna biomass (Figure 5a, Table 2). The combined rest of the under-ice fauna taxa including nauplii, Chaetognatha, and Euphausiacea constituted less than 12% of the biomass (Table 2). The secondary production of the under-ice fauna ranged between 0.04 and 0.75 mg C m–2 day–1 across stations (mean = 0.26 mg C m–2 day–1; Figure 4b, Table 2). Similar to the biomass, most of the secondary production was attributed to the 3 Calanus species with means ranging between 0.04 and 0.05 mg C m–2 day–1, making up 53% of the secondary production (Table 2). Appendicularia had a mean share of 23% and Amphipoda of 11% to the total secondary production (Table 2). The carbon demand of the under-ice fauna varied from 0.2 to 29.4 mg C m–2 day–1 across stations (mean = 5.6 mg C m–2 day–1; Figure 4b, Table 2). Taxa that made up most of the total carbon demand of the under-ice fauna were Appendicularia (59%), C. finmarchicus (13%), C. hyperboreus (10%), C. glacialis (8%), and Amphipoda (1%; Table 2). Jointly, their estimated mean carbon demand was 1.3 mg C m–2 day–1 for ice algae and 3.8 mg C m–2 day–1 for phytoplankton (Table 2). Their ice-algal carbon demand was always lower than the ice-algal primary production at SUIT stations (Figure 5), which was not the case for the phytoplankton carbon demand of the under-ice fauna; at station 45, that demand exceeded phytoplankton production by a factor of 1.9 (Figure 5b). The mass appearance of Appendicularia at station 32 resulted in a local peak (26.4 mg C m–2 day–1) of the herbivorous carbon demand.
Biomass of under-ice fauna (UIF) taxa and demand: Production ratios at each SUIT station. (a) Biomass of UIF taxa per station and (b) ratio of carbon demand of herbivorous UIF versus ice-algal primary production (PP) and versus phytoplankton PP per station. Ice-algal PP estimates were not available for stations 31 and 32; phytoplankton PP estimates were not available for station 32. DOI: https://doi.org/10.1525/elementa.2020.00169.f5
Biomass of under-ice fauna (UIF) taxa and demand: Production ratios at each SUIT station. (a) Biomass of UIF taxa per station and (b) ratio of carbon demand of herbivorous UIF versus ice-algal primary production (PP) and versus phytoplankton PP per station. Ice-algal PP estimates were not available for stations 31 and 32; phytoplankton PP estimates were not available for station 32. DOI: https://doi.org/10.1525/elementa.2020.00169.f5
Total biomass, carbon demand, and production of sympagic biota
Mean algal biomass (phytoplankton and ice algae combined) was estimated at 372 mg C m–2 with a primary production of 41 mg C m–2 day–1. Ice algae accounted for 27% of this production (Table 3). Mean biomass of the sympagic fauna (sea-ice meiofauna and under-ice fauna combined) was estimated at 23 mg C m–2, of which sea-ice meiofauna accounted for 5%. The carbon demand of the sympagic fauna was estimated at a mean of 6 mg C m–2 day–1, of which sea-ice meiofauna accounted for 12% (Table 3). The mean secondary production of all sympagic taxa combined was 0.3 mg C m–2 day–1, of which sea-ice meiofauna produced 9% (Table 3).
Total biomass, production, and carbon demand of sympagic biota. DOI: https://doi.org/10.1525/elementa.2020.00169.t3
| Community . | Parameter . | Concentration (mg C m–2) . | Rate (mg C m–2 day–1) . | In-Ice (%) . | Under-Ice (%) . |
|---|---|---|---|---|---|
| Primary producers | Total biomass | 372 | naa | 6 | 94 |
| Total primary production | na | 41 | 27 | 73 | |
| Secondary producers | Total biomass | 23 | na | 5 | 95 |
| Total carbon demand | na | 6 | 12 | 88 | |
| Total secondary production | na | 0.3 | 9 | 91 |
| Community . | Parameter . | Concentration (mg C m–2) . | Rate (mg C m–2 day–1) . | In-Ice (%) . | Under-Ice (%) . |
|---|---|---|---|---|---|
| Primary producers | Total biomass | 372 | naa | 6 | 94 |
| Total primary production | na | 41 | 27 | 73 | |
| Secondary producers | Total biomass | 23 | na | 5 | 95 |
| Total carbon demand | na | 6 | 12 | 88 | |
| Total secondary production | na | 0.3 | 9 | 91 |
aNot applicable.
Discussion
Primary production of sympagic algae
Since the late 1990s, phytoplankton primary production over the entire Arctic Ocean has increased by approximately 30%, mainly due to a decrease in sea-ice extent and thickness and an increased nutrient supply (Arrigo and van Dijken, 2015; Ardyna and Arrigo, 2020). In general, annual phytoplankton production tends to exceed ice-algal production in the Arctic Ocean basins and on the shelves (Wiedmann et al., 2020). To what degree ice algae contribute to primary production depends on the season, region, and prevailing ice type (Gosselin et al., 1997; Fernández-Méndez et al., 2015). In an earlier study from the central Arctic Ocean, ice algae contributed up to 57% to the primary production in summer (Gosselin et al., 1997). In contrast, in a more recent study conducted during the historical sea-ice minimum in summer 2012, ice algae contributed only up to 30% to total primary production in first-year sea ice (Fernández-Méndez et al., 2015). In our spring study (with approximately 1.5-year-old pack ice and a mean ice coverage of 65%; Ehrlich et al., 2020), 27% of the total sympagic primary production was attributed to ice algae. Our estimated ice-algal production rate (11 mg C m–2 day–1) and under-ice phytoplankton production rate (30 mg C m–2 day–1) were also well within the range of estimates from the previous summer study of Fernández-Méndez et al. (2015; ice algae 1–13 mg C m–2 day–1, phytoplankton: 0.1–60 mg C m–2 day–1). These findings indicate that carbon contributions from the sea ice might be more important than some previous studies had assumed (Dupont, 2012; Matrai et al., 2013; Assmy et al., 2017). This result is even more important when considering future model projections, which indicate further increase of ice-algal production in those areas where sea ice persists (Tedesco et al., 2019).
Estimates of primary production by ice algae, however, should be viewed with caution, as their patchy distribution might bias estimations and they show rather a snapshot in time and space (Lange et al., 2017). Some underestimation of the ice-algal primary production may have occurred in our measurements from the lowermost 10 cm of the sampled ice cores because ice algae in certain ice types may be present throughout the ice core (Horner et al., 1992). In our study, ice algae were sampled from first-year sea ice in spring, which in the Arctic typically shows no significant biomass above 10 cm from the sea-ice bottom. The effect of such a potential underestimation therefore would be minimal and not change the main conclusion of this study. Our spatially integrated SUIT-based estimates were about 4 times higher than local ice core–based measurements, confirming that large-scale variability of ice-algal primary production can significantly exceed the variability covered by local measurements (Lange et al., 2017). In our study, we could not separate effects of the sampling scale from those attributed to the different ways used to estimate primary production. However, our findings will be useful for the calibration and validation of biogeochemical models (Tedesco et al., 2019) that upscale the results to the pan Arctic and for comparison with satellite measurements (Ardyna et al., 2014).
Biomass, carbon demand, and secondary production of sympagic fauna
The estimated mean biomass of sea-ice meiofauna in our study area (1 mg C m–2) is within the range of earlier estimations from the central Arctic Ocean of <0.1–7.4 mg C m–2 (Gradinger, 1999a). However, in Gradinger (1999a), Acoela (then called Turbellaria; 27%), Crustacea (22%), Nematoda (20%), and Ciliophora (15%) dominated the biomass, whereas in our study, Harpacticoida (92%) was the most dominant taxon, followed by copepod nauplii (4%) and Ciliophora (3%). Nematoda and Acoela were neither present in the pack ice of our study nor during the 6-month long Norwegian young sea ice cruise (N-ICE2015) in the same year (Bluhm et al., 2018; Granskog et al., 2018). This absence is assumed to be a consequence of the ongoing change from a multiyear to an annual sea-ice system in this part of the Arctic Ocean (Kiko et al., 2017) and is discussed in more detail in Ehrlich et al. (2020). The transition to a taxon-depleted system may have happened in the early 2000s when Kramer (2011) found Ciliophora and Harpacticoida dominating the biomass of the sea-ice meiofauna, but also still found some Acoela and Nematoda in the ice of the central Arctic Ocean in summer.
The mean carbon demand of the sea-ice meiofauna in our study (0.7 mg C m–2 day–1) was also within the range of earlier estimates from Gradinger (1999a; <0.1–7.9 mg C m–2 day–1), though in Gradinger (1999a) protists (36%) made up the main grazing impact, whereas Harpacticoida (81%) were the main grazers in our study. This difference indicates that strong taxonomic composition changes do not necessarily affect the overall grazing pressure of sea-ice meiofauna. In the Arctic spring season, increasing daylight allows the development of a strong ice-algal bloom (Leu et al., 2015; Castellani et al., 2017), enhancing the food availability for herbivorous sea-ice meiofauna, such as Harpacticoida. Ice algae usually thrive at the bottom of the ice cover where nutrients in the underlying water are accessible. In contrast, sea-ice meiofauna of higher mobility can actively move in the brine channels, which are usually widest in the lowermost 10 cm of an ice core during the spring season. The ability of sea-ice meiofauna to take advantage of the rich ice-algal food source is therefore assumed. Earlier studies (excluding Ciliophora) suggested a negligible grazing impact of sea-ice meiofauna on the spring bloom (Nozais et al., 2001; Gradinger, 2009; Gradinger and Bluhm, 2020). While we did include Ciliophora grazing, which accounted for 8% of the mean sea-ice meiofauna carbon demand, sea-ice meiofauna still grazed only 14% of the mean ice-algal primary production. Again, our estimate may be conservative, given that the possible presence of sea-ice meiofauna higher up in the core was not considered. We had a single station where the estimated carbon demand of sea-ice meiofauna was 2.8 times higher than the ice-algal primary production (station 27). This discrepancy suggests that on a local scale, sea-ice meiofauna might have a decisive grazing impact on ice algae, which then in turn would not provide sufficient carbon for the local under-ice communities.
A recent study, using the same method to sample under-ice fauna as ours, reported a mean under-ice fauna biomass of 7 mg C m–2 in the central Arctic Ocean in autumn, dominated by the ice-associated amphipod A. glacialis and the copepod species C. glacialis and C. hyperboreus (Flores et al., 2019). In our spring study, the mean under-ice fauna biomass was 3-fold higher (22 mg C m–2) and dominated by the 3 Calanus species (C. hyperboreus, C. glacialis, and C. finmarchicus). The extremely high abundance of Appendicularia at one station elevated the biomass in our study by 5 mg C m–2. Calanus species are well known to be among the main contributors to the biomass of under-ice fauna in the Arctic Ocean (Werner, 2006). However, Appendicularia have not been reported in such high biomass directly under the sea ice in this area, though they were observed frequently in surface waters of the ice-covered Canada Basin (Raskoff et al., 2010) and locally in the Nansen Basin (David et al., 2015). In contrast to other studies from the Arctic Ocean (Werner, 2006; Flores et al., 2019), the ice amphipod A. glacialis did not dominate the sympagic biomass in this study. A. glacialis represents an important food source for other ice-associated fauna such as polar cod, seabirds, and seals (Bradstreet and Cross, 1982; Werner, 1997; Kohlbach et al., 2017) and is therefore considered as an important link for carbon transfer from lower to higher trophic levels in the Arctic marine food web. The low biomass of ice amphipods in our study is consistent with the observed decline of sympagic amphipod biomass in the European Arctic sector over the past decades (CAFF, 2017). The low abundances of A. glacialis may be related to a recent interruption of the Transpolar Drift (Krumpen et al., 2019). Assuming that A. glacialis colonizes the sea ice in waters off Siberia to drift across the central Arctic Ocean before potentially returning to the source area with deep currents (Berge et al., 2012), the increasing decay of sea ice along the Transpolar Drift may have released ice amphipods in the central Arctic basins. Thus, only low abundances were left to recolonize the newly formed ice during its drift toward our study area.
Most of the total carbon demand of the under-ice fauna (6 mg C m–2 day–1) was attributed to Appendicularia (at a single location), and the copepods C. finmarchicus, C. hyperboreus, and C. glacialis, all of which are considered to be mainly herbivorous feeders (Stevens et al., 2004). Previous studies focused in particular on the grazing impact of sympagic amphipods on ice algae (Werner and Auel, 2005; Hop and Pavlova, 2008; Kohlbach et al., 2016). However, our study estimated that the 3 Calanus species together had up to a 9 times higher ice-algal carbon demand than the amphipod A. glacialis. In addition, the patch of high Appendicularia biomass resulted in an estimated grazing impact similar to that of all Calanus spp. together. These results show how patchiness can result in a local boost of carbon demand and therefore lower algal carbon export to other trophic levels. The results also show that all dominant taxa need to be considered when determining the grazing pressure on ice algae and estimating carbon fluxes in a holistic assessment. By comparison, the mean carbon demand of the under-ice fauna in our study was one order of magnitude higher than that estimated for the central Arctic Ocean in autumn (0.3 mg C m–2 day–1; Flores et al., 2019).
As a key feeder on ice algae, C. glacialis has timed its seasonal migration and reproduction to the ice-algal bloom (Søreide et al., 2010; Leu et al., 2011). Thus, ongoing sea-ice melt may cause a mismatch between the bloom and developmental stages of C. glacialis or may cause decreasing ice-algal production on the long term as ice cover declines. Both aspects are considered to entail negative consequences for the entire Arctic marine food web. However, some studies predict a replacement of C. glacialis by the smaller (and less energy-rich) C. finmarchicus with increasing “Atlantification” of the Arctic Ocean (Bonnet et al., 2005; Richardson, 2008; Polyakov et al., 2017). The higher biomass of C. finmarchicus compared to C. glacialis in this study could indicate the hypothesized replacement. As for biomass and carbon demand, the estimated secondary production of the under-ice fauna was also one order of magnitude higher in our study (0.3 mg C m–2 day–1) compared to the study of Flores et al. (2019) in the central Arctic Ocean in autumn (0.1 mg C m–2 day–1). The seasonal population growth of copepods in our study compared to postbloom collapse and beginning seasonal migration at the end of summer (David et al., 2015) is probably a major reason for this difference.
Cryopelagic coupling
Our study is the first with a comprehensive approach to determine the trophic dependencies between the sympagic fauna and flora assemblages of the Arctic pack-ice in spring (Figure 6). By identifying the dominating biomass and demand of herbivorous key taxa, we aimed to disentangle the roles of ice algae and phytoplankton in our study area (Figure 6). Our results show that the potential demand for ice-algal carbon was one-third of that for phytoplankton, which highlights the current importance of ice algae for the survival of sympagic communities. In general, growth and successful reproduction of higher trophic levels are equally dependent on the quantity and quality of algae. Ice algae are known not only to constitute a high quality food source (Leu et al., 2011; Kohlbach et al., 2016) but also to provide Calanus spp. and other key taxa of the sympagic realm with carbon weeks before the phytoplankton bloom develops and, thus, to ensure successful reproduction (Søreide et al., 2010).
Carbon flux of sympagic biota. Estimated trophic relationships regarding carbon production, consumption, and carbon export (all values are means in mg C m–2 day–1) for the sympagic biota of the Atlantic inflow area north of Svalbard in spring. Font colors: Green indicates key taxa of this study that are considered to be mainly herbivorous (including Calanus finmarchicus, Calanus glacialis, Calanus hyperboreus, and Apherusa glacialis); red: key taxa of this study considered to be carnivorous; yellow: other taxa (including detritus as a potential carbon source) not included in this study; orange: mean production rate for the respective compartment of the sympagic biota; blue: mean ingestion of the respective consumer; and gray: estimated carbon surplus from the respective sympagic compartment, which is potentially released to the water column. Arrows point in the direction of possible carbon flux; thickness of arrows corresponds to the amount of carbon flux. PP = primary production; SP = secondary production. Photographs by Julia Ehrlich. DOI: https://doi.org/10.1525/elementa.2020.00169.f6
Carbon flux of sympagic biota. Estimated trophic relationships regarding carbon production, consumption, and carbon export (all values are means in mg C m–2 day–1) for the sympagic biota of the Atlantic inflow area north of Svalbard in spring. Font colors: Green indicates key taxa of this study that are considered to be mainly herbivorous (including Calanus finmarchicus, Calanus glacialis, Calanus hyperboreus, and Apherusa glacialis); red: key taxa of this study considered to be carnivorous; yellow: other taxa (including detritus as a potential carbon source) not included in this study; orange: mean production rate for the respective compartment of the sympagic biota; blue: mean ingestion of the respective consumer; and gray: estimated carbon surplus from the respective sympagic compartment, which is potentially released to the water column. Arrows point in the direction of possible carbon flux; thickness of arrows corresponds to the amount of carbon flux. PP = primary production; SP = secondary production. Photographs by Julia Ehrlich. DOI: https://doi.org/10.1525/elementa.2020.00169.f6
Our study shows that sympagic herbivores do not have the potential to control ice-algal production or phytoplankton production in the Arctic spring (Figure 6). Thus, a surplus of approximately 9.1 mg C m–2 day–1 of ice-algal carbon and 26.2 mg C m–2 day–1 of (under-ice) phytoplankton carbon could potentially sink to the pelagic and benthic habitats to provide carbon for the deeper living communities. The pelagic grazers sampled in the under-ice habitat (especially Calanus spp.), however, constituted only a fraction of their total population in the upper 100 m, which is in constant exchange with the under-ice environment. This exchange implies that a large proportion of the remaining algal production is probably consumed in the epipelagic layer, before sinking into even deeper layers.
A different pattern was apparent for the carnivorous sympagic fauna in that estimated carbon demand was barely covered by sympagic secondary production. This finding could indicate that the sea-ice habitat is characterized by high competition for prey and that predators may control secondary production in the under-ice water layer. Under-ice predators possibly also fed on microzooplankton (Verity et al., 2002), which was not efficiently caught with the 300-µm net of the SUIT and is therefore underestimated in our secondary production calculations. Furthermore, we assume that most carnivores (Chaetognatha, Themisto spp.) are vertically mobile and cover a part of their carbon demand from deeper-dwelling prey. Polar cod (B. saida) is an important predator (David et al., 2016) that is not considered in this study. Young polar cod inhabit the under-ice water layer and feed on A. glacialis, Calanus spp., and the harpacticoid Tisbe spp. (Kohlbach et al., 2017). During the sampling for the present study, polar cod were caught in low numbers with the larger 7-mm (half-mesh) SUIT net (data not shown) but appear to be underestimated in the catches (David et al., 2016). Therefore, an unknown but likely significant additional carbon demand of this species would need to be added to the carbon budget.
Conclusions
Putting together a carbon budget that compiles the biomass, carbon demand, and production of sympagic biota shows that our estimates essentially match the 10% law of transfer of energy from one trophic level to another (Lindeman, 1942). The amount of sympagic primary production in Arctic spring was more than sufficient to cover the carbon demand of the herbivorous sympagic fauna both in and under Arctic pack ice. Under-ice fauna was the main contributor to the cryo-pelagic carbon flux, whereas the contribution of sea-ice meiofauna was low. The 3 Calanus species (C. finmarchicus, C. glacialis, and C. hyperboreus) dominated the grazing impact under the ice both on ice algae and phytoplankton. Our quantitative assessment supports the notion that the 3 Calanus species are key drivers of the Arctic marine ecosystem, transferring energy-rich lipid compounds and essential fatty acids to higher trophic levels. As these species rely on ice algae as food source besides phytoplankton (Kohlbach et al., 2016), the predicted sea-ice loss and with it the decrease of ice algae will lead to a shift in carbon sources for these herbivorous taxa. Phytoplankton production may help to offset potential decreases of ice-algal production to a certain extent. However, a restriction of the ice-algal bloom would also increase the probability of a mismatch between food availability and ontogenetic development, particularly for C. glacialis. The secondary production of the sympagic fauna was barely sufficient to support the carbon demand of carnivorous under-ice taxa. Subsequently, predators might move into deeper realms to fulfill their carbon demands. Our results show the importance of the under-ice fauna, particularly in controlling the carbon flux from the sea ice to deeper living communities.
Data accessibility statement
The datasets generated for this study are available on the PANGAEA database: https://doi.org/10.1594/PANGAEA.931610
Supplemental files
The supplemental files for this article can be found as follows:
Table S1. Carbon content, mass-specific ingestion rate, and trophic type for all taxa of sea-ice meiofauna (docx).
Table S2. Carbon content, mass specific ingestion rate, and trophic type for all taxa of under-ice fauna (docx).
Acknowledgments
We thank the Captain and crew of the Polarstern expedition PS92 for their support and guidance with work at sea. We thank Michiel van Dorssen and André Meijboom for their great help during the fieldwork. The Surface and Under-Ice Trawl for this study was kindly provided by Jan Andries van Franeker. We acknowledge support by the Open Access Publication Funds of Alfred-Wegener-Institut Helmholtz-Zentrum für Polar- und Meeresforschung.
Funding
JE was funded by the national scholarships “Promotionsstipendium nach dem Hamburger Nachwuchsfördergesetz (HmbNFG)” and “Gleichstellungsfond 2017 (4-GLF-2017),” both granted by the University of Hamburg. The German Academic Exchange Service (DAAD) and the graduate school “POLMAR” at Alfred Wegener Institute Bremerhaven supported JE’s visit at The Arctic University of Norway’s Institute of Arctic and Marine Biology. BAB’s contribution was under the framework of the Arctic Seasonal Ice Zone Ecology project, cofunded by UiT The Arctic University of Norway and the Tromsø Research Foundation (Project Number 01vm/h15). IP, JE, GC, and HF were funded by the Polar Regions and Coasts in a Changing Earth System program of the Helmholtz Association and the expedition Grant No. AWI_PS92_00 and the program-oriented research Period 4 (POF4) Earth and Environment fund of the Helmholtz association. HF, JE, and GC were part of the Helmholtz Association Young Investigators Groups Iceflux: Ice-ecosystem carbon flux in polar oceans (VH-NG-800). GC is currently funded by the project EcoLight (03V01465) as part of the joint NERC/BMBF program Changing Arctic Ocean. FLS received support from The Netherlands Ministry of Agriculture, Nature and Food Quality (LNV) under its Statutory Research Task Nature and Environment WOT-04-009-047.04. The Netherlands Polar Programme, managed by the Dutch Research Council (NWO), funded this research under project nr. ALW 866.13.009. AB work is funded by the Leibnitz Association.
Competing interests
The authors declare that the research was conducted in the absence of any commercial or financial relationships that could be construed as a potential conflict of interest.
Author contributions
JE, HF, AB, and BAB designed the study. HF, FLS, GC, and IP conducted the field work and sample collection. JE and BAB analyzed the meiofauna samples. JE and FLS analyzed the under-ice fauna samples. IP determined the chlorophyll a concentration in the sea-ice samples. GC modeled chl a concentration in the ice and the 0–2 water column for all Surface and Under-Ice Trawl stations. JE calculated the biomass of ice-algae and phytoplankton for all stations. PM calculated the primary production of ice algae and phytoplankton for all stations. JE calculated the biomass, carbon demand, and secondary production of sea-ice meiofauna and under-ice fauna for all stations. JE analyzed the data, wrote the article, and prepared all figures and tables. JE, BAB, HF, and IP contributed to data interpretation. All authors contributed to the article and approved its submission.
References
How to cite this article: Ehrlich, J, Bluhm, BA, Peeken, I, Massicotte, P, Schaafsma, FL, Castellani, G, Brandt, A, Flores, H. 2021. Sea-ice associated carbon flux in Arctic spring. Elementa: Science of the Anthropocene 9(1). DOI: https://doi.org/10.1525/elementa.2020.00169
Domain Editor-in-Chief: Jody W. Deming, University of Washington, Seattle, WA, USA
Associate Editor: Jean-Éric Tremblay, Department of Biology, Université Laval, Québec City, Québec, Canada
Knowledge Domain: Ocean Science
Part of an Elementa Special Feature: Insights into Biogeochemical Exchange Processes at Sea Ice Interfaces (BEPSII-2)





