Biogenic volatile organic compounds (VOCs) play crucial roles in ecosystems at multiple scales, ranging from mediating soil microbial interactions to contributing to atmospheric chemistry. However, soil VOCs and how they respond to environmental change remains understudied. We aimed to assess how 2 abiotic global change drivers, soil warming and simulated nitrogen (N) deposition, impact soil VOC emissions over time in a temperate forest. We characterized the effect of warming, N deposition, and their interaction on the composition and emissions of soil VOCs during the growing season of 2 consecutive years. We found that chronic warming and N deposition enhanced total VOC emissions at certain times of the year (as high as 332.78 µg m–2 h–1), but that overall VOC composition was not strongly affected by these global change treatments. However, certain compounds, particularly sesquiterpenoids and alkanes, were sensitive to these treatments, with their emissions increasing under both chronic warming and N deposition. Moreover, specific signature VOCs—α-pinene, β-thujone, β-caryophyllene, and 2,4-dimethylheptane—were consistently found under chronic warming and N deposition. This suggests that emissions of specific VOC classes/compounds may increase under global change.
Introduction
Biogenic volatile organic compounds (VOCs) are ubiquitous and govern ecological functions at multiple scales within ecosystems. For example, VOCs are involved in inter- and intraspecies communication—antagonistic and mutualistic—across all kingdoms of life, and they play a role in atmospheric chemistry and element budgets (Kesselmeier and Staudt, 1999). In addition, VOCs are tightly linked with physiological responses to biotic and abiotic conditions, so any change in the environment influences their synthesis and emission (e.g., Monson and Fall, 1989; Lu et al., 2002; Daussy and Staudt, 2020). Compared to knowledge on plant-produced VOCs and how they respond to changes in the environment, soil VOC emissions remain a “black box” (Veraart et al., 2018; Tang et al., 2019; Erktan et al., 2020; Rinnan and Albers, 2020). Understanding how soil VOC emissions respond to changes in the environment is crucial to determine ecosystem impacts in a global change context.
VOC emissions from soil are controlled by their synthesis rate, chemical characteristics, degradation rate, and physical properties (e.g., volatility, solubility; Niinemets et al., 2004; Albers et al., 2018), and they are emitted by various sources, including from microbes and plant roots. Consequently, emission rates are determined by internal factors, such as the physiology of the producing and consuming organisms (Rinnan and Albers, 2020), along with external factors, such as temperature, moisture, and nutrient availability. Since global climate change is affecting ecosystems at all scales, functions governed by VOCs will likely be altered as well. For example, temperature change affects VOC production by wood decay fungi (O’Leary et al., 2019), which could consequently affect decomposition and carbon (C) cycling at the ecosystem scale. Similarly, many VOCs produced by soil microbes affect plant health, both directly and indirectly. For instance, certain microbes produce VOCs which induce plant growth and confer stress resistance (Bitas et al., 2013; Hung et al., 2014; Naznin et al., 2014), in turn influencing VOC emissions by the plant itself. Ultimately, consideration of soil VOC responses to environmental change is imperative for predicting ecosystem responses to climate change across scales.
The contribution of soil VOC emissions to atmospheric chemistry remains an open question in climate models (Tang et al., 2019), but in general, emissions of terpenoids and oxygenated VOCs are commonly reported for soils (Peñuelas et al., 2014). Although abiotic degradation of plant litter can generate VOCs, most litter and soil VOCs are synthesized by microbes (Gray et al., 2010; Insam and Seewald, 2010). Moreover, soil VOC emissions change in response to organic amendments (Abis et al., 2020), stages of decomposition (Gray et al., 2010), temperature (Kramshøj et al., 2016; Svendsen et al., 2018), and edaphic properties, such as moisture (Asensio et al., 2012). Regardless, contributions of soil VOC emissions to atmospheric chemistry under global climate change have not been deeply explored.
Studies examining soil VOC emissions from global change experiments are scarce and have shown mixed responses. For example, in arctic tundra exposed to 6 years of experimental warming, there were no changes in soil VOC emissions (Kramshøj et al., 2016). But nitrogen (N) deposition in a monsoon evergreen broad-leaved forest resulted in decreased VOC emissions (Huang et al., 2021). Similarly, N deposition and warming, in combination, decreased soil VOC emissions in a boreal forest, though the emission of certain VOCs was exacerbated when N deposition or warming occurred alone (Rasheed et al., n.d.). In addition, VOC emissions vary significantly over time. For example, a microcosm experiment analyzing N addition and its effect on VOC emissions showed that emissions varied by time (i.e., days) and decreased with N addition (Christodoulou et al., 2021). Altogether, the response of soil VOC emissions under global change treatments remains inconclusive, with global change drivers, ecosystem type, and time all appearing to be important factors.
The aim of this study was to assess how 2 abiotic global change drivers, soil warming and simulated atmospheric N deposition, impact soil VOC emissions over time. We asked (1) how do soil VOC emissions compare in control plots versus global change treatments? and (2) how do VOC emissions vary seasonally and annually? To address these questions, we measured soil VOC emissions throughout the growing season of 2 consecutive years at a long-term (14-year) global change experiment in a temperate deciduous forest.
Materials and methods
Field site
This work was conducted at the Soil Warming × Nitrogen Addition Study at the Harvard Forest Long-term Ecological Research site in Petersham, MA, USA (42°50′ N, 72°81′ W). This experiment was initiated in 2006 to examine interactions between soil warming and simulated atmospheric N deposition. The experiment is located in an even-aged, mixed deciduous forest stand with a canopy of red and black oak (Quercus rubra, Q. velutina), American beech (Fagus grandifolia), white birch (Betula papyrifera), and red and striped maple (Acer rubrum, A. pensylvanicum). Mean annual temperature at Harvard Forest is 8.3°C and annual precipitation is 1,230 mm (Boose, 2021). Using a completely randomized design, twenty-four 3 × 3 m plots were assigned to 1 of 4 experimental treatments: control, warmed, N addition, and warmed plus N. The heated plots are continuously warmed 5°C above ambient temperature using heating cables buried at 10 cm depth and spaced 20 cm apart, while N deposition plots are fertilized in equal monthly doses of an aqueous solution of NH4NO3 during the growing season (i.e., May to October) at a rate of 5 g N m–2 y–1; interaction plots (i.e., warming plus N) receive both treatments (Contosta et al., 2011). In this study, we sampled 3 plots per treatment (i.e., n = 3).
VOC sampling and analysis
We sampled VOC emissions using a modified LI-COR 8100A infrared gas analyzer (LI-COR Biosciences, Lincoln, NE, USA; Figure S1) with a recirculating mode. Briefly, plastic tubing was changed to polytetrafluoroethylene tubing and adapted to connect to hydrophobic, conditioned, stainless steel adsorbent tubes (150 mg Tenax TA and 200 mf Carbograph 1TD, Markes International, Inc., Llantrisant, UK). The LI-COR was placed on fixed soil collars made of 1.8 cm thick white (to minimize solar heating) polyvinyl chloride (PVC) plastic. The LI-COR has a total volume of 4,823 cm3, the diameter of the collars is 19 cm, and the depth of the collars varies individually as litter accumulation varies by treatment (collar depth ranged from 851 to 1,928 cm3). Thus, the total volume of the chamber when sitting on a collar varied as well. These differences were included in all calculations.
VOCs were collected at a flow rate of 200 ml min–1 for 10 min, followed by a 30-s purge to avoid cross-contamination of samples. All measurements were conducted between 11 AM and 3 PM on the same day (i.e., June 11, 2018, August 10, 2018, October 4, 2018, August 28, 2019, and October 15, 2019), following a randomized plot order, to reduce the confounding effects of variability in climate conditions. After sampling, all adsorbent tubes were tightly capped and stored at 4°C until analysis (Table S1). Blank samples were collected by covering the soil collars with a sterilized plastic cooking bag to account for VOCs released from the sampling or analysis system. It was not possible to collect blank measurements without covering the soil collars, thus, our data include VOCs that might have been emitted by the collars themselves. However, the collars have been in the field for many years, and any PVC-derived emissions are likely negligible. Additionally, we assume these potential VOC emissions are similar across control and treatment plots. Climatic conditions during sampling were obtained for each sampling day from the closest meteorological station at Harvard Forest (i.e., Fisher Meteorological Station) which collects data every 15 min (Boose, 2021; Table S1).
VOCs were analyzed by gas chromatography-mass spectrometry (GC-MS; 7890A GC coupled with a 5975C inert MSD/DS Performance Turbo El System, Agilent Technologies, Santa Clara, CA, USA). Compounds collected in the tubes were thermally desorbed (UNITY2, Markes International, Llantrisant, UK) at 250°C for 10 min, cryofocused at–10°C, and injected onto an HP-5 capillary column (50 m × 0.2 mm; film thickness, 0.5 μm, Agilent Technologies, Santa Clara, CA, USA) with helium as the carrier gas. The column temperature was held at 40°C for 1 min and then increased by 5°C min–1 to 210°C, and again by 20°C min–1 to 250°C. Chromatograms were modeled using PARADISe software (Johnsen et al., 2017). Compounds were identified using pure standards or identified based on mass spectra similarities with the NIST 2014 mass spectral data library, while quantification was performed using pure standards. When a pure standard was not available, quantification was achieved by comparison with the closest structurally related standard in our mixture (e.g., α-pinene for monoterpenoids [MT], β-caryophyllene for sesquiterpenoids [ST], and toluene for benzenoids and other VOCs). Compounds were assigned to one of the following 14 chemical classes: acids, alcohols, aldehydes, alkanes, alkenes, benzenoids (bz), esters, furans, halogens, isoprene, ketones, MT, other, and ST. Datasets from 2018 and 2019 were merged, and emission rates were calculated following Faubert and collaborators (2012); emission rates of samples and emission rates of blanks (Figure S2) were calculated separately, then the relative emission of samples was subtracted from the relative emission of blanks to obtain a final relative emission. Blanks were matched with samples collected on the same day/month, and any negative values resulting from the blank subtraction were converted to zero. The cartridge-based VOC sampling is an accumulation-based approach well-suited for capturing continued VOC emissions over the course of the flux measurement but not for quantifying decreases in headspace VOC concentrations due to soil uptake and cartridge trapping happening simultaneously.
Statistical analyses
We determined treatment effects on total VOC emissions using a one-way repeated measures analysis of variance (ANOVA) with log transformed data; treatment (i.e., control, warming, N, and warming + N) was the independent variable, with plot nested within sampling time as the repeated measures, and VOC emission as the dependent variable. We conducted one-way ANOVAs for each sampling time where treatment was the independent variable, plot the within group variability factor, and VOC emission the dependent variable. One-way ANOVAs with log transformed data were applied to each VOC class using the same approach as described for total VOC emissions. In all cases, we used the Tukey’s post hoc test to assess differences between control and treatments, with P ≤ 0.05 used to indicate significant differences.
To visualize differences between treatments and sampling times, we performed nonmetric multidimensional scaling (NMDS) ordination using Bray–Curtis distance values. Similarly, we used Venn diagrams to visualize and compare VOC composition between treatments (Oliveros, 2015). Finally, we used indicator species analysis to determine whether there were specific VOCs with strong positive responses to any of the treatments (De Cáceres et al., 2010). All analyses were done in R (R Core Team, 2018).
Results and discussion
We observed differences in VOC compounds and emission rates between years. A total of 142 VOCs were observed in the first year (2018), with 53 being unique to this year (Figure 1). Fewer VOCs, 121 in total, were observed in the second year (2019), 32 of which were only found in this year. A subset of VOCs (89 in total) was found in both years. Of the total VOCs, 137 and 74 were found across all treatments in the first and second year, respectively. There were few VOCs (<3 each year) unique to a specific treatment. VOC composition varied by sampling date, but in general, greater than 50% of VOC compounds were found in all treatments regardless of sampling date (Figure S3). A complete VOC list, including unique VOCs per treatment and sampling date, can be found in File S1.
Number of volatile organic compounds (VOCs) observed at the Soil Warming × Nitrogen Addition Study at Harvard Forest for 4 treatments (control, warmed, nitrogen deposition, and warmed plus nitrogen deposition [W × N]), 5 sampling times, and 2 consecutive years. Numbers above the brackets indicate the total number of VOCs found in each year, while numbers below the brackets indicate the number of unique VOCs found in each year versus those found in both years (overlapping area). Individual Venn diagrams for each year show the number of unique and overlapping VOCs for each experimental treatment. Diagrams for individual sampling times can be found in Figure S2. The complete list of VOCs can be found in File S1. The areas in the diagram are not proportional to overlap. DOI: https://doi.org/10.1525/elementa.2021.00065.f1
Number of volatile organic compounds (VOCs) observed at the Soil Warming × Nitrogen Addition Study at Harvard Forest for 4 treatments (control, warmed, nitrogen deposition, and warmed plus nitrogen deposition [W × N]), 5 sampling times, and 2 consecutive years. Numbers above the brackets indicate the total number of VOCs found in each year, while numbers below the brackets indicate the number of unique VOCs found in each year versus those found in both years (overlapping area). Individual Venn diagrams for each year show the number of unique and overlapping VOCs for each experimental treatment. Diagrams for individual sampling times can be found in Figure S2. The complete list of VOCs can be found in File S1. The areas in the diagram are not proportional to overlap. DOI: https://doi.org/10.1525/elementa.2021.00065.f1
The presence/absence of specific compounds varied significantly with treatment and time, with no consistent trends observed for most compounds. For instance, p-xylene was present in all treatments in both samplings in the second year, but absent from the N deposition and control treatment, on the first and third sampling of the first year, respectively (Table S2 and File S1). Most other VOCs behaved similarly. Other studies have reported significant treatment and time (annual and seasonal) variation in soil VOCs. For example, in a study analyzing the effects of VOCs under warming and N addition in a boreal forest, the monoterpenes, carvacol, and α-thujene were present under N addition but were not detected under control or warmed conditions (Rasheed et al., 2021). Similarly, a study analyzing soil VOC emissions in an N fertilized rosemary plant–soil system detected changes in the presence of specific VOCs in response to N fertilizer; notably, p-xylene, hexane, 1-hydroxy-2-propanone, and 2-phenylindolizine were only present in fertilized but not control soils (Christodoulou et al., 2021). Contrastingly, acetaldehyde and isopropyl alcohol were only present in unfertilized soils.
Total VOC emissions were higher in the first (average emission across all treatments, 6.48 µg m–2 h–1) compared to the second year of sampling (2.11 µg m–2 h–1), with total emissions being significantly higher in treatments compared to controls but only in Year 1 (P < 0.01; Figure 2); this result was possibly driven by emissions recorded in late summer (i.e., August and October 2018), since both samplings showed significant differences between control and global change treatments (Figure 3). Yearly differences in VOC emission rates have been reported for other ecosystems experiencing global change treatments. For example, VOC emissions increased under warming in an arctic fen, where isoprene emissions were higher in Year 2 compared to Year 1 (i.e., emissions increased from 10.1 to 70.5 µg m–2 h–1; Lindwall et al., 2016). In fact, temporal variations at all scales are common when measuring VOCs, as emission rates can change even on an hourly basis (e.g., Lindwall et al., 2015; Debevec et al., 2021). In our study, environmental conditions in October of Year 1 were characterized by high relative humidity, low global solar radiation, and intermediate temperature compared to all other sampling dates (Table S1). In addition, it rained 48 h prior to this sampling date, which could have contributed to higher soil moisture and thus, higher microbial activity; increased VOC emissions after wetting events has been previously reported (e.g., Rossabi et al., 2018). This combination of environmental factors may have contributed to higher emission rates on this particular sampling date.
Total soil volatile organic compound (VOC) emissions at the Soil Warming × Nitrogen Addition Study at Harvard Forest for 5 sampling times across 2 consecutive years. Box and whisker plots show lower and upper quartiles, mean, and lowest and highest observations. Each point represents total VOC emissions per plot replicate per sampling time, with 3 replicates per treatment at 2 or 3 sampling time points in 2018 and 2019, respectively. Repeated measures analysis of variance P-values are given for each year. Asterisks indicate significant differences at P ≤ 0.05 compared to control in Tukey’s post hoc tests. C = control; W = warmed; N = nitrogen deposition; W × N = warmed plus nitrogen deposition. DOI: https://doi.org/10.1525/elementa.2021.00065.f2
Total soil volatile organic compound (VOC) emissions at the Soil Warming × Nitrogen Addition Study at Harvard Forest for 5 sampling times across 2 consecutive years. Box and whisker plots show lower and upper quartiles, mean, and lowest and highest observations. Each point represents total VOC emissions per plot replicate per sampling time, with 3 replicates per treatment at 2 or 3 sampling time points in 2018 and 2019, respectively. Repeated measures analysis of variance P-values are given for each year. Asterisks indicate significant differences at P ≤ 0.05 compared to control in Tukey’s post hoc tests. C = control; W = warmed; N = nitrogen deposition; W × N = warmed plus nitrogen deposition. DOI: https://doi.org/10.1525/elementa.2021.00065.f2
Soil volatile organic compound (VOC) emissions at the Soil Warming × Nitrogen Addition Study at Harvard Forest for each sampling time across 2 consecutive years. Total emissions (height of bars) are divided into VOC classes (denoted by different colors). Asterisks indicate significant differences for total emissions (P ≤ 0.05) for treatments compared to control plots as determined using Tukey’s post hoc tests. Error bars represent standard error of the mean. C = control; W = warmed; N = nitrogen deposition, W × N = warmed plus nitrogen deposition; Bz = benzenoids; MT = monoterpenoids; ST = sesquiterpenoids. DOI: https://doi.org/10.1525/elementa.2021.00065.f3
Soil volatile organic compound (VOC) emissions at the Soil Warming × Nitrogen Addition Study at Harvard Forest for each sampling time across 2 consecutive years. Total emissions (height of bars) are divided into VOC classes (denoted by different colors). Asterisks indicate significant differences for total emissions (P ≤ 0.05) for treatments compared to control plots as determined using Tukey’s post hoc tests. Error bars represent standard error of the mean. C = control; W = warmed; N = nitrogen deposition, W × N = warmed plus nitrogen deposition; Bz = benzenoids; MT = monoterpenoids; ST = sesquiterpenoids. DOI: https://doi.org/10.1525/elementa.2021.00065.f3
Across all sampling times, the emissions of specific VOC classes did not differ significantly between control and global change treatments, with the exception of ST and alkanes (P = 0.02 and P < 0.01, respectively). ST were emitted at higher rates under warming plus N in late summer (i.e., August and October) of Year 1 (P < 0.01) compared to controls. Similarly, alkanes were emitted at higher rates under all treatments in October of Year 1 (Figure 4). ST and alkane emissions are commonly reported for soils and are known to be produced by many different saprotrophic microbes (Peñuelas et al., 2014; Bourtsoukidis et al., 2018; Tang et al., 2019). Specifically, ST emissions have been directly linked to increases in soil temperature (Mäki et al., 2017), which is partially in accordance with our results (Figure 4). Even though during our sampling in October 2019, average temperature was lower compared to August and October 2018 (Table S1), the emission of sesquiterpenes under some treatments were on average higher, but not significantly different to control (Figure 4).
Total sesquiterpenoid (ST) and alkane emissions across treatments, sampling times, and years. Box and whisker plots show lower and upper quartiles, mean, and lowest and highest observations. Each point represents total sesquiterpenoid and alkane emissions per plot replicate per sampling time, with 3 replicates per treatment at 2 or 3 sampling time points in 2018 and 2019, respectively. Asterisks indicate significant differences at P ≤ 0.05 compared to control in Tukey’s post hoc tests. C = control; W = warmed; N = nitrogen deposition; W × N = warmed plus nitrogen deposition. DOI: https://doi.org/10.1525/elementa.2021.00065.f4
Total sesquiterpenoid (ST) and alkane emissions across treatments, sampling times, and years. Box and whisker plots show lower and upper quartiles, mean, and lowest and highest observations. Each point represents total sesquiterpenoid and alkane emissions per plot replicate per sampling time, with 3 replicates per treatment at 2 or 3 sampling time points in 2018 and 2019, respectively. Asterisks indicate significant differences at P ≤ 0.05 compared to control in Tukey’s post hoc tests. C = control; W = warmed; N = nitrogen deposition; W × N = warmed plus nitrogen deposition. DOI: https://doi.org/10.1525/elementa.2021.00065.f4
NMDS analysis on composition profiles of individual VOCs showed no clustering based on treatment, but there were 2 major clusters corresponding to year (Figure 5); some differentiation between sampling months can be observed in Year 1. Year clustering was always apparent regardless of which data were included. For example, NMDS analysis including only the highest or lowest emitted VOCs showed similar results (Figure S4A and S4B). NMDS by year also showed no treatment clustering (Figure S4C and S4D). In all cases, clustering based on year is potentially due to differences in VOC profiles, as VOC profiles differed by year, and each year had a high number of unique VOCs (Figure 1). Other studies looking at soil VOC emissions and how they cluster in response to environmental change also found that there was little differentiation in VOCs in treatment compared to control samples (Christodoulou et al., 2021). Overall, in our study, lack of clustering based on treatment is consistent with previous analyses showing few significant differences for VOC classes and their emissions in response to specific global change treatments.
Differences in total volatile organic compound emissions between treatments and sampling times at the Soil Warming × Nitrogen Addition Study at Harvard Forest depicted by nonmetric multidimensional scaling ordination. Different treatments are shown in different colors, and different symbols represent sampling times. DOI: https://doi.org/10.1525/elementa.2021.00065.f5
Differences in total volatile organic compound emissions between treatments and sampling times at the Soil Warming × Nitrogen Addition Study at Harvard Forest depicted by nonmetric multidimensional scaling ordination. Different treatments are shown in different colors, and different symbols represent sampling times. DOI: https://doi.org/10.1525/elementa.2021.00065.f5
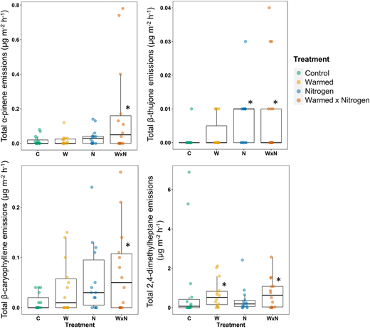
In general, the emissions of specific compounds did not differ significantly, except for α-pinene, β-thujone, β-caryophyllene, and 2,4-dimethylheptane. These 4 compounds showed significantly higher emissions under warming plus N compared to control (Figure 6). In addition, indicator species analysis showed α-pinene and β-thujone as indicator VOCs for warming plus N meaning that they showed a strong positive response under this global change treatment across all sampling times. β-thujone was also an indicator VOC for N deposition, and 2,4-dimethylheptane showed significantly higher emissions under warming compared to control. α-pinene, β-thujone, and β-caryophyllene are emitted by a wide variety of organisms, microbes included, and are known to have antimicrobial properties (Rivas da Silva et al., 2012; Francoeur et al., 2020; Zámboriné Németh and Thi Nguyen, 2020). Moreover, microbes are known to use these terpenes as C sources and to catalyze them into smaller terpenoids (e.g., α-pinene to terpineol; Bier et al., 2011; Lee et al., 2015). 2,4-dimethylheptane is a common VOC in plants and fungi (Micheluz et al., 2016), and although its function as a fungal metabolite is unknown, it may be similar to the antimicrobial function it has in some plants (Xu et al., 2019; Tian et al., 2020). Because in our study the sources of emissions of these VOCs are unknown, we cannot assert what their function or purpose may be. However, previous studies have shown that warming and soil N deposition reduce fungal-to-bacterial biomass in temperate ecosystems and restructure the microbial community (Frey et al., 2004; Frey et al., 2008; Contosta et al., 2015); consequently increased emissions of certain VOCs may be due to changes in microbial biomass and community composition.
α-pinene, β-thujone, β-caryophyllene, and 2,4-dimethylheptane emissions. Box and whisker plots show lower and upper quartiles, mean, and lowest and highest observations plotted. Each point represents an individual measurement per plot replicate per sampling time, with 3 replicates per treatment at 2 or 3 sampling time points in 2018 and 2019, respectively. Asterisks indicate significant differences at P ≤ 0.05 as determined by indicator species analyses. C = control; W = warmed; N = nitrogen deposition, W × N = warmed plus nitrogen deposition. DOI: https://doi.org/10.1525/elementa.2021.00065.f6
α-pinene, β-thujone, β-caryophyllene, and 2,4-dimethylheptane emissions. Box and whisker plots show lower and upper quartiles, mean, and lowest and highest observations plotted. Each point represents an individual measurement per plot replicate per sampling time, with 3 replicates per treatment at 2 or 3 sampling time points in 2018 and 2019, respectively. Asterisks indicate significant differences at P ≤ 0.05 as determined by indicator species analyses. C = control; W = warmed; N = nitrogen deposition, W × N = warmed plus nitrogen deposition. DOI: https://doi.org/10.1525/elementa.2021.00065.f6
Conclusion
Chronic soil warming and N additions exacerbated total VOC emissions at certain times of the year but did not affect the overall composition of VOCs emitted from the soil. That is, most VOCs were observed in control and treatment plots alike with comparable emission rates. However, ST and alkanes had higher emission rates under the global change treatments, though only at certain times of the year. In addition, α-pinene, β-thujone, β-caryophyllene, and 2,4-dimethylheptane showed a strong positive response to both chronic warming and N deposition. Although we did not attempt to link our results to the underlying mechanisms governing VOCs release, we suspect that microbial community dynamics may explain the observed patterns in VOC composition and emission patterns. We stress the importance of repeated sampling throughout the growing season and across multiple years to get a realistic view of soil VOC emissions. Seasonal and annual variability may be an important factor to consider when assessing VOC emissions in response to global change drivers. Studying the temporal variability of VOC emissions coupled with soil microbial community dynamics may provide a mechanistic understanding of how and why VOC emissions vary across space and time.
Data accessibility statement
All data, statistical scripts, and test results are deposited at https://github.com/adriluromero/SWaN_VOCs. Weather data for Harvard Forest LTER is available online at https://harvardforest.fas.harvard.edu/harvard-forest-data-archive.
Supplemental files
The supplemental files for this article can be found as follows:
Figures S1–S4, Table S1. Docx
Table S2. xlsx
Text S1. txt
Acknowledgment
We thank Mel Knorr and Jovani Catalán-Dibene for field assistance and Marios Vazakas for GC-MS analyses and two anonymous reviewers for their valuable feedback.
Funding
The Soil Warming × Nitrogen Addition Study at Harvard Forest is maintained with support from the NSF Long Term Ecological Research (LTER; DEB-1832110, 1832110) and Long-Term Research in Environmental Biology (LTREB; DEB-1456610, 1949958) Programs. Postdoctoral fellowship support to ALR-O was provided by the New Hampshire Agricultural Experiment Station (NH-AES) and the Diversity and Innovation Scholars Program at the University of New Hampshire. CLD-M, MK, and RR were supported by the Danish Council for Independent Research | Natural Sciences (DFF–4181-00141) and the European Research Council (ERC) under the European Union’s Horizon 2020 research and innovation program (grant agreement No 771012).
Competing interests
The authors declare no competing interests.
Author contributions
Contributed to conception and design: ALR-O, SDF.
Contributed to acquisition of data: ALR-O, CLD-M, MK.
Contributed to analysis and interpretation of data: ALR-O, CLD-M, MK, RR, SDF.
Drafted the article: ALR-O, SDF.
Revised the article: ALR-O, CLD-M, MK, RR, SDF.
Approved the submitted version for publication: ALR-O, CLD-M, MK, RR, SDF.
References
How to cite this article: Romero-Olivares, AL, Davie-Martin, CL, Kramshøj, M, Rinnan, R, Frey, SD. 2022. Soil volatile organic compound emissions in response to soil warming and nitrogen deposition. Elementa: Science of the Anthropocene 10(1). DOI: https://doi.org/10.1525/elementa.2021.00065
Domain Editor-in-Chief: Steven Allison, University of California, Irvine, CA, USA
Guest Editor: Moira Hough, Soil, Water and Environmental Science, The University of Arizona, Tucson, AZ, USA
Knowledge Domain: Ecology and Earth Systems
Part of an Elementa Special Feature: The World of Underground Ecology in a Changing Environment
![Number of volatile organic compounds (VOCs) observed at the Soil Warming × Nitrogen Addition Study at Harvard Forest for 4 treatments (control, warmed, nitrogen deposition, and warmed plus nitrogen deposition [W × N]), 5 sampling times, and 2 consecutive years. Numbers above the brackets indicate the total number of VOCs found in each year, while numbers below the brackets indicate the number of unique VOCs found in each year versus those found in both years (overlapping area). Individual Venn diagrams for each year show the number of unique and overlapping VOCs for each experimental treatment. Diagrams for individual sampling times can be found in Figure S2. The complete list of VOCs can be found in File S1. The areas in the diagram are not proportional to overlap. DOI: https://doi.org/10.1525/elementa.2021.00065.f1](https://ucp.silverchair-cdn.com/ucp/content_public/journal/elementa/10/1/10.1525_elementa.2021.00065/1/m_elementa.2021.00065.f01.png?Expires=1712661713&Signature=Ff6cge8BasGYC3upktYAVa-jrwz8C4GItbB6E0zi260qO87URSEr1UxINLlHX8Gwu-MsrwneiXhNwx-WFCB2FdGLvMsbjAezaWZ8np1VcXzRJcrN4Q69hhB1FJU3gjk9-SDVT~AEQ2QU9oj-yaeatkwieFCw2iTN5aCbbSKBxWGTdgD7JRnpIlJCQz1OZiufjdF~wirbuwN7CwNlpm9CUIYwkl1YYChDFVZYzPUWe1F8AleF-WkHMIYFOdRi91fyD24lryOAOYjbb3wr77t0nN2uRWxF-zPuNCv2lr1ZlrgEwViqYWynv3zcJd0bccvMf8DDTN0brTPIsIvSWWiJfw__&Key-Pair-Id=APKAIE5G5CRDK6RD3PGA)




