The urban landscape is being transformed formally and informally to increase production and access to locally sourced produce. Although cultivation of urban produce lowers the carbon footprint of food production by removing transportation to market, there is a lack of studies that investigate both toxic element profiles and nutrient content of produce in these nontraditional settings. In this study, we examined the lead (Pb) content and essential nutrient profiles of fruit harvested from the Greater Boston urban landscape in settings ranging from city streets to urban parks to residential and commercial properties. Partnering with League of Urban Canners, a local urban harvesting organization, we created, followed, and assessed a modified participatory action research model that we call the flashlight model. Fruit samples were analyzed using X-ray fluorescence, a novel, environmentally sustainable, and economically feasible method to investigate the elemental composition of produce. Results indicated that on a fresh weight basis, averages for all urban fruit harvested in this study (with the exception of urban apples) had lead concentrations ([Pb]) below the maximum limit set by the European Commission. Daily Pb intake from consuming a serving of urban fruit was comparable to daily Pb exposure from drinking water at the maximum contaminant level. Across a suite of plant nutrients (including calcium, potassium, magnesium, phosphorus, copper, iron, manganese, and zinc), urban harvested apples and pears were 19% enriched on average compared to market samples. This study suggests that urban fruit and public produce in general could be further developed to facilitate science-based community transformations, as well as supporting the consumption of locally sourced, nutrient-rich produce and promoting food sovereignty.
Introduction
Harvesting fruit from the urban landscape has been increasing in recent years (Clark and Nicholas, 2013; Colinas et al., 2018). Compared to research focused on vegetables grown in urban gardens (Clark et al., 2006; Paltseva et al., 2020), there is limited data on the potential links between the consumption of urban grown fruit and lead (Pb) exposure. Various groups across the United States of America, including Portland Fruit Tree Project, City Fruit (Seattle), Village Harvest (San Francisco), and the metro Boston-based League of Urban Canners (LUrC), have missions to increase access to fresh seasonal fruit, decrease food waste, and improve food sovereignty. Urban fruit trees can provide nutritious local produce at a low cost to harvesters in addition to sequestering carbon and improving air quality (Clark and Nicholas, 2013). One proposed planting scenario in a study conducted in Burlington, VT, would produce enough fruit to provide the minimum recommended fruit intake for the entire population of the city, therefore increasing food security for city residents (Clark and Nicholas, 2013). Public produce is a pooled common good that is distinct from other forms of urban agriculture in that it is sustainable, climate appropriate, and not always formally managed. It also has the potential to increase social capital, food systems knowledge, place attachment, and pro-environmental behavior at a community level (Colinas et al., 2018).
Due to a rise in urban agriculture, research has investigated concentrations and mobility of Pb in produce grown in contaminated urban soils (Clark et al., 2006, 2008; Fitzstevens et al., 2017; Sharp and Brabander, 2017; Egendorf et al., 2018; Laidlaw et al., 2018; Paltseva et al., 2020). Urban soils have a persistent legacy of Pb contamination from the historic use of leaded gasoline and Pb-based paint (Mielke and Reagan, 1998; Mielke et al., 1999; Clark et al., 2006; Clark et al., 2008). Pb is a neurotoxin, and its transport in the urban setting from resuspended soils is a public health risk, particularly for children under the age of 5 (Filippelli et al., 2005; Clark et al., 2008; Handler and Brabander, 2012; Zahran et al., 2013). We aimed to investigate geochemical element profiles of urban fruit to characterize any potential health risks associated with this historic Pb contamination.
Although urban-grown fruit could be a potential source of Pb exposure, it can also be a source of nutritious noncommercial produce. The dilution hypothesis suggests that nutrient concentrations in commercial produce have declined over time, which may be linked with increasing yield (Davis et al., 2004; Davis, 2009) and changing fertilization practices (White and Broadley, 2005; Ekholm et al., 2007). Based on conversations with members of the Greater Boston gleaning community, these standardized commercial practices are not used on urban fruit trees, which are often stand-alone and not maintained with the goal of maximizing yield. Urban trees in a controlled study have also been shown to have double the biomass production of rural trees since they are exposed to lower ozone concentrations and experience high wet deposition of many essential nutrients (calcium [Ca], magnesium [Mg], and NH4+; Gregg et al., 2003). The unique and noncommercial urban growing setting of the trees in our study provides a new point of comparison for the dilution hypothesis, bridging the gap between historic and commercial fruit.
Although previous research explores the health risks and benefits of fruit grown in urban areas (Larsen et al., 2002; Samsøe-Petersen et al., 2002; Säumel et al., 2012; McBride et al., 2014; von Hoffen and Säumel 2014; Hassan et al., 2017; Nowakowska et al., 2017), these studies were not driven by partnerships with local practitioners. Our study aims to fill this gap as well as broaden best practices to reframe community-based research beyond existing participatory action research (PAR) and community science approaches.
Unlike citizen or “helicopter” science, which is driven by academic principal investigators' recruitment of participants, community science engages with community partners throughout the research process, promoting shared ownership (Balazs and Morello-Frosch, 2013). PAR addresses the needs and goals of both researchers and community members while taking action toward change (Bacon et al., 2005). Important principles include building collaborative relationships and trust with community members (Christopher et al., 2008), constant reflection, and community action (Smith et al., 1993; Bacon et al., 2005). Although existing models of community-based research center local stakeholders, they can privilege academic expertise and often do not engage with broader planning or policy contexts.
The goals of this study include working collaboratively with our community partners through an intentional and action-oriented research paradigm to develop a method to analyze elemental concentrations in fruit, assess Pb and nutrient concentrations, and communicate findings with academics, practitioners, and community members. We developed an analytical methodology using X-ray fluorescence (XRF) that is readily transferable to other partnerships between academic institutions and community organizations. This methodology is used to measure Pb and nutrient (Ca, potassium [K], Mg, phosphorus [P], copper [Cu], iron [Fe], manganese [Mn], and zinc [Zn]) concentrations in urban and market fruit. Results from this analysis are used to estimate Pb exposure risk associated with the consumption of urban fruit. Our flashlight model allowed for collaborative development of best practices that foster the utilization of public produce as part of an initiative to create pathways to sourcing local, sustainable produce in urban settings.
Methods
PAR and flashlight model design
Our study began when a member of the LUrC presented with elevated blood lead levels (BLLs), leading to concern about potential Pb contamination in urban fruit. Members of LUrC reached out to our lab due to our prior engagement in community-centered urban agriculture research. We developed the flashlight model, a novel grassroots approach that blends PAR with community science (Figure 1). With LUrC, we designed a study that addressed their concern, focusing on urban fruit trees throughout the Greater Boston region. The flashlight model incorporates practices from existing research methods but also engages various stakeholders at each stage of the process. Similar to PAR, practitioners and community members identify a public health concern or opportunity and remain engaged during the entire research process. Scientists enter the system to develop analytical methods and conduct research that addresses community members’ questions and look for ways to connect with other decision makers and stakeholders in the system. A critical part of the model is communication and feedback among researchers and community members in varied and accessible ways. The flashlight model shines light on a wider range of both actors and audiences to instigate systemic community transformation.
The flashlight model showing research methods, stakeholders, and their points of entry. Practitioners identify the concern and partner with an academic lab to generate questions, conduct research, and communicate with city planners to impact the greater local community. This research method can result in additional outcomes and benefits, including serendipitous science, meaning unexpected opportunities for hypothesis-driven research. The increase in area of each wedge illustrates that the number of stakeholders increases over time.
The flashlight model showing research methods, stakeholders, and their points of entry. Practitioners identify the concern and partner with an academic lab to generate questions, conduct research, and communicate with city planners to impact the greater local community. This research method can result in additional outcomes and benefits, including serendipitous science, meaning unexpected opportunities for hypothesis-driven research. The increase in area of each wedge illustrates that the number of stakeholders increases over time.
A goal from the outset was to incorporate the research questions and concerns of the LUrC, inform evolving practices around growing and harvesting public produce, and conduct hypothesis-driven applied science. This required a unique approach, one that included constant communication with LUrC leaders and members. This was achieved through the creation of infographics (Figure S1) to present data and findings, as well as meetings between interested LUrC members and researchers. These meetings allowed community members to ask questions, communicate concerns, and guide next steps. These conversations brought to light the many citywide planning implications of our research and prompted engagement with interested stakeholders.
Sample collection and preparation
Over the past 5 years, LUrC (n.d.) has harvested over 1,800 kg per year of fresh fruit, including apples, pears, cherries, peaches, and plums from across the Greater Boston Area. Since 2014, the members of LUrC have provided us with 179 samples of fruit from Boston, Cambridge, and Somerville, MA (Figure 2A). From these samples, 54 apples, cherries, and pears were analyzed. These three fruit types were chosen for analysis as they are the most common types of fruit sampled by the members of LUrC. Samples were also selected based on having adequate volume for analysis. Samples were collected by the members of LUrC as part of their harvesting routine, based on their use patterns and local knowledge. Members then shared a portion of their harvest with us. Typically, samples included two to four pieces of fruit, which were stored in plastic bags, labeled with tree location, and transported on ice. Once received in the lab, samples were catalogued and frozen whole until analysis. Six market pears and six market apples were purchased from nearby supermarkets, catalogued, frozen, and analyzed for comparison. All samples included skins and were unwashed in order to take a complete inventory of any potential contaminants upon analysis and to take into account community partner’s practices (e.g., eating unwashed fruit while harvesting). To prepare for analysis, samples were diced and defrosted for 20 min in a low temperature oven (60 °C). The defrosted samples were then blended using a stainless-steel stick blender, poured into three XRF sample cups with 4-µm mylar film windows, and dehydrated in an oven at 60 °C to constant mass. XRF sample cups were massed daily until they reached a constant mass. The average change in mass for each fruit type during the drying period was used to calculate the percentage of water in each sample type. This percentage was then used to convert between fresh weight (FW) and dry weight (DW) concentrations.
(A–E) Map of urban fruit samples and types of settings in which fruit can be harvested. (A) Map representing the locations of fruit trees and soil samples in Boston, Cambridge, and Somerville, with MassDOT roads and open space. Analyzed samples are marked with an “x.” (B–E) highlight the variety of settings for urban fruit from (B) along roadsides, (C) urban farms growing multiple types of produce (collards and apples), (D) historic properties with antique mini-orchards, and (E) street corners (with two members of the League of Urban Canners).
(A–E) Map of urban fruit samples and types of settings in which fruit can be harvested. (A) Map representing the locations of fruit trees and soil samples in Boston, Cambridge, and Somerville, with MassDOT roads and open space. Analyzed samples are marked with an “x.” (B–E) highlight the variety of settings for urban fruit from (B) along roadsides, (C) urban farms growing multiple types of produce (collards and apples), (D) historic properties with antique mini-orchards, and (E) street corners (with two members of the League of Urban Canners).
Six surface soil samples were collected below fruit trees from which fruit samples were also analyzed in four locations with distinct land uses. Prior research on Pb in Boston has shown unique geochemical fingerprints of soils in urban gardens (Clark et al., 2006), residential yards, parking lots, and parks (Carter-Thomas and Brabander, 2009). We selected our sampling sites with the goal of representing a cross section of soil types and metal concentrations to investigate soil resuspension and/or root uptake. Soils were sampled from an orchard associated with a historic landmark, a high-traffic roadway median, an urban park, and a residential yard (Figure 2B–E). Soil was ground using a Spex CertiPrep 8000 M Mixer/Mill and made into three sample cups each with 4-µm film windows and at least 4 g of soil.
XRF analysis
Fruit samples were analyzed using portable energy dispersive XRF (pED-XRF; Spectro Xepos, Spectro Analytical, Kleve, Germany) under vacuum conditions to measure Pb, Ca, K, Mg, P, Cu, Fe, Mn, and Zn. It has been shown that measuring elemental concentrations in fruit using ED-XRF yields measured concentrations with similar accuracy to neutron activation analysis and atomic absorption spectrometry (AAS) as well as percentage recovery above 90 for a standard reference material 1548a (Syahfitri et al., 2017). Our novel pED-XRF method is easily implemented and more environmentally sustainable than methods requiring gamma counting facilities or strong oxidizing reagents, while still able to measure relevant concentrations of legacy metals and nutrients in fruit. Soil samples were analyzed using a pED-XRF run under a helium atmosphere, which is a commonly used method to analyze elemental concentrations in soils (Clark et al., 2008; Sharp and Brabander, 2017).
XRF accuracy, precision, and statistical analysis
Both soil and fruit samples were bracketed with National Institute of Standards and Technology (NIST) 1515 and 2709 standard reference materials. These matrix similar standards, which were selected because they contain similar concentrations of the elements of interest and overall similar average atomic number to the samples analyzed, were monitored during the course of study. The NIST 1515 (apple leaf) standard was analyzed 23 times. Thirteen percent of NIST 1515 analyses were reported to have [Pb] below the limit of detection (LOD) and were excluded from reported averages. The average measured value was 0.60 μg/g (±0.14 standard deviation [SD]). The accepted value for NIST 1515 is 0.47 μg/g (±0.02 SD), so all fruit concentrations were corrected to correspond with our measured assessment of the NIST standard. Similarly, all nutrient concentrations were corrected using correction factors calculated from NIST 1515 measurements. The NIST 2709 (San Joaquin Soil) standard was analyzed 24 times during the course of analysis. The accepted [Pb] in this standard is 17.3 μg/g (±0.01 SD). The average measured value was 20.6 μg/g (±1.1 SD). All soil sample concentrations were adjusted using a correction factor of 0.84 based on soil matrix NIST 2709 analysis. A two-way analysis of variance (ANOVA) test was conducted to compare [Pb] in market and urban fruit (excluding cherries).
Inductively coupled plasma (ICP) analysis of aqueous samples
The pH of cherry juice was measured from two urban cherry samples that had the highest [Pb] measured by pED-XRF. The samples were defrosted and the cherry juice was syringe filtered through a 0.45-µm filter. These two urban cherry samples were analyzed using ICP-optical emission spectrometry (Perkin Elmer Optima 7200 DV) by extracting 2.0 mL of juice syringe filtered through a 0.25-µm filter (Pall Acrodisc) and diluted with 10.0 mL of 2% nitric acid.
Risk assessment
We estimated Pb exposure from the consumption of one recommended serving size of fruit using measured [Pb] (DW). We converted DW to FW [Pb] using the average percentage of water that was lost when samples were dried (80.5% for urban apples, 80.3% for urban pears, 82.8% for urban cherries, 82.1% for market apples, and 82.0% for market pears). We then scaled this value up to one serving of fruit (138-g apples, 166-g pears, and 73-g cherries; U.S. Department of Agriculture, 1998) with the following series of equations:
We compared the calculated Pb consumed in a serving of urban fruit to the Pb consumed daily from U.S. federal drinking water at the action level or maximum contaminant level (MCL) of 15 ng/g of Pb (Equation 2; Environmental Protection Agency [EPA], 1995). According to the Food and Nutrition Board (2005), 91 oz of water is the daily recommendation for women and 50 oz of water is recommended for children 5–8 years old.
Results
Elemental analysis
The average [Pb] measured in soil from beneath six trees was 344 μg/g with an SD of 270 μg/g, affirming that soil Pb in urban settings is heterogeneous. Table 1 summarizes the pED-XRF data for all urban and market fruit analyzed (concentrations have been corrected to NIST 1515). Averages and SDs are reported for Pb and the nutrients Ca, K, Mg, P, Cu, Fe, Mn, and Zn. SDs were calculated using the aliquots of each sample, and the mean of those SDs was then reported as the SD for that fruit type. Market pear aliquots often had [Pb] below the LOD, so the SD could not be calculated in this way. The SD for market pears was reported as 0.2 μg/g, which is the mean value of the SDs for [Pb] in all other fruit types.
Lead (Pb) and nutrient concentrations in urban and market fruit measured by X-ray fluorescence.
| Fruit Type . | Ca . | K . | Mg . | P . | Cu . | Fe . | Mn . | Zn . | Pb . |
|---|---|---|---|---|---|---|---|---|---|
| Urban apples (n = 18) | 402 ± 50 | 8,537 ± 882 | 580 ± 91 | 798 ± 131 | 3.7 ± 0.4 | 33.9 ± 7.4 | 4.4 ± 1.6 | 2.2 ± 0.4 | 0.5 ± 0.3 |
| Market apples (n = 6) | 459 ± 123 | 7,969 ± 854 | 609 ± 129 | 786 ± 165 | 3.4 ± 0.4 | 28.6 ± 5.2 | 4.6 ± 1.3 | 2.4 ± 0.4 | 0.3 ± 0.1 |
| Urban pears (n = 19) | 937 ± 156 | 7,489 ± 581 | 629 ± 85 | 762 ± 98 | 4.8 ± 0.4 | 27.8 ± 2.2 | 4.8 ± 1.3 | 7.4 ± 0.5 | 0.4 ± 0.1 |
| Market pears (n = 6) | 401 ± 87 | 6,287 ± 398 | 562 ± 171 | 638 ± 29 | 4.1 ± 0.1 | 21.4 ± 1.0 | 3.7 ± 0.9 | 5.7 ± 0.7 | 0.3 ± 0.2 |
| Urban cherries (n = 17) | 1,546 ± 216 | 19,912 ± 2,487 | 1,373 ± 216 | 2,131 ± 352 | 6.5 ± 1.0 | 52.2 ± 8.2 | 9.3 ± 2.3 | 7.9 ± 1.0 | 0.5 ± 0.1 |
| Fruit Type . | Ca . | K . | Mg . | P . | Cu . | Fe . | Mn . | Zn . | Pb . |
|---|---|---|---|---|---|---|---|---|---|
| Urban apples (n = 18) | 402 ± 50 | 8,537 ± 882 | 580 ± 91 | 798 ± 131 | 3.7 ± 0.4 | 33.9 ± 7.4 | 4.4 ± 1.6 | 2.2 ± 0.4 | 0.5 ± 0.3 |
| Market apples (n = 6) | 459 ± 123 | 7,969 ± 854 | 609 ± 129 | 786 ± 165 | 3.4 ± 0.4 | 28.6 ± 5.2 | 4.6 ± 1.3 | 2.4 ± 0.4 | 0.3 ± 0.1 |
| Urban pears (n = 19) | 937 ± 156 | 7,489 ± 581 | 629 ± 85 | 762 ± 98 | 4.8 ± 0.4 | 27.8 ± 2.2 | 4.8 ± 1.3 | 7.4 ± 0.5 | 0.4 ± 0.1 |
| Market pears (n = 6) | 401 ± 87 | 6,287 ± 398 | 562 ± 171 | 638 ± 29 | 4.1 ± 0.1 | 21.4 ± 1.0 | 3.7 ± 0.9 | 5.7 ± 0.7 | 0.3 ± 0.2 |
| Urban cherries (n = 17) | 1,546 ± 216 | 19,912 ± 2,487 | 1,373 ± 216 | 2,131 ± 352 | 6.5 ± 1.0 | 52.2 ± 8.2 | 9.3 ± 2.3 | 7.9 ± 1.0 | 0.5 ± 0.1 |
All concentrations are reported in (μg/g) dry weight.
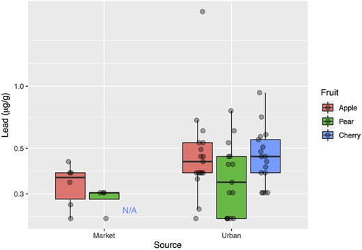
To contextualize the concentrations measured in urban fruit, we compared [Pb] in urban fruit with market fruit (Figure 3). The urban fruit Pb concentrations display a broader distribution around the mean than the market samples. For all sample distributions across fruit types, there is overlap within the 75th percentile around the mean. A two-way ANOVA test was conducted to compare market fruit with urban fruit (cherries were excluded). This produced a P value of 0.06, and therefore, the difference between market and urban [Pb] can be considered marginally significant, with urban fruit containing higher [Pb] on average.
Box plot of log transformed [Pb] (dry weight) in urban and market fruit. Bold lines represent mean values and the box range is the 75th percentile. All presented sample concentrations have been corrected to the accepted National Institute of Standards and Technology 1515 (apple leaf) value. Average Pb concentrations for each sample are jittered in order to display the entire data set used to construct the box plot.
Box plot of log transformed [Pb] (dry weight) in urban and market fruit. Bold lines represent mean values and the box range is the 75th percentile. All presented sample concentrations have been corrected to the accepted National Institute of Standards and Technology 1515 (apple leaf) value. Average Pb concentrations for each sample are jittered in order to display the entire data set used to construct the box plot.
There is no U.S. standard or guideline for [Pb] in fruit; however, there is an European Union (EU) guideline of 0.1 μg/g for fruit and 0.2 μg/g for small fruits (FW; EC Commission, 2006). Per the regulatory guidelines, we have applied the limit of 0.1 μg/g for apples and pears and the limit of 0.2 μg/g for cherries. When converted to FW concentrations, fruit [Pb] measured in this study all fall below the EU regulations, with the exception of urban apples (Figure 4).
Fresh weight [Pb] in urban and market samples. Error bars represent standard deviations. [Pb] in market apples is 43% lower than urban apples, and market pears are 32% lower than urban pears. Averages for all samples, except for urban apples, were below the European Commission Regulation for allowable lead content in fruit (0.1 μg/g) and small fruit (0.2 μg/g; EC Commission, 2006).
Fresh weight [Pb] in urban and market samples. Error bars represent standard deviations. [Pb] in market apples is 43% lower than urban apples, and market pears are 32% lower than urban pears. Averages for all samples, except for urban apples, were below the European Commission Regulation for allowable lead content in fruit (0.1 μg/g) and small fruit (0.2 μg/g; EC Commission, 2006).
The measured [Pb] of the two urban cherry juice samples analyzed by ICP are 0.011 μg/g and 0.007 μg/g. The bulk [Pb] in the same samples measured with XEPOS (DW) were both 0.20 μg/g. Although pH values measured ranged from 3.13 to 3.23, which would favor increased Pb solubility, this was not observed.
Exposure estimates
We estimated Pb exposure from the consumption of one recommended serving size using measured [Pb] converted into FW (Table 2). One serving size of urban apple contains 13.5 µg of Pb, which, for adult women, is 35% of the Pb associated with the daily recommended water consumption with [Pb] at the MCL. In contrast at the lower bound, one serving size of urban cherries contains 6.3 µg of Pb, which, for women, is 16% of the Pb associated with the consumption of daily recommended water with [Pb] at the MCL.
Lead exposure estimates for one serving of fruit compared to consumption of drinking water at maximum contaminant level (MCL).
| Fruit Type (Serving Size) . | Urban Apple (138 g) . | Market Apple (138 g) . | Urban Pear (166 g) . | Market Pear (166 g) . | Urban Cherry (73 g) . |
|---|---|---|---|---|---|
| [Pb] consumed daily from one serving fruit (μg) | 13.5 | 7.4 | 13.0 | 9.0 | 6.3 |
| Comparable dose of water at MCL (adult daily water consumption) | 35% | 19% | 33% | 23% | 16% |
| Comparable dose of water at MCL (child daily water consumption) | 63% | 35% | 62% | 42% | 30% |
| Fruit Type (Serving Size) . | Urban Apple (138 g) . | Market Apple (138 g) . | Urban Pear (166 g) . | Market Pear (166 g) . | Urban Cherry (73 g) . |
|---|---|---|---|---|---|
| [Pb] consumed daily from one serving fruit (μg) | 13.5 | 7.4 | 13.0 | 9.0 | 6.3 |
| Comparable dose of water at MCL (adult daily water consumption) | 35% | 19% | 33% | 23% | 16% |
| Comparable dose of water at MCL (child daily water consumption) | 63% | 35% | 62% | 42% | 30% |
Lead consumed daily from fruit is expressed as a percentage of lead consumed daily from drinking water.
Discussion
In this discussion, we reflect on the unique attributes of our flashlight model and highlight some of the outcomes enabled by this study design. We then summarize the existing literature on [Pb] in fruit, since Pb is the most common element of concern in urban grown produce. Using existing literature and our own analysis, we evaluate potential Pb exposure pathways. To contextualize [Pb] in fruit, we present a diet-based basic exposure model that compares [Pb] in fruit with Pb doses present in drinking water. Because our analytical method does not measure organic compounds, we consider the potential for other nonmetal contaminants. We discuss implications of elevated nutrient concentrations in urban fruit. Finally, we explore how the consumption of urban public produce might reduce the risk of Fe deficiencies while increasing social capital and providing increased food security in city centers that are often described as food deserts.
Evaluation of the flashlight model
An important aspect of both community science and PAR is reflection on and evaluation of the process (Bacon et al., 2005; Balazs and Morello-Frosch, 2013). Balazs and Morello-Frosch (2013) discuss that engaging in community science improves the rigor, relevance, and reach of science. Using this framework, we reflect on our flashlight model, considering the ways in which our study addresses these “three Rs.”
The research question of this study is relevant to the urban gleaning community, since this collaboration was initiated by LUrC due to concerns regarding elevated BLLs of one harvester. One of the unanticipated outcomes of engaging with community partners and city policy makers was the opportunity for serendipitous science to evolve. Although the flashlight model is not inherently conceptualized as hypothesis-driven research, the community science data sets that emerge can enable contribution to greater scientific discourse, a concept we call serendipitous science. Through data collection and analysis aimed at addressing a specific community concern, we are now able to engage in a wider conversation about the controversial dilution hypothesis that suggests that the nutrient content of fresh produce has declined over the past 50 years.
We were able to increase the reach of our results by disseminating findings in a wide range of formats. We attended open house events to get to know community members and held open meetings to review our data. We also created infographics for community members that included maps, photos, graphs, and summaries of preliminary results (Figure S1a and 1b). Our results were discussed thoroughly with LUrC members and city planners. Collaboratively, we took our knowledge as scientists and practitioners to city planners, including the Cambridge Food and Fitness Policy Council. Finally, we were able to communicate with larger, nonacademic audiences through interviews with media outlets including the Boston Globe and National Public Radio (English, 2015; Rath, 2015).
Rigorous science should also be accessible science in the context of the flashlight model, ideally using a “just right” analytical approach rather than using exclusive highest precision techniques. A major part of this study was creating a new and accessible method in order to answer our unique research question. Our XRF methodology as well as our exposure estimates and contextualization targeted the specific concerns of the community in a scientifically valid way. The outreach and dissemination of findings to a wide audience of stakeholders and decision makers highlight that this analytical method was able to spark community-wide dialogue.
Limitations of the flashlight model’s approach to community engagement include that the process can be time-consuming, particularly building and maintaining networks of trust among stakeholders. Additionally, funding can be difficult to secure due to the necessity of constant adaptation to scientific questions based on shifting community needs. However, this approach does provide an emerging model for engaging in systemic community-level transformation.
Evaluation of Pb analyses in fruit
Various studies ranging across 37° of latitude have also attempted to measure [Pb] in public produce using various methods including ICP, XRF, and AAS (Table 3). These studies report consistently low [Pb] with concentrations ranging from <0.06 to 6.7 μg/g and averages less than 1 μg/g (FW).
Literature summary of [Pb] in urban and market fruit.
| Author (Year Published) . | Study Location . | Analytical Method . | Fruit Type . | Average [Pb] (μg/g) . | Maximum [Pb] (μg/g) . | Soil Comparison . |
|---|---|---|---|---|---|---|
| Larsen et al. (2002) | Denmark | AAS | Apple | <0.006 FW | Not reported | Did not compare with soil data |
| Black currant | 0.018 FW | |||||
| Cherry | <0.008 FW | |||||
| Elderberry | 0.025 FW | |||||
| Gooseberry | <0.006 FW | |||||
| Pear | <0.008 FW | |||||
| Plum | <0.008 FW | |||||
| Raspberry | 0.008 FW | |||||
| Red currant | 0.012 FW | |||||
| Samsøe-Petersen et al. (2002) | Denmark | Inductively coupled plasma mass spectrometry (ICP-MS) | Pear | 0.018 FW | Not reported | No correlation between fruit and soil [Pb] |
| Plum | <0.008 FW | |||||
| Blackberry | 0.016 FW | |||||
| Currant | 0.024 FW | |||||
| Gooseberry | 0.015 FW | |||||
| Elderberry | 0.008 FW | |||||
| Säumel et al. (2012) | Berlin, Germany | AAS | Tomato | 1.1 DW | 6.7 DW | Soil [Pb] not compared |
| McBride et al. (2014) | New York City and Buffalo, NY, USA | ICP-MS | Fruiting vegetables (not disaggregated by type) | 0.018 FW | 0.21 FW | No correlation between fruit and soil [Pb] |
| von Hoffen and Säumel (2014) | Berlin, Germany | AAS | Blackberry | 0.0595 DW | 0.1431 DW | Fruit [Pb] more due to atmospheric deposition than uptake from soils |
| Sea buckthorn berry | 0.0574 DW | 0.1004 DW | ||||
| Elderberry | 0.0519 DW | 0.1494 DW | ||||
| Apple | 0.0293 DW | 0.1703 DW | ||||
| Mirabelle | 0.0231 DW | 0.5678 DW | ||||
| Plum | 0.1434 DW | 0.2901 DW | ||||
| Nowakowska et al. (2017) | Szczecin, Poland | AAS | Sea buckthorn | 0.3125 DW | Not reported | Soil [Pb] not compared |
| Hassan et al. (2017) | Jeddah City, Saudi Arabia | Inductively coupled plasma atomic emission spectroscopy | Date palm fruit | 0.0261 DW | Not reported | Soil [Pb] not compared |
| Gallagher et al. (2020) | Greater Boston Area, USA | X-ray fluorescence | Market apple | 0.3 DW | 0.4 | No correlation between fruit and soil [Pb] |
| Urban apple | 0.5 DW | 0.8 | ||||
| Urban cherry | 0.5 DW | 0.9 | ||||
| Market pear | 0.3 DW | 0.3 | ||||
| Urban pear | 0.4 DW | 0.7 |
| Author (Year Published) . | Study Location . | Analytical Method . | Fruit Type . | Average [Pb] (μg/g) . | Maximum [Pb] (μg/g) . | Soil Comparison . |
|---|---|---|---|---|---|---|
| Larsen et al. (2002) | Denmark | AAS | Apple | <0.006 FW | Not reported | Did not compare with soil data |
| Black currant | 0.018 FW | |||||
| Cherry | <0.008 FW | |||||
| Elderberry | 0.025 FW | |||||
| Gooseberry | <0.006 FW | |||||
| Pear | <0.008 FW | |||||
| Plum | <0.008 FW | |||||
| Raspberry | 0.008 FW | |||||
| Red currant | 0.012 FW | |||||
| Samsøe-Petersen et al. (2002) | Denmark | Inductively coupled plasma mass spectrometry (ICP-MS) | Pear | 0.018 FW | Not reported | No correlation between fruit and soil [Pb] |
| Plum | <0.008 FW | |||||
| Blackberry | 0.016 FW | |||||
| Currant | 0.024 FW | |||||
| Gooseberry | 0.015 FW | |||||
| Elderberry | 0.008 FW | |||||
| Säumel et al. (2012) | Berlin, Germany | AAS | Tomato | 1.1 DW | 6.7 DW | Soil [Pb] not compared |
| McBride et al. (2014) | New York City and Buffalo, NY, USA | ICP-MS | Fruiting vegetables (not disaggregated by type) | 0.018 FW | 0.21 FW | No correlation between fruit and soil [Pb] |
| von Hoffen and Säumel (2014) | Berlin, Germany | AAS | Blackberry | 0.0595 DW | 0.1431 DW | Fruit [Pb] more due to atmospheric deposition than uptake from soils |
| Sea buckthorn berry | 0.0574 DW | 0.1004 DW | ||||
| Elderberry | 0.0519 DW | 0.1494 DW | ||||
| Apple | 0.0293 DW | 0.1703 DW | ||||
| Mirabelle | 0.0231 DW | 0.5678 DW | ||||
| Plum | 0.1434 DW | 0.2901 DW | ||||
| Nowakowska et al. (2017) | Szczecin, Poland | AAS | Sea buckthorn | 0.3125 DW | Not reported | Soil [Pb] not compared |
| Hassan et al. (2017) | Jeddah City, Saudi Arabia | Inductively coupled plasma atomic emission spectroscopy | Date palm fruit | 0.0261 DW | Not reported | Soil [Pb] not compared |
| Gallagher et al. (2020) | Greater Boston Area, USA | X-ray fluorescence | Market apple | 0.3 DW | 0.4 | No correlation between fruit and soil [Pb] |
| Urban apple | 0.5 DW | 0.8 | ||||
| Urban cherry | 0.5 DW | 0.9 | ||||
| Market pear | 0.3 DW | 0.3 | ||||
| Urban pear | 0.4 DW | 0.7 |
Study location, analytical method, fruit type, [Pb], and soil [Pb] correlation included for comparison. FW = fresh weight; DW = dry weight; [Pb] = lead concentrations; AAS = atomic absorption spectrometry.
Previous studies have found that leafy vegetables grown in contaminated soil have the potential to uptake Pb (Clark et al., 2006; McBride et al., 2013; Paltseva et al., 2020). The fruit analyzed in this study have [Pb] that are two factors of 10 lower than leafy vegetables (Clark et al., 2006; McBride et al., 2013). The R2 between soil [Pb] and fruit [Pb] in our study was 0.13, showing no correlation between soil and fruit [Pb]. This suggests that even in the presence of high soil Pb, the Pb is not phyto-available to fruits as it may be to leafy greens. This is consistent with findings of McBride et al. (2014), Hassan et al. (2017), von Hoffen and Säumel (2014), and Samsøe-Petersen et al. (2002; Table 3). The observed lack of a correlation between soil [Pb] and fruit [Pb] might explain the low concentrations across many fruit types reported in Table 3. Besides root uptake, potential pathways for Pb into fruit include dry deposition and resuspended soil. Ambient atmospheric [Pb] was measured at 0.0030 μg/m3 in Roxbury (U.S. EPA, 2017), which is 50 times lower than the National Ambient Air Quality Standard (U.S. EPA, 2016). This suggests that dry deposition of atmospheric Pb does not represent a loading vector to fruit.
The vernacular isolated urban fruit trees, which are the basis for this study, are found in a wide range of settings including parks, along major roadways, and residential areas. Even within a single distinct setting (e.g., historical residential orchard), the [Pb] in soils varies on the meter scale. Although the [Pb] measured in this study were over 2.5 times lower than the average measured in garden soils from Boston (Clark et al., 2006), they were close to the EPA benchmark of 400 μg/g for Pb in soil (U.S. EPA, 2001). Although [Pb] in fruit is low, human exposure via soil with high [Pb] is still a concern, particularly in the context of consuming unwashed fruit while harvesting.
One of the three prepared XRF cups from an urban apple sample measured 3 times higher [Pb] than the other two aliquots of that sample. Elements characteristic of soil are elevated in this cup as well, including silica (3.0 times higher), Fe (3.6 times higher), and Zn (1.6 times higher). Therefore, this measurement of high [Pb] was likely due to residual soil on the fruit. The samples were not washed prior to being analyzed, and thus, this finding supports the necessity of washing produce grown in contaminated soils. Although most fruit samples measured very low [Pb], soil with high [Pb] still poses a health risk (Clark et al., 2006; Paltseva et al., 2020).
Pb exposure estimates
The U.S. Food and Drug Administration (2008) developed provisional total tolerable intake (PTTI) levels to quantify safe daily exposure to Pb from food. PTTI levels were established at daily intakes that would result in BLL of 10 μg/dL for children and 30 μg/dL for adults. PTTI levels were set at 6 μg/day for children under the age of 6, 15 μg/day for children aged 7 and up, and 75 μg/day for adults. None of the Pb consumption estimates (Table 2) exceeded the PTTI level for children above the age of 7, but all exceeded the PTTI level for children under the age of 6. (For comparison, Paltseva et al., 2020, found 1–16 µg per day of Pb from the consumption of vegetables grown in urban gardens in New York City.) Additionally, it has been found that Pb has a low bioaccessibility in produce, urban soils, and compost (Sharp and Brabander, 2017; Paltseva et al., 2020), meaning that only a fraction of the total Pb present is soluble in stomach fluid (Ruby, 2004).
There are some limitations to this contextualization of total daily intake of Pb. For example, Miodovnik and Landrigan (2009) point out that the calculations that established the PTTI levels are based on the BLL action level of 10 μg/dL in children, which is a now outdated action level as recent research has shown there is no safe limit of Pb exposure (World Health Organization, 2014). Since children are still neurologically developing, they are most at risk of neurological effects of Pb exposure (Filippelli et al., 2005). In addition, the PTTI level calculations assume that there are no other sources of Pb exposure, when in fact resuspended soil and dust have been found to dominate chronic exposure for young children in urban environments (Laidlaw et al., 2016; Paltseva et al., 2020).
Potential nonmetal contaminants and methodology limitations
Legacy soil Pb is just one of many contaminants that could become associated with urban fruit. Other metal contaminants such as arsenic and chromium (Cr) were not detected in our XRF analysis. XRF analysis, however, can experience a wider range of elemental LODs than traditional analytical techniques. For example, Cr has higher LOD than other toxic metals due to the wavelength of the X-ray used to induce characteristic X-rays from the sample.
Potential nonmetal contaminants, such as polycyclic aromatic hydrocarbons (PAHs), may also be present and cannot be measured by XRF. Many of the urban fruit trees that are not on residential properties are found along perimeters of parking lots and along high-traffic volume roadways. LUrC community members refer to the “orchard” along Storrow Drive/Soldiers Field Road, a main artery that accommodates 50,000+ vehicles on a typical weekday (Boston Region Metropolitan Planning Organization, 2006). PAHs can be sourced from the combustion of fossil fuels and outgassed from salvaged creosote railroad ties (Heiger-Bernays et al., 2009) that can be found in community gardens. Heiger-Bernays et al. (2009) report total carcinogenic PAH background soil concentrations ranging from 3.17 to 5.43 mg/kg, while samples near timber edges were 2–35 times higher, ranging from 7.49 to 194.0 mg/kg. Under most soil conditions, PAHs are not mobilized from the soil into plants (Heiger-Bernays et al., 2009); however, atmospheric deposition of PAHs on leaves and fruit has been observed (Samsøe-Petersen et al., 2002). Therefore, washing urban fruit before consuming is an easy-to-implement best practice. Further research is needed to more systematically explore atmospherically deposited contaminants.
Nutrient loading in urban and orchard settings
To investigate potential health benefits of urban fruit, we compared nutrient concentrations in urban and market fruit by calculating ratios of average concentrations in apples and pears (Figure 5). For the majority of nutrients, urban fruit had higher average concentrations than market fruit. In apples, P, K, Fe, and Cu concentrations were higher on average in urban fruit samples than in market samples. In pears, Mg, P, K, Ca, Mn, Fe, Cu, and Zn concentrations were higher on average in urban fruit samples than market samples. Previous researchers have observed higher nutrient loading from wet deposition in urban sites compared to rural locations, specifically for 2+ cations and nitrogen compounds (e.g., NO3 and NH4; Gregg et al., 2003). Our findings of elevated nutrient concentrations in urban fruit may, therefore, be related both to enhanced urban wet deposition of nutrients and to soil conditions.
Ratio of nutrient concentrations in urban versus market fruit. Values were calculated by dividing the average concentration of each element in all urban samples by the average concentration in all market samples. Standard deviation around the mean was propagated through the calculation of ratios (Equation 3) and is shown as error bars. The black dashed line represents a one-to-one ratio. Points above this line show higher nutrient concentrations in urban fruit. Elements are grouped into essential mineral elements and essential/potentially essential trace elements, as offered in Ekholm et al. (2007).
Ratio of nutrient concentrations in urban versus market fruit. Values were calculated by dividing the average concentration of each element in all urban samples by the average concentration in all market samples. Standard deviation around the mean was propagated through the calculation of ratios (Equation 3) and is shown as error bars. The black dashed line represents a one-to-one ratio. Points above this line show higher nutrient concentrations in urban fruit. Elements are grouped into essential mineral elements and essential/potentially essential trace elements, as offered in Ekholm et al. (2007).
Despite many nutrients being higher in urban fruit, Ca, Zn, Mg, and Mn have higher concentrations on average in market apples compared to urban apples. The higher Ca concentrations in market apples may be due to Ca spray applied to commercial apple trees to reduce the bitterness of the pit (Torres et al., 2017). Mg, Mn, Ca, and Zn, which are all often 2+ cations, are more mobile in market fruit, perhaps due to application of phosphate-based fertilizers in commercial orchards (White and Broadley, 2005).
Nutrition and the dilution hypothesis
Because 24.8% of the global population is anemic (De Benoist et al., 2008), foods with high Fe are an important resource. A 2005 study found that the Fe concentration in pears (DW) decreased from 84 to 10 μg/g between 1941 and 2004 (White and Broadley, 2005). This decrease in nutrient concentration contributes to a broader discussion of the dilution hypothesis, which suggests that nutrients in commercial fruit are becoming more diluted over time (Davis et al., 2004; White and Broadley, 2005; Ekholm, 2007; Davis, 2009). The average [Fe] measured in this study is 27.8 μg/g in urban pears and 21.4 μg/g (DW) in market pears. These higher concentrations may be linked with the nontraditional management of urban fruit trees compared with commercial orchards. The urban trees do not receive intentional fertilization, which over time washes out other essential cations from the soils (Davis, 2009).
In order to assess the nutritional benefits of consuming urban fruit, we examined the relative contributions to the recommended daily Fe intake by comparing the Fe found in urban and market pears in this study to the reported 2004 Fe concentrations in pears (White and Broadley, 2005). We calculate that an average urban pear (150 g) contains 0.8 mg of Fe, while an average market pear of the same mass contains only 0.6 mg of Fe (25% lower than an urban pear). White and Broadley (2005) reported concentrations of 10 μg/g of Fe (White and Broadley, 2005), which means that our representative 150 g pear would contain only 0.3 mg of Fe. This is 67% less than the amount measured in urban pears in this study. The recommended Fe intake is between 7 and 18 mg per day, depending on age and sex (Institute of Medicine, 2001). Nine urban pears would fulfill this recommendation (7.9 mg of Fe), whereas 29 pears of the same mass with Fe concentrations reported in 2004 (White and Broadley, 2005) would be needed to deliver the same amount of Fe. In this context, urban fruit can be part of an Fe-rich diet, addressing high rates of anemia.
Potential outcomes for planned urban landscapes
Public produce can serve as a pooled common good in the urban landscape that could be intentionally designed into planning. Studies have addressed the benefits of urban fruit (Clark and Nicholas, 2013; Colinas et al., 2018) as well as the risks from environmental contaminants (Table 3). However, no studies have addressed and contextualized both the risks and the benefits of consuming fruit from the built environment. Additionally, the scientific research in the field is not geared toward or accessible to practitioners of urban agriculture or city planners. For example, these papers are published in discipline-specific journals that are geared toward academics and behind paywalls.
Urban agriculture models are rapidly expanding beyond the traditional community allotment gardens approach that has been a prominent expression of urban agriculture in many cities. Today, growing produce in the urban landscape can take place in planned and unplanned public places (Colinas et al., 2018), in high-tech food labs (Johnson et al., 2019), and on large urban farms. (The Food Project [n.d.], a nonprofit organization in Boston, cultivates 70 acres of urban and suburban land growing 200,000 pounds of produce/year.) These emerging activities are creating jobs and opportunities for youth leadership, as well as increasing access to local sourced and sustainable foods (Sharp and Brabander, 2017).
Intentional planting of urban fruit trees has the potential to increase both food security and food sovereignty in the neighborhoods where access to affordable high-quality produce is limited. We have observed that single apple and pear trees, even when not professionally managed, produce extremely high yields (100–200 pieces of fruit per harvest). The average mass of urban apples in our study is approximately 130 g. This serving size of apple contains approximately 72 calories; therefore, a single unmanaged urban apple tree is capable of providing, on average, 11,000 harvestable calories. Our research partners at LUrC have about 125 trees in their database for harvesting. Small vernacular dispersed fruit trees have a potential yield of 18,600 serving sizes of fruit. Just as Clark and Nicholas (2013) demonstrate in model tree planting scenarios in green space in Burlington, VT, scaling up to even 5%–10% of Boston’s green space would increase access to urban produce beyond the annual vegetables that are the usual focus of many urban farming projects. There are potential logistical and political hurdles to implementation. For instance, urban planners have raised concerns about vermin and trip hazards if the fruit is not harvested. There is a need for technological innovation on a community level in harvesting fruit from the urban landscape. However, we believe this is a readily solvable engineering challenge that will be uniquely developed for each urban landscape depending on climate and target species.
Conclusion
We recommend that all locally harvested fruit be washed before consumption, based on our results and the need for additional studies aimed at measuring emerging contaminants common in the urban landscape. We conclude that although [Pb] contamination is a concern in urban soils, [Pb] are lower in fruit than in leafy vegetables or traditional urban agricultural crops. There is marginal statistical significance (P = 0.06) between [Pb] in urban and market fruit. Low [Pb] was measured in the fruit samples, and we found that 95% of this Pb was not associated with the aqueous phase and therefore associated with the flesh of the fruit. [Pb] in urban fruit from Boston were overall below European Commission Standards for Pb in fruit. Additionally, consumption of urban fruit results in lower doses of Pb than drinking municipal tap water at the MCL.
We found that many nutrients are more concentrated in urban apples and pears than in their market counterparts. Since urban fruit from this study have higher concentrations of many nutrients, likely due to growing practices and location, urban fruit can be a more nutritious alternative to commercially available fruit. When considering decreasing nutrient content over time, urban fruit may provide a modern analog of historic nutrient concentrations.
Although other possible contaminants should still be systematically evaluated, urban fruit can be a resource to increase food security by supporting access to local, healthy produce, and creating more urban green space. The flashlight model combines PAR and community-based science methodologies to uniquely address public health concerns originating from community constituents. Using this approach and partnering with community organizations and city planners, new planting initiatives can reimagine unused urban space and maximize the benefits from growing, harvesting, and consuming urban fruit.
Data accessibility statement
Major data sets including lead and micronutrient element concentrations are openly available in the EarthChem repository at https://doi.org/10.26022/IEDA/111763.
Supplementary files
The supplemental files for this article can be found as follows:
Figure S1 a–b. Front and back of a sample infographic prepared in collaboration with League of Urban Canners. Docx
Land Acknowledgment
The research and writing of this article was performed at institutions built on Indigenous land, and the fruit samples that were the basis for this research were harvested from Indigenous land. Samples were collected and analysis was performed on the ancestral and unceded land of the Massachuset and Pawtucket people. Our study would not be possible without the land that allows urban fruit trees to thrive and nourish the community, and as Indigenous people are traditional stewards of this land, we feel it important to acknowledge the history of forced removal and genocide of Indigenous people.
Acknowledgments
This project would not have been possible without our partners at League of Urban Canners (LUrC) who helped us design the project, collected samples, and opened their homes to us as we shared results. Marcus Ramsden and Amy Lee Jarvis were LUrC project leads and their dedication to this research inspires us. Several additional members of djb lab contributed to the development of the analysis methodology, sample preparation, and manuscript edits including Disha Okhai, Emma Jackman, Thessaly McFall, and Elizabeth Lambert. Alden Griffith contributed to the statistical analysis of our findings. Our colleagues at the City of Cambridge, MA, Public Health Department contributed meeting times, support, and brought this work to citywide listening sessions and focus groups. Particular thanks to Dawn Olcott, Urban Agriculture Task Force, Cambridge Public Health Department; Ellen Kokinda, Neighborhood Planner, Community Development Department; Kari Sasportas, Manager, Community Resilience and Preparedness, and Cambridge Public Health Department. This article was greatly improved by thoughtful feedback from Juliette Colinas, Lee Klinger, Sara Perl Egendorf, and the editors at Elementa.
Financial Disclosure
This research was partially funded by the Frost Environmental Sciences Fund and the Sara Langer Geosciences fund at Wellesley College.
Competing interests
The authors have no competing interests to disclose.
Author contributions
Contributed to conception and design: CLG, HLO, DJB.
Contributed to acquisition of data: CLG, HLO, DJB.
Contributed to analysis and interpretation of data: CLG, HLO, DJB.
Drafted and/or revised the article: CLG, HLO, DJB.
Approved the submitted version for publication: CLG, HLO, DJB.
References
How to cite this article: Gallagher, CL, Oettgen, HL, Brabander, DJ. 2020. Beyond community gardens: A participatory research study evaluating nutrient and lead profiles of urban harvested fruit. Elementa: Science of the Anthropocene 8(1).
Domain Editor-in-Chief: Alastair Iles, University of California, Berkeley, CA, USA
Associate Editor: Selena Ahmed, Montana State University, Bozeman, MT, USA
Knowledge Domain: Sustainability Transitions






![Box plot of log transformed [Pb] (dry weight) in urban and market fruit. Bold lines represent mean values and the box range is the 75th percentile. All presented sample concentrations have been corrected to the accepted National Institute of Standards and Technology 1515 (apple leaf) value. Average Pb concentrations for each sample are jittered in order to display the entire data set used to construct the box plot.](https://ucp.silverchair-cdn.com/ucp/content_public/journal/elementa/8/1/10.1525_elementa.2020.004/4/m_elementa.2020.004.f03.png?Expires=1763488744&Signature=xhBuku5LqdOipZDmUuXBVs7jscHj-baepN6m6TNI11NCPWwYOIWv21QCQWOyS1INKWLCJ-gKVOOC4Na0g6EvI8o2LstTsGMjivM5RrtpjoalirEBD~4yeKK6WRXdN3NPmt6c2wvAZuMqDGzXsPU5Qk9he5-~Q7LbKxula6rWG5xNCPx907jdkAsOnvvg7uEw2e4ynPOCDCeq4B7Jbp~u9H0VNLy~Rpqs0-svBInfN8j9aTd~-Gzszs3WkhSWCb1OoT4SFIpfdsfkwdQPvTrM790DXXXskADpUEcCNKJ4nvlGQOpkpdlM0RHYFCPr-3yGneIBR16v2iIxwbg4pXxJqA__&Key-Pair-Id=APKAIE5G5CRDK6RD3PGA)
![Fresh weight [Pb] in urban and market samples. Error bars represent standard deviations. [Pb] in market apples is 43% lower than urban apples, and market pears are 32% lower than urban pears. Averages for all samples, except for urban apples, were below the European Commission Regulation for allowable lead content in fruit (0.1 μg/g) and small fruit (0.2 μg/g; EC Commission, 2006).](https://ucp.silverchair-cdn.com/ucp/content_public/journal/elementa/8/1/10.1525_elementa.2020.004/4/m_elementa.2020.004.f04.png?Expires=1763488744&Signature=nxQ~OIc3ATh97gGyK8znL07DhvM2ihb7bZmrNbIzj8~yZnNvzTSapPTHdTf3bE~LI2h03rVcJk796MjLYEW8~Cgxilg3Mr8yIXkAbLLOBykfld5F3ozYufHtxx09NOZdgy8Leg3fHZUKeEl8xiwYA2SalY5G1DORgjinYV-6Ga11FWcVkAK1cZmrkJYXrORNhnyGib1stwFjz~aKUOrUJYCfwn0EjcFpHgH1F0l1Q9Ji42nUYJjsKpiQ0wgMa8DEBi8iVhGQ5HASMXS4JCSJmSRUuGnYaZyHgDyX6izp6Thtk~QdF4WbC0YxO7a0Y-qv4IxmVRIo1UM3ONaqJRV7Sg__&Key-Pair-Id=APKAIE5G5CRDK6RD3PGA)

