Decisions about dams, like other environmental conflicts, involve complex trade-offs between different water uses with varying human and ecological impacts, have significant impacts on public resources, and involve many stakeholders with diverse and often conflicting interests. Given the many upcoming dam decisions in New England and across the United States, an improved understanding of public preferences about dam decisions is needed to steward resources in the public interest. This research asks (1) What does the public want to see happen with dams? and (2) How do public preferences regarding dam removal vary with demography and politics? We address these questions using data from three random sample statewide telephone polls conducted in New Hampshire over 2018 that asked people for their preferences concerning dam removal versus maintaining dams for specific benefits—property values, hydropower generation, industrial history, or recreation. Respondent age, education, gender, and political party were tested among the possible predictors. We find that majorities (52% or 54%) of respondents favor removing dams rather than keeping them for industrial history or property values, and a plurality (43%) favor removal over keeping them for recreation. A plurality (46%) prefer keeping dams, however, if they are used to generate hydropower. Respondent background characteristics and political identity affect these preferences in ways resembling those for many other environment-related issues: women, young or middle-aged individuals, and political liberals or moderates (Democrats or independents) more often support dam removal. Education, on the other hand, has no significant effects. The results quantify levels of general public support for dam removal in New England, illustrating the use of public opinion polling to complement input from public meetings and guide decisions. More broadly, they contribute a new topic to existing scholarship on the social bases of environmental concern.
Introduction
Decisions about dams, whether to build, modify, or remove them, are fundamentally decisions about managing trade-offs between different water uses with varying human and ecological impacts and, therefore, feature many of the characteristics of other environmental conflicts (Gleick, 2018). Dam decisions involve complex trade-offs specific to each river system (Roy et al., 2018; Song et al., 2018), have significant impacts on public resources, and involve many stakeholders with diverse and often conflicting interests (Fox et al., 2016). Dam removal proponents cite the benefits of removal for public safety, restoring fish habitat and overall ecosystem health (Mullens and Wanstreet, 2010; Fox et al., 2016; Magilligan et al., 2017). Those seeking to preserve dams cite, for example, the importance of historical preservation, aesthetics, and identity. Climate change further complicates the picture, in particular for concerns about dam safety. By storing flood waters for later release in lower flow conditions (Palmer et al., 2009), dams can reduce some of the risks from increasing winter rainfall intensity in the northeastern Unites States (Dupigny-Giroux et al., 2018) including more frequent flooding, declines in aquatic species vulnerable to changes in streamflow, property damage, and increased vulnerability of already vulnerable human populations (Dupigny-Giroux et al., 2018). However, the relationship between rainfall and flooding is complex, posing challenges for factoring flood levels into dam safety decisions. Because only less than 2% of all dams in New Hampshire (45 total) serve a flood control function (NH Department of Environmental Services, 2008), many of the aging dams common in New Hampshire, and throughout the northeastern Unites States, may, instead, become increasing hazards to public safety as rainfall intensity increases (Lall et al., 2018).
Although removing dams, especially small dams, is an increasingly popular option for ecosystem restoration in New England and the Unites States (O’Connor et al., 2015; Magilligan et al., 2016), each dam decision is unique and many dam owners decide to keep their dam. Regardless of the final outcome, dam decisions often take many years to resolve, particularly if stakeholders feel the process has been unfair and their voice has not been heard (Magilligan et al., 2017). Given the many upcoming dam decisions in the New England region and across other parts of the Unites States, an improved understanding of public preferences about dam decisions is needed to inform the public and guide communities, regulators, and other stakeholders seeking to steward resources in the public interest (Johnson and Graber, 2002; Magilligan et al., 2016).
New England, and New Hampshire in particular, are dominated by dammed landscapes and ecosystem functions that have been impacted by dams for hundreds of years. Dams in the region are also known for their historic significance and influence on local economies and unique town character (Figure 1). Because dam issues cross spatial and temporal scales and disciplinary boundaries, interdisciplinary approaches are needed to further understand decisions around dams, particularly as they are driven by public attitudes and opinions (Magilligan et al., 2017). For example, scientists call for a more “balanced” and “informed” approach to decisions about dams, where various socioeconomic and environmental trade-offs are assessed (e.g., risk of collapse, historical significance, environmental impact) via interdisciplinary research approaches, and the findings are then used to inform stakeholder dialogue and decision making (Roy et al., 2018). Scholars also note that more research is needed to better guide decisions about dams, such as understanding how dammed landscapes are valued at different scales (Roy et al., 2018).
Downstream view of the Gonic Dam on April 6, 2018 (located in Gonic, New Hampshire). Photo credit: Natallia Leuchanka Diessner.
Downstream view of the Gonic Dam on April 6, 2018 (located in Gonic, New Hampshire). Photo credit: Natallia Leuchanka Diessner.
Given the increased complexity of contemporary problems (Rittel and Webber, 1973), diverse stakeholders, often with conflicting worldviews, and the public demand increased participation in environmental governance and natural resource management decisions (McCool and Guthrie, 2001; Batie, 2008; Miller et al., 2014). Dam decisions typically involve a variety of public participation opportunities tailored to the goals of citizen involvement, context, previous conflict, problem, and available resources. Public participation opportunities can range from one-way interactions that seek to inform the public to two-way interactions for listening to and consulting with the public, involving and engaging the public in collaborative problem-solving, or empowering the public through consensus building and shared agreements (Arnstein, 1969; Creighton, 2005; Hage et al., 2010; Clark et al., 2016). Town-hall style public meetings are the primary forums in New Hampshire for engaging stakeholders and the broader public in dam decisions (Magilligan et al., 2017). However, such public meetings are frequently held on weekday evenings, last several hours, and can be inaccessible to many residents, so they often have low attendance. As a result, as Fishkin (2011) observes, “The lack of diversity among those deliberating can, in itself, be a limitation on the quality of deliberation.” Public meetings can therefore allow small numbers of motivated people to have outsized influence over dam decisions (Magilligan et al., 2017), leaving public officials to discern and represent the public interest with very little information about the general public’s actual preferences for removing or maintaining dams. Outside the public participation opportunities of public meetings and meetings between stakeholders and public officials, little is known about public preferences on the regional and statewide scales in New England (Mullens and Wanstreet, 2010; Opperman et al., 2011; Fox et al., 2016).
General-public surveys can contribute information to better understand stakeholder and public perspectives and, more specifically, fill in gaps in understanding that are left with the frequently mandated, in-person public meetings. One of the major benefits of using surveys is that they provide a “quantitative or numeric description of trends, attitudes, or opinions of a population by studying a sample of that population” (Creswell, 2014, p. 155). Another advantage is that they tend to have quick turnaround times, provide cost-efficient data, and are convenient (Creswell, 2014). Survey drawbacks include data and outputs less rich than other methods that go beyond simply gathering information at a single point in time and instead focus on collaborative problem solving (Creighton, 2005; Fishkin, 2011), requiring more upfront costs, and being less participatory (but perhaps more representative) than other methods of engagement involving deliberation (e.g., focus groups, workshops). Surveys can therefore be seen as tools to achieve “functional” participation, which aim to gather diverse perspectives and values surrounding an issue, and can therefore complement a deliberative participatory process (Renn and Schweizer, 2009).
The objectives of this study involve two broad research questions: (1) What does the broader population want to see happen with dams? (2) How do public opinions on dam removal vary with demography and politics? To provide insight into the first research question and public preferences for dam decisions, the survey questions in this research reflect arguments commonly heard in New England against and for dam removal. Based on an analysis of 36 interviews in New England conducted as part of the National Science Foundation–funded Future of Dams project, common arguments include generating hydropower, flatwater recreation, maintaining waterfront property values, preserving industrial history, and providing benefits for fish and wildlife (Diessner and Ashcraft, 2019a).
The case of Durham’s Oyster River Dam at Mill Pond, which deals specifically with the proposition of either keeping or removing the dam, is a typical one in New England. What makes this case representative is that it exhibits a common pattern associated with dam decisions in New England, particularly where dam removal is a probable alternative for the dam in question, and engaged individuals voice arguments for keeping the dam. One hundred seventy residents (out of a population of roughly 15,000) attended a 2009 public hearing about the Oyster River Dam at Mill Pond in the Town of Durham, New Hampshire. While that number may seem unusually high for a public hearing in a small, New England town, most of the attendees opposed removal of this dam (Magilligan et al., 2017). Arguments to preserve the dam for historic significance, symbolic value, and hydropower potential prevailed over ecological arguments in favor of dam removal (Magilligan et al., 2017). However, it is not known how representative the viewpoints expressed at the meeting were of the residents of the Town of Durham. If the town ultimately decides to preserve the town-owned dam, Durham residents will have to pay to repair the dam. If the town decides to remove the dam, the project will be eligible for state and federal funding to supplement town resources. As of this writing more than 10 years after the public hearing, a final decision on the future of the Mill Pond dam is yet to be made. Similarly, other communities across New Hampshire and New England are struggling over decisions regarding their dammed landscapes (Fox et al., 2016). Whatever decision is made in Durham and other communities, the decision will be expensive and implementation will involve substantial public funding, time and effort of public officials, and impacts to public natural resources. For example, in New Hampshire, water flowing by or through a property and fish, wildlife, and marine resources are held in trust by the state and stewarded for the benefit of the public (The General Court of New Hampshire, Fish and Game Commission, 2004; NH Department of Environmental Services, 2008). In addition, public opinion and perspectives can have significant outcomes not just on municipally owned dams but also on state- or privately owned dams in New Hampshire and throughout New England (Magilligan et al., 2017). Understanding public preferences about dams at the state scale can therefore provide a broader context to complement input from public meetings and help inform public officials’ decisions about dams.
The process of decision making around dams is often a complex and contentious one, involving numerous diverse actors, issues, values, and positions. To manage social, economic, and ecological benefits while reducing adverse impacts, it is necessary to further explore how the public engages in dam decision-making processes. While public meetings are necessary forums for informing the public and gathering input, public opinion polls can complement public meetings by offering insights into the opinions of the broader community and, arguably, a more representative population.
A second important research question is, “Do demographic factors predict public preferences regarding dam decisions?” Although we have a substantial body of research showing how public opinions on many environment-related issues are influenced by demographic factors, and especially by ideology or political identity (McCright and Xiao, 2014; Sovacool et al., 2018; Hamilton et al., 2019), there has been little comparable research on views about dam removal. Because dam decisions tend to be highly contentious (Fox et al., 2016), it is valuable to consider how demographic factors underlie their controversies.
Demographic factors addressed in this article were selected based on decades of research on “the social bases of environmental concern,” which has established that a handful of demographic characteristics—principally age, gender, education, and ideology or political identity—predict individual views on a wide range of environment-related topics (Van Liere and Dunlap, 1980; Jones and Dunlap, 1992; Guagnano and Markee, 1995; Klineberg et al., 1998; Dunlap et al., 2001; Dietz et al., 2005; Xiao and McCright, 2007). Place characteristics involving the local economy, history, or geography may be influential as well, in addition to, but not suppressing, individual demographic effects (Hamilton et al., 2010; Hamilton et al., 2015). Analyses with our dams’ survey questions detected these general patterns as well, with significant effects from one or more of the demographic predictors (especially, political identity) for every dam question but only intermittent effects from geographic region. Additional background variables that could predict dam opinions were also tested, including household income, marital status, frequency of attending religious services, whether the respondent watches WMUR news (local TV channel), whether the respondent listens to New Hampshire Public Radio, whether the respondent reads the New Hampshire Union Leader (local newspaper), whether the respondent reads the Boston Globe, and years lived in New Hampshire. The additional background variables added little explanatory power and were not retained for parsimony in our final models.
This article provides the first insights into statewide public preferences about dam removal, as compared to maintaining dams for specific purposes, in New England, focusing on New Hampshire. First, the regional background and telephone survey are described. Then, the results are presented from three representative surveys of public opinion regarding dam decisions in New Hampshire using univariate, bivariate, and multivariate statistical methods to investigate the effects of age, education, gender, and political party. Finally, we discuss how our findings provide new insights into public perceptions about balancing dam management alternatives and particularly how these vary with respondent demographic characteristics.
Dam decisions in the New England context
As in many other places, the history and cultural identities of New England communities are intertwined with the use and development of the rivers that run through them, which have been substantially reshaped by dams. Native Americans built the first intentional dams in New England out of wood and stone to harvest fish (Goodby et al., 2014). European colonists built dams for irrigation and to power mills, sometimes on sites previously dammed by beavers or dammed, farmed or fished by Native Americans (Cronon, 2003). Later, larger dams were built to harness New England’s rivers to generate mechanical power and later electricity for factories and mills of the industrial revolution. Dam construction continued in the 19th and 20th centuries to provide myriad benefits to people and industry, including ice production, drinking water, flood control, hydropower generation, fishing, and recreation. The legacy of efforts to control New England’s waters is that there are over 14,000 dams throughout the region (Gold et al., 2016; Magilligan et al., 2016), some of which were originally built in the 1800s and are over 200 years old (Mullens and Wanstreet, 2010; Magilligan et al., 2016). Significant changes to the morphology, habitat, and processes of the region’s rivers have resulted.
For example, New Hampshire, a state located in a region with the highest density of dams in the Unites States (Graf, 1999; Magilligan et al., 2017), has between 2,000 and 3,000 active dams (Lindloff, 2003; NH Department of Environmental Services, 2008; Data Discovery Center, 2019), which does not count at least 1,500 additional dams excluded from state or federal regulatory jurisdiction because of factors such as their small size or breached condition (Lindloff, 2003). While many dams are clustered in New Hampshire’s southern and seacoast area, others are scattered throughout the state (Figure 2). Currently, about 77% of the state’s active dams are privately owned, 13% are owned by municipalities, 9% by the state, 1% by the federal government, and less than 1% are owned by utility companies (NH Department of Environmental Services, 2008).
Dams in New Hampshire (shown in burgundy dots), a state in the New England region of the northeastern United States. The map’s geographical coordinate system is WGS 1984, produced with ArcGIS Pro. NH dams are from the Data Discovery Center data set and the U.S. states from the ArcGIS repository (Hosseini Shakib, 2019).
Dams in New Hampshire (shown in burgundy dots), a state in the New England region of the northeastern United States. The map’s geographical coordinate system is WGS 1984, produced with ArcGIS Pro. NH dams are from the Data Discovery Center data set and the U.S. states from the ArcGIS repository (Hosseini Shakib, 2019).
Today, New England’s dams and their impoundments provide open landscapes in an otherwise heavily forested landscape, habitat for ecological communities, opportunities for slow water recreation, and hydropower and clean energy credits for companies looking to diversify their energy sources. The dams and their impoundments also fragment river systems, blocking the movement of sediment and nutrients, while also hindering the ability of fish and other wildlife to access the habitat. Only 3% of the total river length in New England remains completely unobstructed and accessible to sea-run fish (Roy et al., 2018). Some impoundments behind dams have elevated water temperature and poor water quality. Throughout the region, many fish populations have declined (Born et al., 1998; Poff and Hart, 2002; Limburg and Waldman, 2009; Burroughs et al., 2010; Magilligan et al., 2016). Some dams no longer meet regulatory requirements to ensure safety and require costly maintenance to stabilize their structure (Born et al., 1998; Magilligan et al., 2016). To some people, the region’s dams are markers of the region’s industrial history (Magilligan et al., 2016), but to others, the dams are markers of colonization that disrupt Native American cultural connections to the river (Opperman et al., 2011).
Decisions about what to do about dams reflect the many positive and negative impacts of dams and, like other environmental conflicts, are often contested by stakeholders with diverse interests. Commonly heard arguments in favor of maintaining dams include preserving cultural identity and sense of place, preserving industrial history, conserving the environment created by the dam, protecting waterfront property values, maintaining pond and lake-based recreation and generating hydropower (Fox et al., 2016; Magilligan et al., 2017; Diessner and Ashcraft, 2019a). In contrast, commonly heard arguments in favor of removing dams include restoring ecosystems, connectivity, and fish populations, while also improving safety, and reducing liability and cost to owners (Opperman et al., 2011; Fox et al., 2016; Magilligan et al., 2017; Dowley et al., 2019).
Research analyzing conflict and social aspects of New England dam decisions, and dam removal in particular, has mostly consisted of case-specific, qualitative studies, which provide place-based perspectives not intended to represent the perspectives of the general public at a broader scale (Fox et al., 2016; Magilligan et al., 2017). Surveys of public preferences regarding dams in New England have analyzed the willingness-to-pay of demographically representative populations (Mullens and Wanstreet, 2010) at local scales, either related to specific dams or municipalities. In comparison to case studies, such surveys study a representative sample of the population to provide a quantitative description of how the total population perceives a particular issue (Creswell, 2014) but lack the context-rich analysis of qualitative case studies. However, so far as we know, no research in New England has surveyed public opinion at the statewide scale, which is relevant for many decision makers involved in stewarding dams and river systems in the public interest (Magilligan et al., 2017). In addition to informing the stewardship of public resources in the public interest, better understanding public preferences around dams in the New England region is particularly important because, unlike conflicts over other resources (e.g., forest use), conflicts over dam removal in New England are less about the “control over resources” and more about the public’s perceived loss of and decreased access to their cultural identity and community-based stewardship of their local dammed landscape (Fox et al., 2016).
Materials and methods
Data collection
Survey data for this study were obtained by adding dam-related questions to the Granite State Poll (GSP), a quarterly telephone survey of New Hampshire residents carried out by the Survey Center at the University of New Hampshire. Random sampling of cell and landline telephone numbers, combined with random selection of adults within households, yields representative surveys of about 500 respondents in each GSP cycle. GSP data have been widely used for political polling (e.g., Scala and Smith, 2008) as well as basic research (Hamilton et al., 2016; Bolin and Hamilton, 2018). On a variety of environment-related topics, New Hampshire survey responses resemble those of nationwide surveys, as shown, for example, in comparisons of climate change and renewable energy views across dozens of different surveys (Hamilton et al., 2019) or of many different global change knowledge and opinion responses (Hamilton, 2016).
Dam removal questions were included in the GSP in February, April, and August 2018, involving a total of 1,582 respondents. Other questions on these polls include a mix of opinion items and respondent background characteristics. Trained and supervised interviewers at the UNH Survey Center conducted all interviews according to specific protocols (UNH Survey Center, 2020a, 2020b, 2020c). To ensure sampling consistency and reduce respondent selection bias, interviewers asked to speak with the adult living in the household with the most recent birthday. If that randomly selected individual was not home at the time of the call, interviewers made an appointment to call back.
Two questions specific to dam decision alternatives were included as part of the February 2018 GSP, four (one a duplicate from February) in the April 2018 GSP, and four (all duplicates from April) in the August 2018 GSP (Diessner et al., 2019a, 2019b, 2019c). The question from the February 2018 poll was exploratory and prompted respondents to think about the trade-offs of removing dams as opposed to keeping them for electricity generation. To better understand public preferences around other common trade-offs associated with New England’s dams, three additional trade-offs were explored in the April 2018 poll, and all four trade-offs were replicated in the August 2018 poll.
Table 1 gives the wording of these questions, along with probability-weighted response percentages and coding used for later analysis. In addition to question details, Table 1 provides descriptive information and coding of respondent background characteristics. These particular characteristics (age, sex, education, and political party) have been found in many other studies to predict views on a wide range of environment-related topics, in a literature that has been termed “the social bases of environmental concern” (Van Liere and Dunlap, 1980; Jones and Dunlap, 1992; Hamilton and Saito, 2015). For example, these characteristics have been widely shown to predict views on climate change (e.g., Hamilton, 2012; Hamilton et al., 2015) or, more narrowly, perceptions of flooding in New Hampshire (Hamilton et al., 2016). Because the topic of dam removal has strong environmental connections, we hypothesized that dam opinions would show similar demographic patterns.
Variable definitions with coding used for regression modeling.
Dam decision alternative question 1 (rotated question and response order; n = 1,582) Damhydro: In your opinion, is it more important to use dams on New Hampshire rivers and streams to generate electricity, or is it more important to remove dams and allow free-flowing rivers that benefit fish and wildlife? (rotated response order)
|
Dam decision alternative question 2 (rotated question and response order; n = 1,016) Damhis: In your opinion, is it more important to keep dams in place on New Hampshire rivers and streams in order to preserve New Hampshire’s industrial history, or is it more important to remove the dams and allow free-flowing rivers that benefit fish and wildlife?
|
Dam decision alternative question 3 (rotated question and response order; n = 1,016) Damrec: In your opinion, is it more important to keep dams in place on New Hampshire rivers and streams in order to preserve recreational opportunities in lakes and ponds, or is it more important to remove the dams and allow free-flowing rivers that benefit fish and wildlife?
|
Dam decision alternative question 4 (rotated question and response order; n = 1,016) Damprop: In your opinion, is it more important to keep dams in place on New Hampshire rivers and streams in order to preserve waterfront property values, or is it more important to remove the dams and allow free-flowing rivers that benefit fish and wildlife?
|
Respondent background characteristics
|
Dam decision alternative question 1 (rotated question and response order; n = 1,582) Damhydro: In your opinion, is it more important to use dams on New Hampshire rivers and streams to generate electricity, or is it more important to remove dams and allow free-flowing rivers that benefit fish and wildlife? (rotated response order)
|
Dam decision alternative question 2 (rotated question and response order; n = 1,016) Damhis: In your opinion, is it more important to keep dams in place on New Hampshire rivers and streams in order to preserve New Hampshire’s industrial history, or is it more important to remove the dams and allow free-flowing rivers that benefit fish and wildlife?
|
Dam decision alternative question 3 (rotated question and response order; n = 1,016) Damrec: In your opinion, is it more important to keep dams in place on New Hampshire rivers and streams in order to preserve recreational opportunities in lakes and ponds, or is it more important to remove the dams and allow free-flowing rivers that benefit fish and wildlife?
|
Dam decision alternative question 4 (rotated question and response order; n = 1,016) Damprop: In your opinion, is it more important to keep dams in place on New Hampshire rivers and streams in order to preserve waterfront property values, or is it more important to remove the dams and allow free-flowing rivers that benefit fish and wildlife?
|
Respondent background characteristics
|
Survey responses shown in codes used for modeling, and with probability-weighted percentages or means (February 2018 poll n = 566; April 2018 poll n = 515; August 2018 poll n = 501).
Survey response rates, calculated according to the American Association of Public Opinion Research Response Rate 4 definition (Gierisch et al., 2010), were 18% for the February poll, 19% for the April poll, and 17% for the August poll. Sampling weights are applied in Table 1 and all other analyses in this article to improve representativeness with respect to the state’s population.
The Institutional Review Board for the Protection of Human Subjects in Research at the University of New Hampshire approved this study (IRB #3259). Oral consent was obtained for all study participants.
Data analysis
Univariate statistics provide a basic picture of respondents’ preferences and support for dam removal. To analyze how responses vary with individual characteristics, we look first at their bivariate associations, then apply multinomial logit regression modeling to test the relative importance of different factors. Binomial logit regression (responses dichotomized into support for dam removal vs. all other answers) was employed to test simple relationships between the dependent variables (support for dam removal under each trade-off) and, separately, each of the independent variables describing background characteristics (age, sex, education, and political party). Preliminary analysis and visualizations of bivariate results appear in an earlier paper by Leuchanka et al. (2019). The present article provides a more detailed bivariate analysis, followed by multivariate analysis with all background variables considered together and the full range of dam question responses.
Our dam-removal questions each offered three response choices: remove dams, keep dams [for reason], or don’t know. Many people gave “don’t know” responses; to analyze these as distinct from the remove-dams and keep-dams responses, our multivariate analysis employs multinomial logit modeling—a method appropriate for analysis of dependent variables that have multiple unordered categories (Hamilton, 2012, 2013). This approach models the odds of respondents favoring one outcome over another (e.g., keep dams for hydropower vs. remove) as a multiplicative function of one or more independent (exogenous) variables such as respondent background characteristics. Relative risk ratios (RRR), analogous to the odds ratios of binary logit models, describe multiplicative effects of a one-unit increase in a given predictor, on the odds favoring a given category of y compared with the base category of y. Risk ratios below 1 correspond conceptually to negative effects in linear regression; ratios above 1 correspond to positive effects.
Results
Univariate results
Specific questions explored trade-offs associated with keeping dams for specific purposes versus removing dams for benefits to fish and wildlife derived from free-flowing rivers. Weighted response percentages to the questions in Table 1 are also charted in Figure 3.
Dam alternative preferences by trade-off. Sorted by preference for dam removal to allow free-flowing rivers that benefit fish and wildlife as opposed to keeping dams to (a) maintain waterfront property values, (b) preserve industrial history, (c) maintain lake- and pond-based recreation, and (d) generate electricity (from hydropower).
Dam alternative preferences by trade-off. Sorted by preference for dam removal to allow free-flowing rivers that benefit fish and wildlife as opposed to keeping dams to (a) maintain waterfront property values, (b) preserve industrial history, (c) maintain lake- and pond-based recreation, and (d) generate electricity (from hydropower).
Responses indicate that more people prefer dam removal when the purpose of keeping dams is to maintain waterfront property values (Figure 3a; damprop) or preserve New Hampshire’s industrial history (Figure 3b; damhis). Fifty-two percent of respondents indicated that their preference would be to remove dams when the alternative is to keep them for historic presentation. Only 29% of respondents preferred keeping dams when historic preservation (damhis) was the associated trade-off. Similar results are seen in the question exploring waterfront property values (damprop), with half the respondents preferring removal and less than a third preferring to keep dams. Although more people prefer to remove dams as opposed to keeping them for lake- and pond-based recreation (Figure 3c; damrec), the difference between these two management preferences is not as striking as that seen in other questions in this survey (with only 6% more people preferring removal over keeping dams), with 43% of respondents supporting dam removal and 37% keeping dams for recreation (Figure 3c). In the question exploring trade-offs around hydropower (Figure 3d; damhydro), a greater percentage of New Hampshire residents (46%) prefer keeping dams, as compared to removing them (33%). Approximately one fifth of respondents were unsure (responded either “don’t know” or provided no answer) about their preference for dam removal across all four questions.
Bivariate relationships
Waterfront property values
Political party and age are the two strongest predictors of whether people support dam removal rather than keeping dams to protect property values (damprop). Younger respondents (under the age of 65) and Democrats (63%) tend to support removal when the alternative is to keep dams to maintain property values (Figure 4). Gender and education make little difference regarding this question: Majorities of men and women, or with any level of education beyond high school, tend to support removal.
Respondents who prefer dam removal for benefits of fish and wildlife over those who want to keep dams for maintaining waterfront property values and those who responded “don’t know” or gave no answer (dichotomized dependent variable). Preferences to remove dams are broken down by respondent characteristics. P values represent probabilities from F tests for null hypothesis of predictors having no association with pro-dam removal responses.
Respondents who prefer dam removal for benefits of fish and wildlife over those who want to keep dams for maintaining waterfront property values and those who responded “don’t know” or gave no answer (dichotomized dependent variable). Preferences to remove dams are broken down by respondent characteristics. P values represent probabilities from F tests for null hypothesis of predictors having no association with pro-dam removal responses.
Preservation of industrial history
Age and party again make the most difference when it comes to preferring dam removal over keeping dams for preservation of industrial history (damhis;Figure 5). Differences by gender and education are not significant. Older respondents, particularly those over the age of 65, are less likely to prefer dam removal if the alternative is to keep dams to preserve their historic significance, with only 42% selecting removal as the preferred alternative. Political party is also a strong predictor, with Democrats (59%) and independents (57%) supporting dam removal compared with just 43% among Republicans.
Respondents who prefer dam removal for benefits of fish and wildlife over those who want to keep dams for preservation of industrial history and those who responded “don’t know” or gave no answer (dichotomized dependent variable). Preferences to remove dams are broken down by respondent characteristics. P values represent probabilities from F tests for null hypothesis of predictors having no association with pro-dam removal responses.
Respondents who prefer dam removal for benefits of fish and wildlife over those who want to keep dams for preservation of industrial history and those who responded “don’t know” or gave no answer (dichotomized dependent variable). Preferences to remove dams are broken down by respondent characteristics. P values represent probabilities from F tests for null hypothesis of predictors having no association with pro-dam removal responses.
Lake- and pond-based recreation
When asked about dam removal as opposed to keeping dams to maintain lake- and pond-based recreational opportunities (damrec), responses bear some resemblance to results from the property and history trade-off questions: Party continues to have a strong effect and education the weakest (Figure 6). As usual, Democrats (50%) and independents (46%) are more likely to support removal than Republicans (34%). In this trade-off, gender also makes a difference: Close to half of the female respondents support removal compared to only 38% of the males. Age also has significant effects, with older people (65+) least likely to support removal.
Respondents who prefer dam removal for benefits of fish and wildlife over those who want to keep dams for lake- or pond-based recreation and those who responded “don’t know” or gave no answer (dichotomized dependent variable). Preferences to remove dams are broken down by respondent characteristics. P values represent probabilities from F tests for null hypothesis of predictors having no association with pro-dam removal responses.
Respondents who prefer dam removal for benefits of fish and wildlife over those who want to keep dams for lake- or pond-based recreation and those who responded “don’t know” or gave no answer (dichotomized dependent variable). Preferences to remove dams are broken down by respondent characteristics. P values represent probabilities from F tests for null hypothesis of predictors having no association with pro-dam removal responses.
Electricity generation from hydropower
Differences by age, gender, and political party are all statistically significant at the P < 0.05 level in the hydropower question (damhydro; Figure 7). Education, however, has only weak effects. Younger and middle-aged respondents more often prefer dam removal over keeping the dam when the alternative is hydropower. Political party affiliation again is the strongest predictor, with Democrats (39%) and independents (37%) more likely to prefer removal as compared to Republicans (24%). Women also more often prefer dam removal when the alternative is to keep dams for electricity generation.
Respondents who prefer dam removal for benefits of fish and wildlife over those who want to keep dams for electricity generation and those who responded “don’t know” or gave no answer (dichotomized dependent variable). Preferences to remove dams are broken down by respondent characteristics. P values represent probabilities from F tests for null hypothesis of predictors having no association with pro-dam removal responses.
Respondents who prefer dam removal for benefits of fish and wildlife over those who want to keep dams for electricity generation and those who responded “don’t know” or gave no answer (dichotomized dependent variable). Preferences to remove dams are broken down by respondent characteristics. P values represent probabilities from F tests for null hypothesis of predictors having no association with pro-dam removal responses.
Summary of bivariate results
Overall, when comparing the results of the bivariate analyses (Leuchanka et al., 2019) for each of the four trade-offs, it appears that age and party are relatively strong and consistent predictors of who is most likely to prefer dam removal. Party appears to be a dominant explanatory variable across all of our questions. Age exhibits somewhat weaker but consistent effects too, particularly in the lack of support for dam removal among people over age 65. When the trade-off is hydropower generation, support for dam removal drops below 50% for all age groups, but age effects are still clear: Just 31% of people over the age of 65 support dam removal within the context of hydropower (damhydro question; Figure 7).
Although not always significant, the effects of gender lean in the same direction across all four of our trade-offs: Women are more likely than men to favor dam removal. The gender gap ranges from 13 points (39% of women vs. 26% of men) on the hydropower trade-off (Figure 7) to just 3 points (56% of women vs. 52% of men) on the property value trade-off (Figure 4). Interestingly, respondent’s education, which plays an important role on many other environmental topics (Hamilton, 2011; McCright and Dunlap, 2011; Sovacool et al., 2018), makes no significant difference in any of these comparisons.
Multivariate analysis
Table 2 shows results from four multinomial logit regression models. The models predict support for dam removal over keeping dams for hydropower (damhydro), preservation of New Hampshire’s industrial history (damhis), maintenance of lake- and pond-based recreation (damrec), and maintenance of waterfront property values (damprop) based on the four predictors identified in Table 1: gender, education, age, and political party. We also tested for regional effects but found no systemic differences in responses between the various regions of New Hampshire (results not shown).
Survey dates—February 2018, April 2018, and August 2018. Predictors of dam decision alternative preferences and answers to four questions, with each question exploring different trade-offs associated with keeping a dam.
| Dependent Variables . | ||||||||
|---|---|---|---|---|---|---|---|---|
| . | damhydro . | damhis . | damrec . | damprop . | ||||
| Predictor . | RRR . | P . | RRR . | p . | RRR . | p . | RRR . | p . |
| (base) . | Keep/Hydro . | Keep/History . | Keep/Recreation . | Keep/Property values . | ||||
| . | Remove . | Remove . | Remove . | Remove . | ||||
| Gender (F) | 1.821451 | 0.000 | 1.444715 | 0.075 | 1.897504 | 0.002 | 1.340903 | 0.170 |
| Age | 0.9941032 | 0.175 | 0.9857421 | 0.012 | 0.9787474 | 0.000 | 0.9824963 | 0.005 |
| Education | 1.051349 | 0.483 | 0.8816404 | 0.161 | 1.075209 | 0.424 | 1.072429 | 0.448 |
| Party | 0.724009 | 0.000 | 0.7107359 | 0.002 | 0.7245111 | 0.003 | 0.6259391 | 0.000 |
| DK/NA | DK/NA | DK/NA | DK/NA | |||||
| Gender (F) | 1.393459 | 0.054 | 1.199 | 0.452 | 1.666871 | 0.025 | 1.490356 | 0.119 |
| Age | 1.006579 | 0.176 | 1.010145 | 0.159 | 0.999448 | 0.935 | 1.009694 | 0.206 |
| Education | 1.205492 | 0.017 | 1.121372 | 0.298 | 1.062824 | 0.555 | 1.02906 | 0.808 |
| Party | 0.8767932 | 0.170 | 0.9442563 | 0.668 | 0.9114907 | 0.464 | 0.7978738 | 0.101 |
| Estimation sample | 1,446 | 927 | 927 | 927 | ||||
| F statistic | 6.15 | 0.000 | 4.42 | 0.000 | 5.54 | 0.000 | 5.55 | 0.000 |
| Dependent Variables . | ||||||||
|---|---|---|---|---|---|---|---|---|
| . | damhydro . | damhis . | damrec . | damprop . | ||||
| Predictor . | RRR . | P . | RRR . | p . | RRR . | p . | RRR . | p . |
| (base) . | Keep/Hydro . | Keep/History . | Keep/Recreation . | Keep/Property values . | ||||
| . | Remove . | Remove . | Remove . | Remove . | ||||
| Gender (F) | 1.821451 | 0.000 | 1.444715 | 0.075 | 1.897504 | 0.002 | 1.340903 | 0.170 |
| Age | 0.9941032 | 0.175 | 0.9857421 | 0.012 | 0.9787474 | 0.000 | 0.9824963 | 0.005 |
| Education | 1.051349 | 0.483 | 0.8816404 | 0.161 | 1.075209 | 0.424 | 1.072429 | 0.448 |
| Party | 0.724009 | 0.000 | 0.7107359 | 0.002 | 0.7245111 | 0.003 | 0.6259391 | 0.000 |
| DK/NA | DK/NA | DK/NA | DK/NA | |||||
| Gender (F) | 1.393459 | 0.054 | 1.199 | 0.452 | 1.666871 | 0.025 | 1.490356 | 0.119 |
| Age | 1.006579 | 0.176 | 1.010145 | 0.159 | 0.999448 | 0.935 | 1.009694 | 0.206 |
| Education | 1.205492 | 0.017 | 1.121372 | 0.298 | 1.062824 | 0.555 | 1.02906 | 0.808 |
| Party | 0.8767932 | 0.170 | 0.9442563 | 0.668 | 0.9114907 | 0.464 | 0.7978738 | 0.101 |
| Estimation sample | 1,446 | 927 | 927 | 927 | ||||
| F statistic | 6.15 | 0.000 | 4.42 | 0.000 | 5.54 | 0.000 | 5.55 | 0.000 |
Presented are relative risk ratios (RRRs) from weighted multinomial regressions and P values.
The multivariate analysis in Table 2 confirms most of the bivariate relationships, with the exception of age in the question addressing hydropower, where it is no longer significant. All four multinomial logit models (Table 2) estimate the effects of individual predictor variables when all other predictors in the model are held constant. Education remains a poor predictor of support for dam removal across all trade-offs, after adjustments for the stronger effects of gender, age, and political party.
The first model in Table 2 (damhydro) shows that women are 82% more likely (odds multiplied by 1.821) than men to favor removing dams when the alternative is keeping them for hydropower. Political party affects these views as well: Odds of favoring dam removal decline by 28% (multiplied by 0.724) with each step of political party, from Democrats to independents, then Republicans. Better educated respondents are more likely to say they don’t know, rather than to favor keeping dams, in response to this question (odds multiplied by 1.206 with each degree of education).
Subsequent columns in Table 2 show the corresponding results for other dam trade-off questions. Women are more likely than men to favor dam removal across all trade-offs, although these gender effects are statistically significant only with regard to the hydropower and recreation trade-offs. Conversely, older respondents are less likely to favor dam removal across all trade-offs; such age effects are significant with regard to history, recreation, and property value trade-offs. Respondent education exhibits no consistent effects, with none of the RRR significantly different from 1.0 (no effect).
Political party exhibits consistent effects: For each trade-off, independents are less likely than Democrats, and Republicans less likely than independents, to favor keeping the dams. These political effects are statistically significant and have similar strength for all trade-offs.
The lower panels of Table 2 contrast “don’t know” responses with being in favor of keeping the dams. Only two significant effects are seen: Better educated respondents are more likely to say “don’t know” than they are to favor keeping dams for hydropower, and female respondents are less likely to say “don’t know” than they are to favor keeping dams for recreation.
In Figures 8 and 9, a set of adjusted margin plots (Mitchell, 2012) calculated from models in Table 2 provides visualization of these multivariate effects. For example, for the hydropower question, females (Figure 9D) across all party affiliations are more likely to prefer to remove dams than to keep dams, whereas age (Figure 9E) and education (Figure 9F) have no statistically significant effects on the probability of choosing dam removal. Political party affiliation predicts people’s preferences in the hydropower question, with highest probability of choosing dam removal among Democrats and lowest among Republicans (Figure 9D-F).
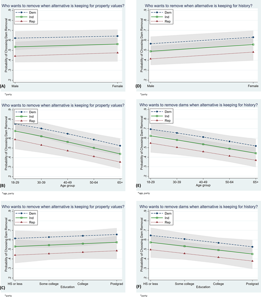
Predicted probability of “remove dams for benefits of fish and wildlife” response for questions concerning waterfront property values and industrial history (independent variables). Questions are centered on the following trade-offs: waterfront property values (damprop; A–C) and industrial history (damhis; D–F). Probabilities are calculated from the model in Table 2 and incorporate other predictors in the model. Asterisks with affiliated variable names indicate statistically significant results at P < 0.05 (consistent with those shown in Table 2).
Predicted probability of “remove dams for benefits of fish and wildlife” response for questions concerning waterfront property values and industrial history (independent variables). Questions are centered on the following trade-offs: waterfront property values (damprop; A–C) and industrial history (damhis; D–F). Probabilities are calculated from the model in Table 2 and incorporate other predictors in the model. Asterisks with affiliated variable names indicate statistically significant results at P < 0.05 (consistent with those shown in Table 2).
Predicted probability of “remove dams for benefits of fish and wildlife” response for questions concerning recreation and hydropower (independent variables). Questions are centered on the following trade-offs: lake- and pond-based recreation (damrec; A–C) and electricity generation from hydropower (damhydro; D–F). Probabilities are calculated from the model in Table 2 and incorporate other predictors in the model. Asterisks with affiliated variable names indicate statistically significant results at P < 0.05 (consistent with those shown in Table 2).
Predicted probability of “remove dams for benefits of fish and wildlife” response for questions concerning recreation and hydropower (independent variables). Questions are centered on the following trade-offs: lake- and pond-based recreation (damrec; A–C) and electricity generation from hydropower (damhydro; D–F). Probabilities are calculated from the model in Table 2 and incorporate other predictors in the model. Asterisks with affiliated variable names indicate statistically significant results at P < 0.05 (consistent with those shown in Table 2).
Responses to one (hydropower; Figure 9D–F) of the four trade-off questions indicate more respondents prefer to keep dams than to remove dams. Other trade-offs elicit more pro-removal preferences: waterfront property values (Figure 8A–C), industrial history (Figure 8D–F), and recreation (Figure 9A–C). Political party affiliation is a constant predictor across all four trade-offs regardless of whether they provoke more pro-removal or pro-keep responses.
The effect of respondents’ age continues to influence dam removal preference in the question concerning industrial history (Figure 8D–F), with younger people more likely to prefer removal. Relationships in the question exploring flatwater recreation behave similarly to relationships observed for the question about hydropower. Females and Democrats are most likely to prefer dam removal instead of keeping dams for lake-based recreation. The recreation-specific question is also the only question where a respondent’s age, gender, and political party all have strong explanatory power (Table 2), suggesting that this trade-off could be the most socially divisive; only two of these three predictor variables have significant effects in the other four questions. The questions exploring preferences for dam removal as opposed to keeping dams for maintenance of waterfront property values or industrial history are not impacted by gender (unlike the other questions; Figure 8A and D; Table 2). A respondent’s level of education is the only predictor variable that has no significant exploratory power or systematic effect in any of the questions (Table 2; Figure 8C and F; Figure 9C and F).
Discussion
In addition to its empirical contribution, this research contributes to research and discussions on decisions about freshwater systems in three ways.
Insights into dam decisions
First, our research provides insight into dam decisions in the New Hampshire context. In general, public willingness to accept dam removal is high but varies depending on the benefit provided by the dam. Although a plurality favored keeping dams for generating hydropower, with other trade-offs (recreation, preserving industrial history, or waterfront property values), respondents were more likely to favor removal. These results indicate that even in a region where industrial dams continue to drive current popular uses of land and water resources, public support for dam removal to restore ecosystems is substantial. It is worth noting that such general-public surveys can provide a much broader picture of public opinion compared with the narrower and often highly invested groups of stakeholders who show up for meetings. Among the general public, most people do not own waterfront property and so forth.
The high “don’t know” or no answer response rate, as compared to rates observed in previous environment-related public opinion surveys (Hamilton, 2012), could be due to lower general awareness about dam-related issues relative to other environmental issues. In fact, a follow-up statewide survey revealed that most New Hampshire residents have not heard about dam removal, indicating a general lack of dam-related knowledge and awareness among the general public (Chapman et al., 2020). In a similar vein, a 2015 New Hampshire survey found limited knowledge about the region’s recent history of flooding (Hamilton et al., 2016). It is possible that limited understanding of relationships between climate change, flooding, and dams (Palmer et al., 2009; Ashraf et al., 2016; Hamilton et al., 2016) could yield a simplistic understanding of dam removal implications, whereas more knowledge of the complexities would result in more “don’t know” responses. Several results from other studies argue indirectly against that hypothesis; however (1) the public’s climate-change perceptions (including, about floods in New Hampshire) are largely predicted by ideology (Hamilton et al., 2016) and (2) survey respondents with college majors in natural science might, as a group, exhibit counterintuitively lower concern about climate change because “natural science” is a broad category not necessarily covering climate-relevant knowledge (Hamilton et al., 2012). The surveys in this study did not collect information on the majors of college-educated respondents, although such detailed background could be a potential area for future research. With finely divided education measures, however, would come smaller subsample sizes and less power for statistical analysis. For example, breaking down college majors beyond the general natural science category may seem desirable and yet be unworkable in general-public surveys because such groups are statistically rare, offering too few observations for meaningful analysis (Hamilton, 2008; Hamilton et al., 2012).
The many “don’t know” responses to our questions, together with admissions on a later survey that many people had never heard or read about the issue of dam removal (Chapman et al., 2020), point out a fruitful direction for future study: surveys including quiz-like items testing actual knowledge about dam removal issues, as done elsewhere for domains such as science literacy and climate change (e.g., Hamilton et al., 2012). Knowledge test responses could provide guidance to public communication efforts on dam removal and the resulting scores tested for relationships to opinions and information sources.
Recognizing that every dam decision is unique and that an individual’s preferences may differ when confronted with a decision about a specific dam as compared to dams in general, our results provide information about the general public’s preferences, which can complement information provided in local forums to discuss decisions about specific dams. Given the significant implications for New Hampshire’s public resources, in order to steward public resources wisely in the public interest, decisions about dams should include dam removal as a decision option. Future research could evaluate whether New Hampshire survey responses about dam decisions resemble regional and national preferences. Additionally, future studies could test identical questions with different arguments for removing dams, such as safety.
Demographic factors influence public preference
Second, demographic factors shape public preferences for dam decisions. When comparing results of multinomial models for all four questions (Figures 8 and 9; Table 2) exploring different trade-offs associated with dams, we see some clear trends. In general, women, Democrats or independents, and young or middle-aged adults are more likely to favor removing dams. Level of formal education does not seem to make a difference. Small to moderate gender differences in the same direction, women more likely to favor dam removal, occur on all four questions.
Decades of research dating back at least to Van Liere and Dunlap (1980) has widely confirmed that concern with environmental protection tends to be highest among female, younger, better educated, and politically moderate or liberal adults. In our study, the effect of age in the waterfront property values related question might partly reflect older people more often owning or aspiring to waterfront properties. Our findings about gender, even where results are not statistically significant, fit with other studies that found women holding more pro-environmental views than men (McCright and Xiao, 2014). On the other hand, our study found no significant effects from education, in contrast with the patterns seen for many other environment-related topics (Jones and Dunlap, 1992; Hamilton et al., 2010), including climate change (Hamilton, 2012) and electric vehicles within the context of carbon emissions and sustainability transitions (Sovacool et al., 2018). Previous studies generally found environmental concerns rising with education (Van Liere and Dunlap, 1980; Jones and Dunlap, 1992), particularly in those who hold undergraduate and postgraduate degrees (Sovacool et al., 2018). However, we do not observe this trend when asking New Hampshire residents about their preferences for dam removal, suggesting that education is not a key factor regarding people’s preferences about dam removal.
The dominant effects of partisan identity seen in these analyses occur also if, instead of party, we use self-reported ideology (not shown). Similarly, parallel results from using either party or ideology have been reported on other environment-related topics as well (e.g., climate change and renewable energy in Hamilton et al., 2019). Political effects on our dam-removal questions parallel findings from countless studies of other general or specific environment-related issues (Hamilton et al., 2010; McCright and Dunlap, 2011; Hamilton and Saito, 2015). To our knowledge, this is the first time such patterns have been observed in connection with dam removal decision making. The finding that Democrats and independents are more likely to support dam removal than Republicans does not raise new obstacles for such decision making, but suggests one obstacle that already was there, and must be taken into account. From this, we can infer that elements of partisan ideology and sociopolitical identity will probably infuse seemingly local, practically oriented discussions about the need for dam removal. The dominant role we see for political identity as a factor in dam-removal opinions should be explored in future research. Does political identity affect dam opinions because of some ideological connection, or is this another instance of “negative partisanship” (Mayer, 2019) where dam removal is opposed by conservatives because it seems like (or has been presented as) something environmentalists would favor?
Factual information about the pros and cons of local dam removal undoubtedly is limited among the general public, so there is a great scope for accessible information and outreach. Latent partisan differences could subject such outreach to information-filtering processes such as biased assimilation, well known in other fields, whereby people preferentially retain information that confirms their prejudices (Munro and Ditto, 1997; Corner et al., 2012) and choose media sources that agree (Bolin and Hamilton, 2018). Results could inform the design, for different audiences, of information about dam decision making.
These findings indicate that conflicts over dams are not only conflicts between pro-removal and pro-dam advocates but are also part of other identity conflicts. For example, older people, Republicans, and males tend to prefer to keep dams and may therefore see dam maintenance as a wise use of public resources, while younger people, Democrats or independents, and females are likely to prefer to remove the dam and prioritize other uses of public funding. Recognizing that preferences change over time and our findings provide only a snapshot of preferences, it is nevertheless important to consider the importance of identity, specifically of age, gender, and political party differences, in analyses of the politics of dam decisions, removal, and river restoration. Other research into the influence of identity on environmental preferences indicates that identity is at least as important as education in affecting public opinion (Hamilton et al., 2015, 2019). Interested parties, such as dam removal advocates and hydropower advocates, may therefore want to consider targeted communication strategies for specific audiences based on an improved understanding of the values that motivate them.
Representation and inclusiveness in dam decisions
Third, our findings shed light on the importance of considering demographic characteristics to ensure that processes for public participation are representative. Since demographic characteristics are predictors of dam preferences, forums dominated by particular demographics are unlikely to represent fully the public interest. Regardless, organizers of public forums and policy makers who use the input to inform dam decisions need to pay attention to the demographics of who participates to avoid marginalizing voices that are already less heard. For example, anecdotal evidence from attending a variety of public meetings in New Hampshire shows participants are more likely to be older. According to our findings, the views expressed at public meetings are therefore more likely to be in favor of keeping dams. Organizers of public meetings may want to consider strategies to ensure the representation of different genders, ages, and political party. For example, providing childcare can make it easier for younger people with small children to attend events. Varying the kind of opportunities to provide input, such as using online surveys or forums at schools, can also be used to complement typical town hall meetings to attract more diverse participants and better represent the public interest.
Conclusion
Our findings support the use of public opinion polling to inform deliberative processes, providing support for interesting possibilities to combine the two to inform dam decisions. Public opinion polling is one tool that can supplement input heard at public meetings, such as local town meetings about dam decisions, and arguably result in more democratic decision processes and equitable outcomes (Fishkin, 2011). Randomized public surveys around critical issues concerning communities are particularly important from an equity standpoint because they provide voice to residents who are not able to attend town meetings. A relatively quick telephone survey, such as the one implemented in this study, can provide these residents with an opportunity to participate in their local democratic process without having to take hours out of their day to attend local meetings. While public surveys only provide a “temporary snapshot of public opinion,” which may be based on little information (Fishkin, 2011) or interest, they also contribute to identifying where the public stands around a particular issue (Renn, 2015). Increased public participation is particularly important because decisions around dams often require the use of public funds, so engaging a more diverse and representative group of residents in the decision process helps ensure that taxpayers’ contributions are properly allocated toward community needs.
The findings presented in this article are an attempt to gain a basic understanding of New Hampshire residents’ preferences for dam removal and, in retrospect, their underlying motivating values. This study therefore helps achieve value competence (Dietz, 2013) using scientific analysis to expand our understanding of public values to inform public deliberation and wise decisions about the future of dams and freshwater systems.
Data accessibility statement
The data used in our analysis are available in a public repository on Figshare and can be accessed via the following link: https://doi.org/10.6084/m9.figshare.11920740.v2. The entire Figshare collection consisting of survey questionnaires, survey technical reports, and the data set can be accessed via the following link: https://doi.org/10.6084/m9.figshare.c.4835607.v1.
Acknowledgments
The Survey Center at the University of New Hampshire conducted all the interviews for the Granite State Poll. Iman Hosseini Shakib created the map in Figure 2. The authors previously published Figures 3–7 in a policy brief (https://dx.doi.org/10.34051/p/2020.362). The authors would like to credit the Carsey School of Public Policy for allowing republication of these figures. The authors would like to thank the anonymous reviewers for their thoughtful and helpful feedback.
Funding
This work was supported by a National Science Foundation EPSCoR award #IIA-1539071. The funders had no role in study design, data collection and analysis, decision to publish, or preparation of the manuscript.
Competing interests
The authors have declared that no competing interests exist.
Author contributions
Research conceptualization: NLD, CMA, and KG.
Data analysis methodology: NLD and LCH.
Data curation, formal analysis, and data visualization: NLD and LCH.
NLD developed the initial draft with significant writing contributions from CMA, LCH, and KG. All participated equally in revisions.
Funding acquisition: CMA and KG. All approved the submitted version for publication.
References
How to cite this article: Diessner, NL, Ashcraft, CM, Gardner, KH, Hamilton, LC. I’ll be dammed! Public preferences regarding dam removal in New Hampshire. Elem Sci Anth, 8: xx.
Domain Editor-in-Chief: Anne R. Kapuscinski, University of California, CA, USA
Associate Editor: Dustin Mulvaney, San Jose State University, CA, USA
Knowledge Domain: Sustainability Transitions
Part of an Elementa Forum: Food-Energy-Water Systems: Opportunities at the Nexus








