In the developed world, discussions of climate change mitigation and adaptation tend to focus on technological solutions such as decarbonizing electric grids and regulating emissions of methane, black carbon, and so on. However, an often overlooked strategy for reaching greenhouse gas reduction targets in much of the developing world is rooted, not in new technologies, but in vegetation management. Trees and other vegetation absorb carbon as they grow and release carbon when they are burnt, so landscapes function as carbon sinks and carbon storage sites when forests are growing, on one hand, and as carbon sources when forests are cleared, on the other. Since greenhouse gas emissions from such land use changes rival emissions from the entire transport sector, trees and vegetation are essential to efforts to slow and adapt to climate change. Under the right circumstances, vegetation recovery and its carbon uptake occur quickly. Moreover, carbon uptake can be strongly affected by human management of forests; the right kinds of management can improve rates of recovery and carbon sequestration substantially. This chapter reviews carbon dynamics in mature forests, secondary forests, agroforests and tree landscapes in urban areas to point out the variability of these systems and the potential for enhancing carbon uptake and storage. Furthermore, vegetation systems have many additional benefits in the form of other environmental services, such as improving livelihoods, subsistence insurance habitat, microclimates, and water systems. Finally, by managing forests better, we can also make significant contributions to climate justice because most global forests and forested landscapes are under the stewardship of small holders.
Introduction
Forests, Carbon, and the Additional Benefits of Woodlands
Global forests store about a trillion tons of carbon [1]. Forests—whether temperate or tropical, and with closed or open canopy—are the largest terrestrial sink of carbon, comprising about 25% of the planetary carbon budget [2]. This is roughly equivalent to the carbon sequestered, or kept out of the atmosphere, by the oceans [3]. The 2015 Paris Climate Agreement among 196 countries calls for achieving a balance between the anthropogenic emissions by sources and removal by sinks in the second half of this century. Most temperate zone and developed world strategies focus on cutting carbon emissions through changes in technology and energy consumption in order to “bend the curve” of climate change below the projected 2+ degrees centigrade. However, to achieve the Paris goals, enhancement of forest-based carbon (C) removals to mitigate emissions in other sectors will be a critical component of any collective global strategy for achieving carbon neutrality [4,5]. Any attempt at carbon neutrality must have significant forest and landscape dimensions. Forests cover a large area of the planet, especially in comparison to the 3% of the Earth’s surface occupied by cities. In the short term, carbon uptake by vegetation and storage in biotic systems is one of the most rapid and promising strategies for addressing emissions.
In the United States (US), Carbon sequestration in forests offsets about 10–15% of emissions from transportation and energy sources and may help to significantly reduce the overall costs of achieving emission targets set by the Paris Agreement [1]. Without improving the extent, health, and productivity of these forests, the sequestration capacity may reduce because of climate change and increasing disturbance [6]. Many climate change adaptation enterprises will certainly involve enhancing tree landscapes at many scales. Such improvements provide additional “ecosystem services,” or positive impacts for people, from shading buildings and buffering cities against storms to making agricultural and grazing landscapes more productive.
With the recent prominence of Reduced Emissions from Deforestation and Degradation (REDD+), more than sixty, mostly tropical, countries place forests at the center of their climate strategies as part of the 2015 Paris Climate Accords, which make special provision “to conserve and enhance sinks and reservoirs of greenhouse gases through results based payments”—which is more generally known as REDD+. While many discussions of climate solutions focus on technological change, energy demand, and reactivating energy resources such as nuclear power, there are significant and rapid carbon uptake gains to be made through managing landscape systems. Changes in landscape management are generally more decentralized than changes in technology and energy, especially in the tropics where most of this sequestration and storage takes place [7,8,9]. We also emphasize that there are gains to be made “at the margins” through improvement of secondary, agricultural, and urban forests with positive mitigation and adaptation outcomes.
Many technological solutions to climate change define the benefits by human gains and goals. These approaches usually require rarified knowledge systems and complex technologies such as electric cars and solar panels; they have narrowly specified outcomes and are often highly monetized. In contrast, forest and landscape improvement provides many additional benefits for humans, non-humans, and biophysical processes with relatively low entry and management costs. These co-benefits—or environmental services—improve the health of the biosphere as well as the hydrological and microclimatic systems that play an important role in the maintaining the carbon sequestration capacity of the Earth. This “broad spectrum” quite direct enhancement, in addition to GHG uptake and storage, is unmatched by any other intervention to avoid climate disruption.
We frame this paper by exploring the multifunctionality of arboreal systems, including their carbon uptake (or sequestration) and storage. We emphasize the importance not only of dense tropical forests, but also of inhabited landscapes shaped by people—such as secondary forests, mixed agricultural systems, and cities and their environs—and discuss where such landscapes fit in climate policy and practices. We begin by introducing the ideas of multifunctionality and climate justice, but then move to specific contributions to carbon uptake in a range of forest types, including “agroforests,” or forests people use to grow food, as well as urban and peri-urban forests. We conclude with the question of GHG uptake in urban areas and how researchers are rethinking the greenhouse gas footprint of cities, including urban waste. We emphasize that “bending the curve” of climate change below 2+ degrees centigrade is not simply a technical issue of planting more trees, although that is part of it. “Bending the curve” also involves reassessing our relationship to nature and creating political economies, institutions, and practices that support biotic processes as one of the central responses to climate change.
Forest Multifunctionality
Woodlands ranging from the high biomass forests of the humid tropics to the peri-urban and urban arborizations, especially in the developing world, all provide ecosystem services that go well beyond carbon. Many of these are summarized in the Table 1.
The Multifunctionality and Co-Benefits of Woodlands.
. |
|---|
| Forests have many functions, and the practices of preserving forests and planting trees have many benefits besides carbon uptake and storage. Forests and other tree landscapes provide: |
|
. |
|---|
| Forests have many functions, and the practices of preserving forests and planting trees have many benefits besides carbon uptake and storage. Forests and other tree landscapes provide: |
|
This impressive list of additional benefits provided by tree systems helps explain why between 800,000 and 1.4 billion people on the planet are at least periodically dependent on forest resources for their livelihoods, labor markets, agricultural inputs, building and artisanal materials, subsistence, and survival “insurance” in difficult times [20,21,22,23,24,25,26]. North American mainstream views of the environment that strongly segment land uses have difficulty “seeing” such heterogeneous systems in part because of the conceptual construction (and constriction) of “types” of nature into wild, agricultural, and urban systems which are assumed to have little overlap. This perception is far less prevalent in the developing world, but these separations, which have a venerable history, have led to many policy distortions [27]. The fact that human use of woodlands can be periodic, seasonal, dispersed, or indirect further obscures the importance of forested landscapes.
Forests reflect biotic, social, and symbolic systems. Forests occur in wild landscapes, in inhabited and working landscapes of varying forms and intensities, and in highly “unnatural landscapes” like cities. The ubiquity and extent of forests also contributes to their invisibility. Woodlands are culturally complex; they have rich social and ecological capacities as well as social and ecological vulnerabilities. Forests embody ideologies, knowledge regimes, institutional approaches to land control and land access, human symbolic meaning, sensitivity to economic signals, and diverse power relations among local, national, and international stakeholders. While woodlands and pastures are generally viewed as parts of wild or distant nature, in this chapter we emphasize the pervasive arboreal nature of even urban areas as critical sites of woody and other biota-based “carbon plus” environmental services. Just as an example, in a survey of over a thousand urban households in South Africa, non-timber forests products contributed 20% of household income [28,29,30], a finding hardly unique to South Africa [25,31,32,33]. Animal production is also often a considerable part of urban food production in cities, both in the developing world and the US [34,35,36].
Peri-urban areas—or areas surrounding cities—are also increasingly important in this regard as intersections between wildlands, agricultural lands, and cities. Peri-urban areas often host complex agronomic systems with tree components on the urban fringes, in landscapes through which people migrate to the city [35,37,38,39,40,41,42,43].
Far more than any other climate mitigation or adaptation “technology,” forest systems of multiple types engage large portions of the planet’s residents. People of many cultures, backgrounds, and material capacities are, in fact, already taking part in global woodland dynamics as part of formal and informal systems of management and access, as well as through consumption of forest products, economic activity, and aesthetic and symbolic practices. Landscape systems are by far the most inclusive forms of intervention for “bending the curve” of climate change below 2+ degrees centrigrade. This helps explain why wooded landscapes from wildlands to urban regions produce faster results for GHG uptake and at larger scales than most other technological interventions in carbon mitigation, as we will show later in this paper.
Our own Western enchantment with technology blinds us to the importance of living landscapes and the contributions of their “soft technologies.” In part, this is because the management and stewardship of woodlands is imbricated in a vast set of social relations, institutions, socio-political forces, economic imperatives, and global pressures that are not especially amenable to reductionist analysis, uniform scales, or even necessarily classic forms of scientific inquiry. Further, these systems are ubiquitous, although very under-appreciated, and for this reason, some of the urban and peri-urban dynamics of woodlands and their “footprints” remain almost invisible [23,42,44,45,46,47]. These kinds of “invisibilities” have occluded attention to secondary forests and extensive home gardens for decades [48].
Climate Justice
The term climate justice, when used in a restricted sense for policy purposes, means addressing the economic disparity between those societies that now generate and have historically generated most GHGs, on one hand, and those that have borne the brunt of the effects of climate change, on the other. Climate justice involves not only compensating those who suffer the consequences of climate instabilities [49,50], but also, some argue, allowing them to participate in developing policies with climate consequences that affect them (such as policies about mining, REDD, the siting of pipelines and processing plants, and so on). A definition of climate justice that goes beyond economics (including a normative call for intergenerational equity, resources transfers, and sustainable development) can be found in chapter 8 of this report.
The decentralized nature of the problem of climate justice, the question of intentionality, and the difficulty of taking collective action to address climate injustice present serious ethical and practical challenges. These challenges involve problems of scale, unforeseen impacts, interactive outcomes among agents, power relations, and diffuse consequences that dramatically transform the vulnerabilities of populations whose carbon footprint and historic responsibility for planetary carbon loads and other GHGs are minimal. These indirect effects are compounded by globally divergent consumption patterns, limited capacities for resilience of states and communities, and augmented vulnerabilities [51]. The current explosive fires in the American west, continuing “record” flooding in the Mississippi and Missouri valleys, and hyper severe tornedo seasons highlight that climate justice and climate vulnerability is a class issue in environmental justice in developed countries as well.
The means of compensation so far have mainly taken the form of fiscal transfers, provisioning of social services, and in some cases infrastructure improvement. Broader approaches could include support for rural livelihoods, improvement of urban and peri-urban biotic amenities, jobs, compensation for environmental services (such as but not limited to REDD), adaptation investments and programs that focus on reducing vulnerabilities of regions and populations most at risk from climate change. Economic support for carbon absorptive production systems like agroforestry, urban community arborization, conservation investments within inhabited landscapes, and new institutions and ideologies that support such approaches can enact a wide number of interventions, seeking input from local populations and capitalizing on local innovations [52,53,54,55].
REDD might usefully focus on secondary and agro-forests, but so far most carbon offsets have emphasized standing old growth forests with conservation support, such as Noel Kempff Mercado National Park in Bolivia and the Juma Reserve in Amazonas [53,55,56,57,58]. Brazil’s “Bolsa Florestal” program and Ecuador’s “Socio-Bosque” program provide a modest subsidy to forest dwellers to conserve forests and alleviate poverty. Such REDD+ programs have raised many questions about tenurial arrangements (who owns and who has rights to occupy and use the land and other resources), distribution of economic benefits, inclusion, competition among governance strategies and institutions, and compliance and monitoring. All of these questions have significant climate justice implications [58,59,60]. While many actors are trying to build flexibility into the programs, REDD runs the risk of being excessively overarching and falling prey to the vice of becoming a “development fad,” abandoned and reviled a few years later. Given the problems that currently plague the carbon cap and trade markets, this is a real risk for REDD programs specifically and to addressing problems at the “transnational level” in general. Global policies may be unable to deal with resistance on the ground; in part, this results from the importance of forest goods in people’s livelihoods and to their wellbeing. Article Five of the Paris Accords helped draw global attention to forests, but most of the language revolves around “wildlands,” rather than working landscapes, and many complexities remain [58,61,62]. Such working woodland areas are crucial for livelihoods and livelihood supplements in rural and urban economies throughout the world, where an estimated billion people are forest-dependent to some degree [33,63,64,65,66]. In a recent transnational set of studies in rural areas, about 30% of the livelihood products—including food, forage, fuel, building materials, and so on—were derived from forest ecosystems [67,68,69,70].
Smaller Scale, Bigger Impact?
Many subnational approaches, such as the 100 Resilient Cities initiative, seem to have more traction on climate justice concerns. As international REDD programs wait to get off the ground, national governments increasingly look to regional forests to offset their own emissions. This actually puts forest questions at the heart of climate justice issues, since most rural development policy increasingly focuses on a few global and regional markets and high-input commodities. While forest policy has garnered increased visibility, attention to it has revolved strongly around conservation and climate. Development policies focused on forest-based rural livelihoods have received less attention, in spite of the best efforts of international organizations such as the Center for International Forestry Research (CIFOR) and La Via Campesina, the international peasant movement for small-scale sustainable agriculture [71,72,73,74].
Access to forests and their products are changing, and traditional uses may be criminalized in some GHG offset regimes [9,53,75,76,77]. Insecure tenure regimes may precipitate land grabs and forest conversion. For this reason, it is essential to work with local communities and with multiple forms of local knowledge in order to design effective systems. We must make sure that carbon offsets do not become a new form of expropriation, assuaging the guilt of GHG gluttons while marginalizing and criminalizing those whose livelihoods depend on functioning forests. This is a critique that is regularly leveled at REDD. Woody systems have the potential to both sequester carbon and help alleviate poverty through subsistence and market goods, although the magnitude remains controversial [78,79,80,81,82].
In the next sections we outline several dynamics that we suggest have important effects for bending the curve. We look at six processes in terms of both how they can mitigate climate change and how they can help people and ecosystems adapt to it. These processes are: 1) slowing deforestation; 2) forest resurgence; 3) agroforestry and matrix systems; 4) urban and peri-urban forests in carbon dynamics; and finally 5) the urban waste system and methane management. All these strategies occur within highly conjunctural social, market, institutional, cultural, and environmental conditions of possibility, and all are highly interactive and reactive to economic, environmental, and political volatilities. History, economics, politics, culture, institutions, and questions of epistemology shape these dynamics far more than we imagine.
Forests and Forests by Other Names: The Biotic Dynamics and Social Lives of Woodlands
The Global Forest Carbon Sink: Magnitude and Dynamics
Forest lands store about a trillion tons of carbon, roughly 25% of global carbon, about as much as the oceans. Tropical rainforests convert more carbon into biomass than any other terrestrial system, and so their dynamics have been most widely studied and are especially important to carbon neutral development strategies anywhere on the planet. Wooded ecosystems of varying biomass and cover have already been invented, they are readily accessible in most biomes, and they can be manipulated to capture and store even more carbon in most cases. There are also vast local and scientific knowledge systems about their management and reproduction. Table 2 outlines carbon sequestration by forests across the major forest biomes.
Carbon Sequestration by Forests Across Major Biomes. Estimated annual change in C stock (Tg C year–1) by biomes by country or region for the time periods of 1990 to 1999 and 2000 to 2007. Estimates include C stock changes on “forest land remaining forest land” and “new forest land” (afforested land). The uncertainty calculation refers to the supporting online material. ND, data not available; [1], litter is included in soils. Source: Pan et al. [10].
| . | 1990–1999 . | 2000–2007 . | ||||||||||||||
|---|---|---|---|---|---|---|---|---|---|---|---|---|---|---|---|---|
| . | . | . | ||||||||||||||
| Biome and country/region . | Biomass . | Dead wood . | Litter . | Soil . | Harvested wood product . | Total stock change . | Uncertainty (±) . | Stock change per area (Mg C ha–1 year–1) . | Biomass . | Dead wood . | Litter . | Soil . | Harvested wood product . | Total stock change . | Uncertainty (±) . | Stock change per area (Mg C ha–1 year–1) . |
| . | (Tg C year–1) . | (Tg C year–1) . | ||||||||||||||
| Boreal* | ||||||||||||||||
| Asian Russia | 61 | 66 | 63 | 45 | 19 | 255 | 64 | 0.39 | 69 | 97 | 43 | 42 | 13 | 264 | 66 | 0.39 |
| European Russia | 37 | 10 | 22 | 36 | 41 | 146 | 37 | 0.93 | 84 | 19 | 35 | 35 | 26 | 199 | 50 | 1.21 |
| Canada | 6 | –24 | 14 | 6 | 23 | 26 | 7 | 0.11 | –53 | 16 | 19 | 7 | 21 | 10 | 3 | 0.04 |
| European boreal† | 13 | 0 | 3 | 38 | 11 | 65 | 16 | 1.12 | 21 | 0 | 4 | –10 | 13 | 27 | 7 | 0.45 |
| Subtotal | 117 | 53 | 103 | 125 | 94 | 493 | 76 | 0.45 | 120 | 132 | 101 | 74 | 73 | 499 | 83 | 0.44 |
| Temperate* | ||||||||||||||||
| United States‡ | 118 | 6 | 13 | 9 | 33 | 179 | 34 | 0.72 | 147 | 9 | 18 | 37 | 28 | 239 | 45 | 0.94 |
| Europe | 117 | 2 | 8 | 81 | 24 | 232 | 58 | 1.71 | 137 | 2 | 9 | 65 | 27 | 239 | 60 | 1.68 |
| China | 60 | 22 | 15 | 31 | 7 | 135 | 34 | 0.96 | 115 | 24 | 8 | 28 | 7 | 182 | 45 | 1.22 |
| Japan | 24 | 9 | ND | 19 | 2 | 54 | 14 | 2.28 | 23 | 5 | ND | 8 | 2 | 37 | 9 | 1.59 |
| South Korea | 6 | 2 | ND | 5 | 0 | 14 | 4 | 2.14 | 12 | 2 | ND | 4 | 0 | 18 | 5 | 2.86 |
| Australia | 17 | ND | 10 | 15 | 8 | 50 | 13 | 0.33 | 17 | ND | 10 | 14 | 10 | 51 | 13 | 0.34 |
| New Zealand | 1 | 0 | 0 | 1 | 5 | 7 | 2 | 0.91 | 1 | 0 | 0 | 1 | 6 | 9 | 2 | 1.05 |
| Other countries | 1 | ND | ND | ND | 0 | 1 | 1 | 0.07 | 2 | 0 | 0 | 0 | 0 | 3 | 2 | 0.18 |
| Subtotal | 345 | 42 | 46 | 160 | 80 | 673 | 78 | 0.91 | 454 | 42 | 45 | 156 | 80 | 777 | 89 | 1.03 |
| Tropical intact | ||||||||||||||||
| Asia | 125 | 13 | 2 | ND | 5 | 144 | 38 | 0.88 | 100 | 10 | 2 | ND | 6 | 117 | 30 | 0.90 |
| Africa | 469 | 48 | 7 | ND | 9 | 532 | 302 | 0.94 | 425 | 43 | 6 | ND | 8 | 482 | 274 | 0.94 |
| Americas | 573 | 48 | 9 | ND | 22 | 652 | 166 | 0.77 | 345 | 45 | 5 | ND | 23 | 418 | 386 | 0.53 |
| Subtotal | 1167 | 109 | 17 | ND | 35 | 1328 | 347 | 0.84 | 870 | 98 | 13 | ND | 36 | 1017 | 474 | 0.71 |
| Global subtotal§ | 1630 | 204 | 166 | 286 | 209 | 2494 | 363 | 0.73 | 1444 | 273 | 158 | 230 | 189 | 2294 | 489 | 0.69 |
| Tropical regrowth | ||||||||||||||||
| Asia | 498 | ND | [1] | 27 | ND | 526 | 263 | 3.52 | 564 | ND | [1] | 30 | ND | 593 | 297 | 3.53 |
| Africa | 169 | ND | [1] | 73 | ND | 242 | 121 | 1.48 | 188 | ND | [1] | 83 | ND | 271 | 135 | 1.47 |
| Americas | 694 | ND | [1] | 113 | ND | 807 | 403 | 4.67 | 745 | ND | [1] | 113 | ND | 858 | 429 | 4.56 |
| Subtotal | 1361 | ND | [1] | 213 | ND | 1574 | 496 | 3.24 | 1497 | ND | [1] | 226 | ND | 1723 | 539 | 3.19 |
| All tropics∥ | ||||||||||||||||
| Asia | 623 | 13 | 2 | 27 | 5 | 670 | 266 | 2.14 | 664 | 10 | 2 | 30 | 6 | 711 | 298 | 2.38 |
| Africa | 638 | 48 | 7 | 73 | 9 | 774 | 325 | 1.06 | 613 | 43 | 6 | 83 | 8 | 753 | 305 | 1.08 |
| Americas | 1267 | 48 | 9 | 113 | 22 | 1458 | 436 | 1.42 | 1090 | 45 | 5 | 113 | 23 | 1276 | 577 | 1.30 |
| Subtotal | 2529 | 109 | 17 | 213 | 35 | 2903 | 605 | 1.40 | 2367 | 98 | 13 | 226 | 36 | 2740 | 718 | 1.38 |
| Global total¶ | 2991 | 204 | 166 | 498 | 209 | 4068 | 615 | 1.04 | 2941 | 273 | 158 | 456 | 189 | 4017 | 728 | 1.04 |
| . | 1990–1999 . | 2000–2007 . | ||||||||||||||
|---|---|---|---|---|---|---|---|---|---|---|---|---|---|---|---|---|
| . | . | . | ||||||||||||||
| Biome and country/region . | Biomass . | Dead wood . | Litter . | Soil . | Harvested wood product . | Total stock change . | Uncertainty (±) . | Stock change per area (Mg C ha–1 year–1) . | Biomass . | Dead wood . | Litter . | Soil . | Harvested wood product . | Total stock change . | Uncertainty (±) . | Stock change per area (Mg C ha–1 year–1) . |
| . | (Tg C year–1) . | (Tg C year–1) . | ||||||||||||||
| Boreal* | ||||||||||||||||
| Asian Russia | 61 | 66 | 63 | 45 | 19 | 255 | 64 | 0.39 | 69 | 97 | 43 | 42 | 13 | 264 | 66 | 0.39 |
| European Russia | 37 | 10 | 22 | 36 | 41 | 146 | 37 | 0.93 | 84 | 19 | 35 | 35 | 26 | 199 | 50 | 1.21 |
| Canada | 6 | –24 | 14 | 6 | 23 | 26 | 7 | 0.11 | –53 | 16 | 19 | 7 | 21 | 10 | 3 | 0.04 |
| European boreal† | 13 | 0 | 3 | 38 | 11 | 65 | 16 | 1.12 | 21 | 0 | 4 | –10 | 13 | 27 | 7 | 0.45 |
| Subtotal | 117 | 53 | 103 | 125 | 94 | 493 | 76 | 0.45 | 120 | 132 | 101 | 74 | 73 | 499 | 83 | 0.44 |
| Temperate* | ||||||||||||||||
| United States‡ | 118 | 6 | 13 | 9 | 33 | 179 | 34 | 0.72 | 147 | 9 | 18 | 37 | 28 | 239 | 45 | 0.94 |
| Europe | 117 | 2 | 8 | 81 | 24 | 232 | 58 | 1.71 | 137 | 2 | 9 | 65 | 27 | 239 | 60 | 1.68 |
| China | 60 | 22 | 15 | 31 | 7 | 135 | 34 | 0.96 | 115 | 24 | 8 | 28 | 7 | 182 | 45 | 1.22 |
| Japan | 24 | 9 | ND | 19 | 2 | 54 | 14 | 2.28 | 23 | 5 | ND | 8 | 2 | 37 | 9 | 1.59 |
| South Korea | 6 | 2 | ND | 5 | 0 | 14 | 4 | 2.14 | 12 | 2 | ND | 4 | 0 | 18 | 5 | 2.86 |
| Australia | 17 | ND | 10 | 15 | 8 | 50 | 13 | 0.33 | 17 | ND | 10 | 14 | 10 | 51 | 13 | 0.34 |
| New Zealand | 1 | 0 | 0 | 1 | 5 | 7 | 2 | 0.91 | 1 | 0 | 0 | 1 | 6 | 9 | 2 | 1.05 |
| Other countries | 1 | ND | ND | ND | 0 | 1 | 1 | 0.07 | 2 | 0 | 0 | 0 | 0 | 3 | 2 | 0.18 |
| Subtotal | 345 | 42 | 46 | 160 | 80 | 673 | 78 | 0.91 | 454 | 42 | 45 | 156 | 80 | 777 | 89 | 1.03 |
| Tropical intact | ||||||||||||||||
| Asia | 125 | 13 | 2 | ND | 5 | 144 | 38 | 0.88 | 100 | 10 | 2 | ND | 6 | 117 | 30 | 0.90 |
| Africa | 469 | 48 | 7 | ND | 9 | 532 | 302 | 0.94 | 425 | 43 | 6 | ND | 8 | 482 | 274 | 0.94 |
| Americas | 573 | 48 | 9 | ND | 22 | 652 | 166 | 0.77 | 345 | 45 | 5 | ND | 23 | 418 | 386 | 0.53 |
| Subtotal | 1167 | 109 | 17 | ND | 35 | 1328 | 347 | 0.84 | 870 | 98 | 13 | ND | 36 | 1017 | 474 | 0.71 |
| Global subtotal§ | 1630 | 204 | 166 | 286 | 209 | 2494 | 363 | 0.73 | 1444 | 273 | 158 | 230 | 189 | 2294 | 489 | 0.69 |
| Tropical regrowth | ||||||||||||||||
| Asia | 498 | ND | [1] | 27 | ND | 526 | 263 | 3.52 | 564 | ND | [1] | 30 | ND | 593 | 297 | 3.53 |
| Africa | 169 | ND | [1] | 73 | ND | 242 | 121 | 1.48 | 188 | ND | [1] | 83 | ND | 271 | 135 | 1.47 |
| Americas | 694 | ND | [1] | 113 | ND | 807 | 403 | 4.67 | 745 | ND | [1] | 113 | ND | 858 | 429 | 4.56 |
| Subtotal | 1361 | ND | [1] | 213 | ND | 1574 | 496 | 3.24 | 1497 | ND | [1] | 226 | ND | 1723 | 539 | 3.19 |
| All tropics∥ | ||||||||||||||||
| Asia | 623 | 13 | 2 | 27 | 5 | 670 | 266 | 2.14 | 664 | 10 | 2 | 30 | 6 | 711 | 298 | 2.38 |
| Africa | 638 | 48 | 7 | 73 | 9 | 774 | 325 | 1.06 | 613 | 43 | 6 | 83 | 8 | 753 | 305 | 1.08 |
| Americas | 1267 | 48 | 9 | 113 | 22 | 1458 | 436 | 1.42 | 1090 | 45 | 5 | 113 | 23 | 1276 | 577 | 1.30 |
| Subtotal | 2529 | 109 | 17 | 213 | 35 | 2903 | 605 | 1.40 | 2367 | 98 | 13 | 226 | 36 | 2740 | 718 | 1.38 |
| Global total¶ | 2991 | 204 | 166 | 498 | 209 | 4068 | 615 | 1.04 | 2941 | 273 | 158 | 456 | 189 | 4017 | 728 | 1.04 |
* Carbon outcomes of forest land-use changes (deforestation, reforestation, afforestation, and management practices) are included in the estimates in boreal and temperate forests.
† Estimates for the area that includes Norway, Sweden, and Finland.
‡ Estimates for the continental U.S. and a small area in southeast Alaska.
§ Estimates for global established forests.
∥ Estimates for all tropical forests including tropical intact and regrowth forests.
¶ Areas excluded from this table include interior Alaska (51 Mha in 2007), northern Canada (118 Mha in 2007), and “other wooded land” reported to the Food and Agriculture Organization.
Current global carbon (C) stocks of about 861 ± 66 Pg C are found in world forests, with about 44% in soil C storage, 42% in living biomass below and above ground, about 8% in deadwood, and another 5% in litter (Pan et al 2011). Tropical forests store about 55% of this C (471 ± 93 PgC), with slightly less than a third in boreal ecosystems (32%, or 272 plus or minus 23 Pg C), and temperate forests holding about 19% of forests stocks (119 ± 6 Pg C). Tropical forests store most of their carbon in biomass (56%), with about 32% in soils. Boreal forests more or less reverse this storage pattern with some 20% of the C in biomass and 60% in soils (Pan et al 2011). As Table 2 reveals, there is a large consistent uptake of C of about 2.5 –2,3 Pg C year from 1990 to 2007. When secondary forest uptake is reviewed and added to the totals, there is a consistent gross forest sink of some 4.05 Pg C per year and a net sink of some 111 ± .82 Pg per year. The biomass of more or less intact tropical forests is roughly two-thirds of the total global forest carbon sink. Thus what happens in tropical forests of critical importance for the global climate and not some tropical fetish of scientists. Some of this productivity is explained by the processes of C fertilization in mature forest biomes, which remains controversial. But, significantly, a great deal of sequestration is occurring via secondary forest recovery over the last century of changes and land abandonment in the tropics.
Tropical land use changes have caused net C releases that are second only to fossil fuel emissions and are estimated at about 60% of fossil fuel emissions. These large additions to atmospheric GHG are significantly offset by about 50%—by secondary growth, and other forms of forest land recuperation. We discuss secondary forests in more detail further on, because they are among the most dynamic systems in the global carbon cycle, but also involve social and biotic processes that are among the most complex [83,84,85,86,87,88]. The significance of these intact and recovering tropical forests—summing about 2.7 ± 0.7 Pg C per year—is that they account for about 70% of the gross C sink of the world’s forests, and, at the same time, C releases from deforestation in the tropics are equivalent to 60% of global fossil fuel emissions. Tropical areas are the focus of vast new development programs which are changing land uses, even as climate change is also strongly affecting these forests and thus threatening their carbon sequestration and storage patterns [89,90,91]. As Pan et al [1] point out, “tropical forests have the world’s largest forest area, the most intense contemporary land use change, the highest C uptake, but also the most uncertainty.” It is important to control deforestation but on the optimistic side of the story, substantive changes in clearing can occur relatively quickly, in decades [39,92,93,94,95,96]. Although deforestation still continues, there are significant declines in deforestation in some areas, which reflect unusual constellations of socio-economic, institutional, and political factors.
What does this mean? First, temperate forests overall are doing well through dynamics of suburbanization, shifts in agricultural lands from agrarian to other uses, forest regrowth, and, in the case of China, intensive reforestation which enhanced its forest C sink by some 34% [97]. Even in the US, there are ample opportunities to augment forest sequestration through more carbon-based management and enhancing forests in less wooded landscapes [98].
This positive trend is countered by the reality that US western forests and some boreal forests are suffering from high tree mortality from combinations of drought, climate change, and related insect predation [99]. US Forest Service data, released in June 2016, provide alarming statistics: extreme drought, warming weather, and bark beetle infestation have killed 66 million trees in California’s Southern Sierra Nevada since 2010. 26 million of those trees died over just an eight month period at the end of 2015 and beginning of 2016 [100]. We know the southwestern US has had decadal droughts and the region may be on a cusp of a biome change [101,102,103]. The large-scale death of trees in California and elsewhere has radically changed fire behavior, in tandem with the increase in fire suppression practices that disrupted historic fire management regimes in which more frequent, smaller fires prevented large conflagrations.
El Niño weather patterns dry tropical forests and enormously increase their flammability. The influence of these climate stresses is persistent [90,104,105,106,107,108]. We must avoid dynamics that produce downward spirals, which now means paying a lot more attention to broader landscape scales and human interventions that result in forest clearing. Even short-term tropical deforestation pulses can rapidly exceed the emissions of industrial economies, as occurred in 2015 when forest clearing in Indonesia resulted in C releases that exceeded the emissions of the US economy. All of these factors point to the importance of both avoided and zero net deforestation as a central climate change mitigation strategy.
Slowing Deforestation
Global tropical deforestation, at roughly 12% of total global emissions, is equivalent in its carbon release to the entire global transportation system. At the same time, deforestation in the Amazon has declined dramatically (going down 80% since 2004) due to a complex of new institutions, regulations, political will, and monitoring. Social pacts, social transformations at broader scales, and structural change in the regional economies were critical in producing this astounding result [95,109,110]. Brazil’s reduction in Amazonian deforestation—largely from control over the soy-cattle complex in the southern Amazon arc of deforestation—represents the single biggest emissions cut in the past decade. Brazil’s reduction in deforestation amounted to offsetting 3.2 billion tons of carbon dioxide emissions, equal to the savings that would have been achieved by taking all cars off American roads for three years. This decline dropped Brazil’s total emissions by 40%, making this country one of the global leaders in climate mitigation. This was achieved quickly—within a decade—and reflected a local decoupling, or unlinking, of economic growth from forest clearing in southern Amazonia. (Such decoupling of economic health from GHG emissions is perhaps more widespread that realized: California, the world’s eighth-largest economy, produces only 1% of global emissions.) Unlike many technology-based mitigation efforts that focus on a single innovation, in Brazil a confluence of social dynamics, scientific analysis, global market configurations, commodity chain pressures, regional politics, social movements, careful monitoring, institutional development, and activism across multiple scales produced what is now being hailed as the country’s “low carbon” development track [48,94,111,112,113]. In part, technological gains associated with intensifying agriculture reduced forest clearing in the Brazilian case. But while many other soybean-growing areas of Latin America adopted the same new technology, there the result was expanded forest clearing in a classic case of the Jevons paradox by which more efficient technologies do not reduce resource use because they also increase demand.
In Brazil, social dynamics were able to decouple agricultural intensification and economic expansion from forest clearing. This runs counter to the usual explanations of deforestation drivers; neither Malthusian pressures or nor market insertion could explain the outcome. Conventional wisdom and typical modeling would have predicted increased deforestation. Population was increasing and the landscape was deeply integrated into global markets, and yet deforestation was slowing. The shop-worn, familiar explanations could not account for the effects of unforeseen socioeconomic and political dynamics, new policies, regulations, monitoring, and changing cultural norms. Trees did not have to be invented. But new social relations around environment and development did.
While soy production, one of the central drivers of deforestation, continues to have “leakage” into other biomes in South America [114], in the Brazilian Amazon, forest clearing has undergone a shift that was almost unimaginable slightly more than a decade ago. The only comparable decline in Amazonian deforestation processes was probably that associated with the massive die off of native populations in the colonial period [115,116,117]. Figure 1 shows the dramatic recent decline in deforestation in the Brazilian Amazon.
In a different way, deforestation and deforestation pressure have declined significantly in El Salvador, a place that was the poster child for deforestation in the 1970s and 1980s. Due to a number of factors outlined elsewhere [83,118], out-migration and remittances slowed regional forest clearing. Remittances (monies that migrants earn abroad and send home to their families) were positively correlated with declines in deforestation, as these funds rather than the results of agricultural sales provided income for food and other household needs. Such landscapes reflect both a decline in woodland loss and increasing secondary forests. Figure 2 shows that increasing remittances are correlated with both a decrease in forest clearing and with forest resurgence.
An increase in remittances from out-migrants who send money home correlates with reduced deforestation and forest regrowth. Source: Hecht and Saatchi [118].
An increase in remittances from out-migrants who send money home correlates with reduced deforestation and forest regrowth. Source: Hecht and Saatchi [118].
In other contexts, conservation areas have helped slow regional forest clearing to some degree, as parks and reserves inhibited speculative and acquisitive clearing [93,119,120,121]. Indigenous and traditional peoples have blocked forest clearing in many cases, which has shown that inhabitation can protect forests and underscored the value of the social movements that produced inhabited forests [92,122,123,124,125]. For this reason, traditional peoples’ movements and the ratification of their land rights are considered central in climate justice and climate mitigation debates in the tropics. The effects of such populations on forest clearing highlights the complexity of rural development politics, including controversies about rights-based claims to land, carbon dynamics, and the distribution of economic and subsistence benefits [126,127,128,129,130,131,132].
Avoiding deforestation and slowing deforestation remain central policy goals, but these complex dynamics require an array of legislative, institutional, social movement, technical, monitoring, ideological, and political tactics. Forests must be able to hold their own in the face of emergent frontier land markets, “post frontier” commodity markets, and corrupt land agencies. Historical land claimants who have supported forests and lived in them have typically been overrun or expropriated through complex forms of state investment, state expropriation for mineral resources, private appropriation, and, often, violence [133,134,135,136,137].
In places such as Amazonia, El Salvador, and also Panama, the transformation of deforestation processes reflects the more general dynamics of their multi-actor character. Multiscalar processes including global environmental financing and markets, an interested nation state, civil society, engaged local government organizations, regional investments in trees or tree crops, local livelihoods, and local environmental politics all played important roles in slowing deforestation. In the Brazilian case, forests benefitted from new forms of globalization, such as international environmental politics around climate change, increased pressure on commodity chains, boycotts, and social movements. In El Salvador the impact of war, remittances, agricultural retraction, and structural change in the economy were significant drivers. In Panama, government reforestation investment, declining agro-industrial dynamics, regional migration to smaller urban areas, and social movements inhibited deforestation and contributed to an overall forest gain [88,118,138,139,140]. The point here is that many agents across varying scales and significant globalized processes slowed deforestation. Controlling deforestation is a significant part of the picture, but helping forests that are growing back is also an important strategy, and the one to which we turn next.
Secondary Forests: From Abandoned Landscapes to Carbon Heroes
Significant areas of secondary forests—or forests that have grown back after clearing—can be found throughout the world. Forest regrowth is the result of many factors, including land use change, migration, urbanization, the impact of remittances from migrants, reforestation policies, emerging markets for environmental services, markets for tree crops, slope stabilization, energy and timber markets, and agricultural retraction as a consequence of poor prices for annual crops usually grown by peasants [26,141,142,143]. In Latin America, secondary forests account for almost a third of the land that has thus far been cleared. While socially complex and difficult to monitor, the dynamics of forest recovery in the tropics are widespread. Regardless of the diversity of proximate or structural causes, from the carbon perspective forest regrowth is a positive outcome because young forests are much more active in terms of GHG uptake. Even within the US, especially in the northeast and parts of the south, there is significant “rewilding” [144]. Europe also is undergoing such processes [145,146,147].
New forms of capital—from remittances to state transfers—are major elements of rural poverty alleviation, and these have had an impact on forests. Tropical areas are notable for their remittance economies: they receive monies from migrants who send funds home [39,40,148,149,150,151]. About a billion people are migrating, and remittance economies as well as social subsidies like conditional cash transfers (subsidies to poor households for child health and education), pensions, and even proceeds from clandestine economies are shaping land uses. As a result, people are doing less labor-intensive agriculture and closely-timed annual cropping; instead, households engaged in all kinds of migration substitute more flexible assets, such as livestock and forest investments [23,118,152,153,154,155]. Transnational communities—such as the “hometown associations” that Mexican migrants in the US organize to support their communities of origin in Mexico—often involve environmental activities, including reforestation, forest management, and some Mexican REDD projects. Such initiatives represent “social remittances” in the form of environmental ideologies that migrants send back home [149,156,157]. Secondary forest systems reflect enormous variability in the social processes that produce them, but unfortunately their complexity also acts as barrier to their inclusion in conventional economic policies aimed at reducing carbon emissions.
Forest Transitions
The forest transition represents an important opportunity to enhance carbon uptake in changing landscapes through policy support, the manipulation and choice of tree species, and engagement in landscape recuperation in already inhabited places. While increasing attention focuses on constructing institutions and policies for secondary forest landscapes, how these translate into carbon dynamics remains largely unstudied [158,159,160,161,162]. Further, these systems are socially complex and the array of property and use regimes that surround them differ greatly among regions. The sheer heterogeneity of drivers and processes is an active research area [27,48,88,141,163,164,165].
This relative lack of knowledge partly reflects the “low status” of secondary forests as an area of study among tropical ecologists and as a focus of domestic and international policymakers. It could also reflect a certain political indifference to the social matrix—migrants, peasantries, and absentee owners—that shapes such woodlands. At another level, landscape analysts and political ecologists note the difficulty in understanding the value and the cultural values that inhere in such secondary forests because their use may be sporadic or clandestine and the institutions that mediate their access may also be contested. Wood, fruit, and forage collection (and sometimes theft) are classic examples of periodic and often invisible uses. Thus these secondary forests—among the most common, yet most variable forest formations on the globe—are in many ways ciphers because their socio-cultural characteristics and the diversity of the drivers that produce them remain relatively unknown, even as their research profile is increasing due to their extraordinary dynamics in the carbon cycle.
Secondary Forests and their Potential
The carbon dynamics of secondary forests—that is, forests that emerge from areas that have been at least partially cleared—has become a hot topic because the carbon sequestration and climate change mitigation potential of secondary forests is immense, but also extremely variable. The carbon sequestration of secondary forests varies depending on the original biome, time, land use history, land use intensity, cycles of previous use, and continuing patterns of exploitation. In other words, a key variable in the C uptake and storage of secondary forests is human management. In a recent compendium of carbon sequestration in secondary forests in Latin America, above ground biomass of 20-year-old secondary forest varied more than 11-fold across sites with an average annual net carbon uptake of 3.05 Mg C ha–1 yr–1. This average carbon uptake rate is about 11 times the uptake rates of Amazonian old-growth forests in 2010 (0.28 Mg C ha–1 yr–1) and 2.3 times the uptake rates of selectively logged Amazonian forests (1.33 Mg C ha–1 yr–1) [86,87]. Clearly, anthropogenic disturbances—that is, disturbances caused by humans—set the system back to an earlier successional stage, leading to lower standing biomass but faster growth rates and C absorption in the regrowing plants. Although second-growth forests have lower carbon stocks than the old-growth forests they replace because they have lower biomass, their carbon sequestering potential is higher because they are adding biomass. Most of these gains occur in the early decades of succession, as we see in Figure 3.
Although a standard narrative that says forests collapse after they have been cleared has shaped how we view deforestation, woodlands are, in fact, resilient. At a general level, their rate of biomass recovery depends on water availability. As analysts of traditional fallow management systems argue, forms of human intervention—such as cutting vines and selection of preferred species—produce more rapid recovery [44,158,166,167,168]. By identifying forests that are resilient and have high carbon sequestration potential, we can target such areas for REDD+ natural regeneration. Areas that have been cleared are also usually areas with some kind of infrastructure and thus are prime sites for restoration and afforestation activities.
Secondary forests in most of Latin America are not simply the outcome of biotic processes and simple “abandonment,” but reflect complex local, regional, globalized, and planetary processes (such as hurricanes and landslides) that are embedded in land use history. Imagining that the successional dynamics of forest recovery always occur unimpeded is naive. One person’s abandoned land may be another person’s source of survival and “insurance goods,” part of a swidden cycle [169,170,171], or part of a land speculative strategy. In some contexts and ownership frameworks, it might be possible to simply leave such areas to proceed through successional processes on their own. But that approach is risky, because such secondary forests may be captured by new commodity processes. That has occurred with the transformation of degraded pastures and successional forests into agro-industrial, tropical “post-frontiers” of cane, cotton, and soybeans grown under new production regimes [114,172,173,174,175,176]. For example, the “Green Municipios” program directed at the degraded areas in Para and Mato Gross states in Brazil proposes recuperation of secondary forests into intensive pastures or agro-industrial annual crops. Or such secondary forests may become part of expanding peri-urban landscapes in the increasingly urbanized Latin American tropics [177,178,179]. Secondary forests are “socially active” as well as biotically vibrant. This functions as both a constraint and an opportunity for thinking about their role in C uptake.
Secondary forests, as viewed from the perspective of REDD, are generally understood as landscapes that lie outside economic interests, leached of their utility except as sites of carbon sequestration. The dynamics that produced “land abandonment” and the recent cycles of successional landscapes represent the latest phase of economic integration, whose dynamics can be disrupted and whose social contexts are often of little interest to outside observers. In fact, the land itself may not be abandoned at all—rather, the ways in which local people use such forests may be invisible to outsiders [159,180,181,182,183,184,185]. While secondary forests are of huge potential in carbon uptake and climate change mitigation, national REDD-ish programs have proved quite controversial, in part because the conservation narrative has often overtaken the poverty alleviation story. That is, while local and political support for such REDD initiatives rests on the claim that they will alleviate poverty, their other imperative to conserve forests comes to seem more important. The problems of participation, tenurial complexity, management, criminalization of traditional uses, loss of autonomy, and repressive monitoring under complex property regimes continue to be the “third rail” of such landscapes. While a great deal of the literature on secondary forests views them as uninhabited landscapes, they may well be anything but abandoned. Secondary forests are but one type of anthropogenic forest systems with diverse C uptake profiles. Indeed, the range of C uptake and storage in these forests means that there is plenty of scope for improving their dynamics using both local knowledge and formal, scientific knowledge systems. We now turn to another obvious anthropogenic forest system and its C sequestration potentials, but one where the land rights and production logics are perhaps clearer.
Agroforestry and the Carbon Question: A Central Issue in Climate Justice
Agroforestry is a collective name for land-use systems and technologies where woody perennials—trees, shrubs, palms, bamboos, and so on—are deliberately grown on the same land management unit as agricultural crops and/or animals, either in a spatial arrangement or temporal sequence. In agroforestry systems, the different components interact in both ecological and economic ways. The term has come to include the role of trees in landscape-level interactions, such as nutrient flows from forest to farm, or community reliance on fuel, timber, or biomass available within the agricultural landscape [186]. This is a big tent definition, but does help to underscore how extensive these systems are. Agroforestry systems range from raising livestock for subsistence in silvo-pastoral settings (that is, places that combine woods and fields), to home gardens, on-farm timber production, tree crops of all types integrated with other crops, and biomass plantations. A recent global study of trees on farms by the International Center for Research on Agro-Forestry (ICRAF) found that of the global area classified as agricultural (22,183,204 km2), about 46% had more than 10% tree cover (some 10,120, 000 km2). Further, 5,960,000 km2 of agricultural land (27% of the global total) had more than 20% tree cover, and 1,670,000 km2 (7.5%) had more than 50% tree cover [186]. These agroforestry systems are historically typical of smaller mixed, or diversified, farming, in which farmers grow multiple crops and often raise livestock as well. They reflect a diversity of land management options and are one of the most important production systems in inhabited landscapes. Agroforestry, the inclusion of trees and often animals within farming systems, has long been a traditional land use developed by small-scale and commercial farmers; agroforestry combines traditional land management practices, modern and traditional knowledge systems, and local solutions throughout most of the world. Agroforestry is pretty much everywhere, with the exception of agro-industrial monocrop systems that devote large swathes of land to only one crop, such as wheat, corn, or soybeans.
Agroforestry systems produce some of the most globalized commodities, including coffee, rubber, cacao, palm oil, coconut, and tea as well as luxury fruits like durian, and mangosteen. Agroforestry also produces a plethora of other subsistence, regional, and local commodities as well as the most modest and domestic of products. A majority people on the planet may be consuming products—ranging from beverages, fruits, and spices to firewood—that come from agroforestry systems on a daily basis without even realizing it. In the much of the developing world, moreover, home garden agroforests are a regular feature of urban spaces. These include cultivated forests, urban woodlots, and domestic agroforests, and they dominate urban greenspace when examined with remote sensing as well as survey and ethnographic data [187,189,190,191,192,193]. The lack of data, fundamental misconceptions about what agroforestry is, the general indifference to or mere rhetorical attention to small farming systems in national development programs, the ecological complexity and the diversity of these systems, and the relative apathy of the climate community about agroforestry has led to an assumption that it is globally of little importance. But clearly we are looking at a land use that covers vast acreages of agricultural landscapes. According to ICRAF, 80% of farming units on the planet are in some form of agroforestry.
Agroforestry has not had the profile it deserves in climate studies and politics, particularly given the land area agroforestry involves, its potentials for intensification, and the important role it can play in climate justice politics. REDD discussions have largely concentrated on mature forest offsets, but inhabited agrarian landscapes—which often have the potential to increase their woody component—merit far more attention. Few climate interventions offer more scope to address the UN sustainability goals of enhancing biodiversity while addressing poverty alleviation, but the dynamics still remain complicated by property regimes, the historical invisibility of non-traditional agroforestry systems, and the absence of visible “markers of management,” such as mechanization and purchased fertilizer use. (That is, though many agroforestry systems, including household compounds, may not use machines and purchased fertilizer, people are nevertheless managing the land in ways that may not be apparent to outsiders.) The scope of agroforestry includes far more systems than policymakers may understand, as Table 3 demonstrates.
Agroforestry Systems.
. |
|---|
| Agroforestry Systems.The term “agroforestry” describes farming systems in which people deliberately manage woodlands or tree landscapes alongside or integrated with other kinds of farming, such as raising livestock and growing grain crops, fruits, and vegetables. This list of some of the most widespread forms of agroforestry in the world demonstrates how pervasive and diverse such systems are. |
|
. |
|---|
| Agroforestry Systems.The term “agroforestry” describes farming systems in which people deliberately manage woodlands or tree landscapes alongside or integrated with other kinds of farming, such as raising livestock and growing grain crops, fruits, and vegetables. This list of some of the most widespread forms of agroforestry in the world demonstrates how pervasive and diverse such systems are. |
|
Carbon Sequestration in Agroforestry
Natural forests and successional tropical forests remain the primary land-based carbon sinks [1,8], but there is increasing interest in the role that agroforestry systems could play in carbon sequestration [85,223,224,225]. Climate scientists have paid limited attention to these systems, but their role in rural livelihoods and their relation to both valuable global commodities and many local, domestic goods makes supporting such systems through credit, transfers, markets, and research a potentially useful framework for climate justice activities. Agroforestry systems can store from 12 to 228 Mg ha1 of C in AGB (median 95 Mg ha1), which is a huge range. In many cases, their enhanced diversity improves the agronomics of the farming system itself, via pollination, biological control of crop pests, and alternative hosts for crop predators [11,12,226,227]. At landscape levels, large trees in agroforestry cropping provide about 59% of the C stocks. Overall, agroforests enhance beta diversity and ecosystem connectivity [211,228,229,230,231,232].
Agroforestry is seriously underestimated in its contribution to carbon stocks and carbon uptake. If the global land agricultural land area is ~22.2 million km2 [233], the IPCC Tier 1 default value for such systems estimates world C stocks at 11.1 PgC in above- and below-ground biomass carbon on agricultural land. However, in 2000, more than 40% of this area had at least 10% tree cover—in other words, it was essentially what the UN’s Food and Agriculture Organization (FAO) defines as an open forest. As Zomer and colleagues point out, combining the IPCC Tier 1 values with estimates of carbon storage in the hitherto ignored tree component, a revised estimate of C sequestration of about 45.3 PgC occurs in agricultural lands (see Table 4), with trees contributing more than 75% (34.2 PgC) to this global total [225].
Total biomass carbon on agricultural land.
| Biomass Carbon on Agricultural Land . | ||||||||
|---|---|---|---|---|---|---|---|---|
. | ||||||||
| . | Total Biomass Carbon . | Average Biomass Carbon . | . | |||||
| . | . | . | . | |||||
| . | Pg C . | Increase as % of Total C . | t C/ha . | Total Agricultural Area (km2) . | ||||
| Region . | 2000 . | 2010 . | Change . | 2000 . | 2010 . | Change . | ||
. | ||||||||
| Australia/Pacific | 2.11 | 2.28 | 0.17 | 8.06 | 26.7 | 28.9 | 2.2 | 790,658 |
| Central America | 1.42 | 1.52 | 0.09 | 6.45 | 52.9 | 56.3 | 3.4 | 269,235 |
| Central Asia | 0.48 | 0.47 | 0.00 | –1.04 | 5.7 | 5.7 | –0.1 | 830,949 |
| East Asia | 2.37 | 2.53 | 0.16 | 6.95 | 13.2 | 14.1 | 0.9 | 1,795,893 |
| Eastern and Southern Africa | 2.31 | 2.30 | 0.00 | –0.17 | 14.7 | 14.6 | –0.0 | 1,573,527 |
| Europe | 2.13 | 2.15 | 0.02 | 0.96 | 9.3 | 9.4 | 0.1 | 2,299,766 |
| North Africa | 0.11 | 0.11 | 0.00 | –0.01 | 7.3 | 7.3 | –0.0 | 155,948 |
| North America | 3.31 | 3.40 | 0.09 | 2.68 | 16.0 | 16.4 | 0.4 | 2,073,033 |
| Russia | 1.07 | 1.07 | 0.00 | 0.02 | 6.4 | 6.4 | 0.0 | 1,669,166 |
| South America | 11.34 | 12.13 | 0.79 | 6.95 | 29.2 | 31.2 | 2.0 | 3,888,792 |
| South Asia | 2.30 | 2.48 | 0.18 | 7.85 | 12.6 | 13.6 | 1.0 | 1,827,025 |
| South East Asia | 10.03 | 10.69 | 0.66 | 6.59 | 60.8 | 64.8 | 4.0 | 1,648,268 |
| West and Central Africa | 5.57 | 5.45 | –0.12 | –2.18 | 23.3 | 22.8 | –0.5 | 2,390,980 |
| Western Asia | 0.75 | 0.79 | 0.04 | 4.72 | 7.9 | 8.2 | 0.4 | 955,689 |
| Global | 45.30 | 47.37 | 2.07 | 4.57 | 28.0 | 29.0 | 0.95 | 22,168,929 |
| Agricultural Baseline | 11.08 | 11.08 | 5.0 | 5.0 | ||||
| Contribution by Trees | 34.22 | 36.29 | 2.07 | 4.57 | 23.03 | 23.97 | 0.95 | |
| Biomass Carbon on Agricultural Land . | ||||||||
|---|---|---|---|---|---|---|---|---|
. | ||||||||
| . | Total Biomass Carbon . | Average Biomass Carbon . | . | |||||
| . | . | . | . | |||||
| . | Pg C . | Increase as % of Total C . | t C/ha . | Total Agricultural Area (km2) . | ||||
| Region . | 2000 . | 2010 . | Change . | 2000 . | 2010 . | Change . | ||
. | ||||||||
| Australia/Pacific | 2.11 | 2.28 | 0.17 | 8.06 | 26.7 | 28.9 | 2.2 | 790,658 |
| Central America | 1.42 | 1.52 | 0.09 | 6.45 | 52.9 | 56.3 | 3.4 | 269,235 |
| Central Asia | 0.48 | 0.47 | 0.00 | –1.04 | 5.7 | 5.7 | –0.1 | 830,949 |
| East Asia | 2.37 | 2.53 | 0.16 | 6.95 | 13.2 | 14.1 | 0.9 | 1,795,893 |
| Eastern and Southern Africa | 2.31 | 2.30 | 0.00 | –0.17 | 14.7 | 14.6 | –0.0 | 1,573,527 |
| Europe | 2.13 | 2.15 | 0.02 | 0.96 | 9.3 | 9.4 | 0.1 | 2,299,766 |
| North Africa | 0.11 | 0.11 | 0.00 | –0.01 | 7.3 | 7.3 | –0.0 | 155,948 |
| North America | 3.31 | 3.40 | 0.09 | 2.68 | 16.0 | 16.4 | 0.4 | 2,073,033 |
| Russia | 1.07 | 1.07 | 0.00 | 0.02 | 6.4 | 6.4 | 0.0 | 1,669,166 |
| South America | 11.34 | 12.13 | 0.79 | 6.95 | 29.2 | 31.2 | 2.0 | 3,888,792 |
| South Asia | 2.30 | 2.48 | 0.18 | 7.85 | 12.6 | 13.6 | 1.0 | 1,827,025 |
| South East Asia | 10.03 | 10.69 | 0.66 | 6.59 | 60.8 | 64.8 | 4.0 | 1,648,268 |
| West and Central Africa | 5.57 | 5.45 | –0.12 | –2.18 | 23.3 | 22.8 | –0.5 | 2,390,980 |
| Western Asia | 0.75 | 0.79 | 0.04 | 4.72 | 7.9 | 8.2 | 0.4 | 955,689 |
| Global | 45.30 | 47.37 | 2.07 | 4.57 | 28.0 | 29.0 | 0.95 | 22,168,929 |
| Agricultural Baseline | 11.08 | 11.08 | 5.0 | 5.0 | ||||
| Contribution by Trees | 34.22 | 36.29 | 2.07 | 4.57 | 23.03 | 23.97 | 0.95 | |
Source: Zomer, Neufeldt et al. [225].
Total biomass carbon on agricultural land (in PgC; and as a percentage of the total biomass carbon in 2000) and average per hectare biomass carbon (tC/ha) in the year 2000 and 2010 globally and by region, and the contribution by trees to biomass carbon on agricultural land.
There has been a substantial increase (> 2 PgC) in total biomass carbon being stored on agricultural land globally, with a corresponding increase in average biomass carbon hectare (from 20.4 to 21.4 tC ha–1). More than 75% of that was contributed by the tree component. South America and Southeast Asia have by far the largest carbon stocks on agricultural land.
Between 2000 and 2010, there was an additional increase of 2% tree cover in many agroforest systems, resulting in an increase of more than 2 PgC (or 4.6%) biomass carbon. This gives a mean value of 20.4 tC ha–1 in 2000, and 21.4 tC ha–1 in 2010, which is more than four times larger than the IPCC global estimate of 5 tC ha–1. This means that one of the significant carbon sinks has been overlooked, and clearly it is one which has the capacity to increase its woody cover in many contexts, as the range in carbon storage values makes abundantly clear.
Carbon stocks in shaded tropical commodity forests often differ little from natural forests in their carbon dynamics. This is especially true when high-diversity forests are analyzed, such as the “cabruca” cacao forests of Brazil, shaded coffee systems, and açai forests as well as the extensive fruits forests throughout Asia and Africa [14,231,234,235,236]. South America and Southeast Asia ranked highest in total above-ground biomass carbon on agricultural land with a total of 10 PgC on each continent, and they also had the greatest increase of biomass carbon (in total 1.45 PgC, or ~7%). This reflects vast amounts of agricultural area, favorable climatic conditions, forest recovery, and the prevalence of small-scale farming. Central America ranked second in terms of biomass carbon per hectacre with 53 tC ha–1 in 2000 and 56 tC ha–1 in 2010, and 85% of agricultural land storing more than 50 tC ha1 in above ground biomass.
In summary, tree cover and consequently biomass carbon on agricultural land tend to be higher in tropical, humid regions. The wide disparity between regions reflects social management and landscape legacies of various kinds as well as the net primary productivity potential of the landscapes themselves. South and North America, West and Central Africa, Southeast Asia, and Australia/Pacific all rank above the global average for carbon storage for semi-humid to arid regions. Biomass carbon on agricultural land deserves attention for its climate change mitigation potential and its adaptation benefits. Yet monocrop industrial agricultural systems have received the lion’s share of research, credit, and policy support in national and international programs of many kinds, while attention to the capacities of agroforestry systems in carbon dynamics remains scant. Again, this lack of attention may reflect the cultural and, frankly, scientific invisibility of such systems in spite of their widely recognized contributions to rural livelihoods.
In terms of climate justice, supporting such systems is one of the most important interventions that can be carried out since it affects literally hundreds of millions of farmers. Given the large amount of land potentially suitable for higher tree cover densities through agroforestry systems, sequestering carbon via increases in the tree component on agricultural land is an achievable and relatively fast route to increasing CO2 sequestration. A strategy of enhancing agroforestry coupled with slowing deforestation and supporting forest resurgence has very great potential for increasing carbon uptake and storage.
Agroforestry and Ecosystem Services: Multifunctionality and Climate Justice
Agroforestry systems are recognized as having significant potential for providing ecosystem services similar to natural forests in studies throughout the world. Shade coffee agroecosystems—among the most intensively studied—are noted for their ability to conserve tree, bird, bat, insect, epiphyte, and mammal species diversity, filter and regulate water sources, affect microclimates, and control erosion, in addition to sequestering carbon [162,231,237,238,239]. Agroforestry systems are especially important for soil microclimates that affect the microbiota, including nitrogen-fixing bacteria (bacteria that convert nitrogen into a form in which plants can absorb it) and mycorrhiza (fungi in the soil that help plants absorb nutrients through their roots), which are both central to performance in low input systems [13,240,241].
The potential for accumulation of carbon depends on land use history, the age of the site, tree species and their density, climate, soil conditions, system structure, and most especially, management such as mulching, grazing, pruning, and other means of harvesting the perennial components of the system. The non-commodity elements of the system—such as firewood, grazing, secondary products, medicinals, pulps, poles, pollination, building and roofing materials, and so on—can have livelihood benefits by contributing to subsistence and providing emergency goods and products for local exchanges and markets. How these systems are actually managed can affect the carbon dynamics both positively and negatively, but the trend toward unshaded coffee, cacao, and other tree crops has substantively reduced the carbon uptake and storage within these systems without always enhancing yields [230,237,242]. In virtually every agroforestry system, carbon sequestration in above-ground biomass and soils was higher across the board than in similar tree crop monocultures (that is, tree crops grown in fields of only one species, rather than within diverse agroforests). Moreover, the carbon uptake and storage dynamics appear to be quite sensitive to management [224,230,237,238].
Gender dynamics in access to and use of agroforest landscapes also have not received the attention they deserve. Under the changing dynamics of migration, “feminization” of the rural is an important process. Poorer households, which are often headed by women, rely to a greater degree on the secondary products of forest systems [21,83]. The resilience of agroforestry systems under conditions of migration and climate change has yet to be fully researched [40,189,206,243,244,245,246]. In general, however, vulnerability to both climatic and economic volatilities seems to be reduced in more complex agroforestry systems because of the broader range of economic, subsistence, and emergency products such systems provide as well as their ecological diversity, which can act as a buffer to human or environmental shocks [231,247,248,249].
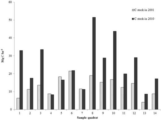
Support for such multifunctional agroforestry systems through credits, rural services, and environmental service payments not only supports additional benefits beyond marketable crops, but also, given the socio-economic profiles of agroforestry farmers, is a form of climate justice that could be enacted across numerous ecological and socio-cultural contexts all over the planet. However, agroforestry remains an “orphan” system in climate discussions, which continue to be focused on first-world hard technologies, energy technologies, and decarbonizing consumption. Little attention has been paid to the potentials of systems that are decentralized, difficult to standardize, and often quite gendered. Thus agroforestry systems remain largely in the hands of rural producers, many of whom are impoverished and subject to political as well as ecological volatilities [250,251]. As with secondary forests, the ranges in C sequestration and storage suggest that human management of these systems is central to their dynamics. In other words, there is ample room for changing management practices to enhance the C absorption of these systems, as suggested by Figure 4. The figure charts C storage in coffee agroforestry systems over a decade in a cooperative in El Salvador. Figure 4 shows increases in C uptake in almost all sites, but also shows the variability in C stocks in different management regimes. In some cases, C stocks more than doubled in a decade, others had modest gains, and others declined. This variability suggests the carbon uptake potential of these systems revolves on the human axis of management and can change rapidly due to human interventions. As with avoided deforestation, significant change can occur in just decades.
Carbon sequestration in a coffee cooperative over 10 years. Variations in carbon stocks reflect differences in agroforestry management. Source: Richards and Mendez [230].
Carbon sequestration in a coffee cooperative over 10 years. Variations in carbon stocks reflect differences in agroforestry management. Source: Richards and Mendez [230].
Urban and Peri-Urban Landscapes and Climate: Cities of the Future
A recent special issue of Science focused on the “Urban Planet,” using as its cover visual the abiotic skyscraper skyline of Dubai and emphasizing that now half the global population resides in urban areas. Many urban studies programs likewise depict vertical cityscapes, as homage to built environments largely devoid of non-human life. This dominant story focuses on the rise of modern megacities with the model of urban development pivoting on hyper-vertical, hyper-dense urban centers such as Hong Kong or Dubai. China notwithstanding, this urban imaginary, though always captivatingly photographed in all its emblematic modernity, is largely incorrect for much of the urbanizing world. While urban populations may double by the end of the century, the actual land area of cities will probably expand by a factor of three [252]. Urbanization in developing countries is likely to be rooted in smaller “emergent cities,” urban agglomerations (i.e., areas classified as urban based on their population density that are not exactly formal cities), suburbanization, and peri-urbanization. In the next thirty years, the dense city model of urban development will be complemented or superseded in many areas by a much more “sprawly” model, one already on offer throughout the developing world and especially in the US, the world leader in sprawl development [252]. As of 2000, 80% of US residents lived in metropolitan areas, with 62% of these residents living in suburban neighborhoods [51], and for a number of reasons this has become an aspirational model in developing countries. In the US, urban areas have expanded at approximately twice the rate of population growth.
The most recent Intergovernmental Panel on Climate Change [51] report suggests that urban areas consume between 67% and 76% of global energy and generate about three quarters of total global carbon emissions. This share of global greenhouse gas (GHG) emissions is likely to go up as global urban populations increase by two to three billion this century. Even though urban areas occupy less than 3% of the total global land surface, they have global-scale impacts on natural resources, social dynamics, human well-being, and the environment due to the concentration of populations, energy use, and waste within urban areas.
The 21st century is much more likely to include extensive areas of informal urban and peri-urban development, as any remote sensing view of urban expansion in developing countries and much of the developed world will reveal [253,254]. This kind of extensive urban growth is expensive in terms of transportation, infrastructure, and social services, but continues to provide environmental services, though those are largely invisible (at least to urban planners). The ecological and agricultural spaces within such sprawling peri-urban areas are often lost in hyper-urbanized vertical cities with their impermeable pavement and heat-absorbing infrastructure. There is much about sprawl that must be questioned, but it permits the possibility of greater landscape heterogeneity and thus a means of mitigating urban heat island effects and offsetting emissions of carbon and various other pollutants. As the World Cities Report (2016) has put it, “Urban landscapes are the spaces of convergence of economies, cultures, political, and ecological systems. . . . With more than 80 per cent of the world’s goods and services now produced in urban areas—and 80 per cent of future growth to 2030 expected to occur in cities—it is not an exaggeration to assert that the economic and social futures of whole countries, regions, and the world will be made in cities, today’s nests of “emerging futures.” Current urban structures will provide the deeper, mostly path-dependent, dynamics which will shape how people can respond to climate change within urban areas, and may determine whether cities are livable or not under the predicted increases in urban temperatures.
An emerging literature about cities as “nuclei of sustainability” identifies urban efficiencies associated with agglomeration: more compact energy grids, new forms of renewable energy capture, denser transportation networks, innovation in construction materials, and ecological efficiencies in new production technologies and communication. As the other chapters in this book suggest, central interventions in energy and transportation will implicitly continue to focus on urban areas and their networks. But because most of the urban development is still incipient, such urban and peri-urban areas could be redirected to low-carbon futures through strategic bioregional development initiatives, assuming key urban decision makers have the necessary will and institutional framings. Such bioregional development initiatives could bring urban areas into sync with nearby rural areas, working landscapes, and wildlands in order to sequester carbon through agroforestry and innovative uses of green infrastructure [255]. Newly urbanizing regions offer up unique opportunities to reimagine green infrastructure, and much green infrastructure is actually already in place in the developing world, though it is not recognized as such. The limited research on complex urban ecosystems means that a policy and practice universe that promotes a “biological city” remains underserved, and even the biotic dynamics that are in place remain under-recognized and under-researched.
The immense global carbon budget associated with urban production and consumption and their hinterland impacts cannot be offset by biotically animating urban areas; at the same time, trees in cities are essential for climate change adaptation. Generalized climate events affect cities, but the nature and physics of urban surfaces, their heat absorbing capacities, their lack of permeability, and wind dynamics produce the urban heat island effect, which can raise urban temperatures by as much as 5 degrees centrigrade. For example, Mishra and colleagues in their review of climate records for 217 urban areas across the globe from 1972–2012 found that almost all cities experienced impressive increases in heat waves, with two-thirds of cities also exhibiting extremely hot nights. These heat events have been increasing in recent years [256]. While urban design features could in theory mitigate the intensity of the heat island effects, the most generally cited amelioration strategies involves planting vegetation. Planting trees has to be a key part of any urban adaptation strategy even if biotic mitigation of C emissions is much more powerful outside of cities.
The Urban Heat Island Effect: Cities as Harbingers of the Climates of the Future
In many ways, cities are already living in the climates of the future. The urban heat island effect—which makes cities warmer than the rural areas around them—results from the loss of vegetation in cities, which both reduces the albedo, decreasing reflection of short-wave radiation, and reduces evapotranspiration, decreasing cooling due to transfer of latent heat. In the UK, urban centers can consequently be up to 7°C warmer than the surrounding rural areas [257]. While air quality is usually the focus in discussions of urban hazards from energy use and production [258,259], heat trauma also captures headlines and is likely to become more salient as cities become denser and as larger emergent cities grow in the tropics and sub-tropics. It is not really possible to offset the immense GHG footprint of cities by planting trees within cities, but vegetation is nevertheless essential in reducing the heat island effect and is one of the most important ameliorating processes for addressing urban habitability. Even regional forests can help: in Manaus, a tropical city, mean ambient temperature increases were about 3°C above that of the forest [260,261]. The extensive area of moist forest around Manaus kept the increase in temperature due to the urban heat island effect lower than in cities in temperate and arid zones.
Weather extremes of heat, humidity, and flooding are exacerbated in cities because of infrastructure, developed for earlier weather regimes, that uses heat-absorbing materials and relies on impermeable surfaces, such as pavement. These weather extremes will increase in frequency and severity due to climate change, as most of the globally warmest days have occurred since 2000. The combination of weather extremes and urban heat island effects can hit cities hard. Just as an example, in Europe in the summers of 2003 and 2013, extreme heat events resulted in serious health problems, the 2003 the heat wave being directly responsible for 14,800 deaths in France, mostly in urban areas [262]. Arid regions in the southwestern US and cities such as Los Angeles are already experiencing longer heat waves.
Globally, increases in urban temperatures have already exceeded projections for average temperature increases in response to climate change [263]. In Boston, it was estimated that the growing season was extended by 20% compared to the surrounding rural environment [264]. Hotter urban areas affect energy use; for example, in the US, it is estimated that every 1°C rise in temperature results in an increase in a city’s energy demand, for air conditioning, by 2 to 4% [265]. An analysis of temperature trends for the last one hundred years in several large US cities indicates that, since about 1940, temperatures in urban areas have increased by about 0.5–3.0°C. Downtown L.A., for example, is now 2.5°C warmer than in 1920. If electricity demand in cities increases by 2 to 4% for each 1°C increase in temperature, 5 to 10% of the current urban electricity demand is spent to cool buildings just to compensate for the heat increases we see now.
Trees in Cities
Urban green spaces are complex mosaics incorporating home gardens, yards, and non-domestic green areas such as parks of various sizes, patches of scrub in empty lots, landscaping, roadside plantings, and many types of urban agriculture. In peri-urban landscapes, green spaces differ both in patch-size and in the size of trees and extent of their cover; thus, they have a different impact on surrounding areas [266]. Armson et al [266] showed that grass in an experimental plot was found to reduce maximum surface temperature by up to 24°C when compared to concrete, an extreme case but one whose implications remain important for understanding the urban atmosphere and significant for large open spaces like parking lots that are highly concrete or asphalt based landscapes.
Because urban greenspaces are mosaics with dynamic vegetation (and soils) and that differ greatly in size and vegetation surface cover in a matrix of buildings and infrastructure, their cooling effect is difficult to predict, in part because the urban heat island effect has significant and complex spatial variability. For example, in Phoenix, Arizona, analysis of remotely sensed land surface temperature data showed that clusters of grass and trees decreased land surface temperatures more than dispersed greenspaces [267]. This makes the argument for larger parks, but these may not be so feasible in highly built up areas where thermal amelioration at the human level may be even more necessary. While urban forests are often thought to be the purview of wealthy neighborhoods, there are several studies that show no such effect or show greater woody coverage in poorer, older areas [268,269,270].
In light of the volume of GHG generation in cities, urban arborization and green spaces are unlikely to offset all of a city’s own emissions. Nonetheless, in many areas the arboreal dynamics can make a difference at the margin. Also, depending on city regions and their peri-urban hinterlands, vegetation can offset some of the emissions at a regional level. If a bioregional focus is adopted, peri-urban forests lands close to cities, like the Santa Monica or San Gabriel Mountains near Los Angeles, would be valued as much for their role in the regional “carbon economy” as for their contributions to recreation, the tourist economy, habitat, local hydrologies, and aesthetics, and managed for carbon sequestration as well. The data about the C uptake in cities remain uneven, reflecting the range of studies across different biomes, countries, and city types and the use of many different, not always comparable, methodologies.
Biomass and Carbon Uptake
There is evidence about the direct removal of carbon dioxide (CO2) from the atmosphere by urban vegetation, but it remains controversial. The few studies available from mostly temperate cities in the US and Europe have estimated the annual carbon sequestration at the scale of the entire city through the application of allometric equations, relationships between biomass (carbon stored) and physical dimensions (e.g., diameter and height) of trees, and predictive growth models applied to tree inventories. The results suggest that urban trees do have an role in the reduction of the carbon budget of cities [18]. Part of the problem pertains to the “invisibility” of treescapes in urban areas as parts of functional ecosystems and as providing environmental services. Because trees are seen as “landscaping” and not as ecological landscapes, their contributions are often overlooked and not calculated in regional inventories of carbon emissions and sinks. Although urbanized areas account for 3 percent of total land area and 81 percent of total population in the US, Nowak and colleagues found that trees in US cities sequester about 14 percent of the amount of carbon sequestered by US forests [271]. While this clearly reflects the differences in rural versus urban tree cover, with rural areas having 40 times more trees, it also shows that trees in cities do make a difference.
In studies that sought to quantify carbon storage and sequestration in urban areas of the US, field data from twenty-eight cities and six states was analyzed to determine the average C density, and then to quantify the urban contribution to C storage and uptake. Not surprisingly the data covered a broad range: According to Nowak and colleagues [271], it varied from 31.4 t C ha1 for South Dakota to 141.4 t C ha–1 for Omaha, Nebraska. The overall carbon storage of urban tree cover among all twenty-eight cities across six US states was 76.9 t C ha–1, with the net carbon sequestration rate 2.05 t C ha–1yr–1.
For Leicester in the UK, Davies and colleagues (2011) reported the total average carbon stored within the above-ground vegetation across the city to be 31.6 t C per ha–1 of urban area and 7.6 t C ha–1 for domestic gardens alone. This was similar to the results Zhao and colleagues (2010) found in the Hangzhou downtown area, where they reported 30.25 t C ha–1 and 1.66 t C ha–1 yr–1 as the average carbon storage and sequestration rate. This is a little higher than along three sample transects radiating from the Seattle central urban core in the US (18 ± 13.7 t C ha1) [272].
In a detailed study of Boston, Raciti, Hutrya, and colleagues used Lidar detection to better capture the structural features of trees [273]. They compared their high resolution biomass map to lower resolution biomass products from other sources and found that those products consistently underestimated biomass within urban areas. Their results showed that mean tree canopy cover was estimated to be 25.5 ± 1.5% and carbon storage was 355 Gg (28.8 Mg C ha–1) for the City of Boston. Tree biomass was highest in forest patches (110.7 Mg C ha–1) as one would expect, but residential (32.8 Mg C ha–1) and developed open (23.5 Mg C ha–1) land uses also contained relatively high carbon stocks. Their results suggest that cities are much more dynamic in terms of tree biomass and ecologies than usually thought. Again, the problem of underestimating the general contribution of urban forests remains.
Urban and peri-urban forestry, agroforestry, and landscaping involves managing trees and arboreal resources in and around urban ecosystems for multiple purposes; these practices can have socio-economic, conservation, microclimatic, aesthetic, and ecosystem benefits. In this sense, while the magnitude of carbon uptake will not be as impressive as that of other landscape regimes, the impacts on the urban heat island effect, human well-being, local pollution control, and energy demands (i.e., reducing demand for air conditioning where it is available) can be significant given the number of people and urban organisms affected by arborization. This realization has prompted heightened interest in the role of cities and metropolitan areas in how we think about and deal with climate change [274,275,276].
Peri-urban settings, especially in the developing world, are attracting ecological interest well beyond their roles as traditional arenas for the study of informal housing, informal economies, and migration dynamics. The often precarious settings (arroyos, hillsides, river banks) and economic conditions of the inhabitants have focused attention on the vulnerability of such urban areas to the devastating effects of climate change intensifications, such as enhanced flooding, wind destruction, and heat effects. These areas are now receiving increased attention for their potential to adapt to or mitigate climate change and for pre-empting the more disastrous effects of new climates. As urban and peri-urban areas often incorporate agricultural lands, domestic orchards, agroforests, and street plantings, over time these areas can become increasingly woody as they suburbanize. To take an interesting first world example, Los Angeles, formerly the largest agricultural county in the US in terms of value, has become progressively more woody since the 1920s, and the San Fernando valley has a distinctive urban forest aspect [277]. In L.A. more generally, the average tree density is 120 trees per hectare, a density qualifying the city in many ways as an open woodland. Suburban forest resurgence is a salient process in many developed parts of the world [64,144,278,279]. Under conditions of climate change, even cities like Phoenix plan to increase the urban canopy to 25%, and public landscaping in Los Angeles, which used to emphasize sweeping views, now awards contracts to landscape architects who anchor their designs in shade trees as days over 100°F increase.
Urban Agriculture, Treescapes, and Other Green Infrastructure
Trees within urban areas are tolerant of a wide range environmental conditions and significant forms of ecological stress (e.g., heat, water deprivation, pollution, human interference, and periodic disasters such as high winds, flooding, and fire). Many studies in the developed and developing world emphasize the co-benefits of food bearing trees, including “urban food forests” which should figure into urban solutions as part of the more general “green infrastructure” strategy. Cities are beginning to broadcast comprehensive lists of the co-benefits of healthy urban treescapes. The City of San Diego in California, for instance, like most large cities in the US, has an urban forestry program (https://www.sandiego.gov/street-div/services/forestry) that lists the benefits of trees, shown in Table 5.
“Benefits of Trees, Urban Forestry” (City of San Diego, CA).
|
|
Strongly supporting urban and peri-urban arborization and other forms of green infrastructure with human livelihoods and other environmental services in mind is one of the central challenges for bending the curve on climate change. Local improvements from microclimate management, hydrocycle mediation, carbon and ozone absorption, aesthetics, habitat, local food, and timber production require increased attention to urban arborization. Trees not only help create the “city beautiful,” a value in its own right, but are also central to thinking about the built environment as a biotic environment and active carbon landscape.
The Soil-Food Waste-Biomass Connection
One way to improve planetary biomass production as sink for carbon is to tap into food waste in ways that can sequester carbon in soil and plants. The IPCC has been generating reports with estimates of how much carbon can be sequestered via biomass and soil interventions. For instance, 1500 billion tons of carbon are stocked in soil organic matter, which is two times the amount of atmospheric CO2 [2], and 1.2 billion tons of carbon could be sequestered per year in agricultural soils [51]. Scheub (2016: xiv) estimates that: “If we, by means of climate farming, were to raise the humus content of soil by 10% within the next 50 years, the CO2 concentrations in the atmosphere could potentially be reduced to preindustrial levels.” This may be overly optimistic, but it does highlight how scientists are drawing attention the potentially large-scale magnitudes involved.
The energy and water consumption needed to produce food can be reduced when urban agriculturalists avoid petrochemical-based fertilizers, build soil with organic wastes (compost), use recycled wastewater, and harvest rainwater and urban runoff. Climate benefits can also be realized by reducing food wastage. The concept of wastage incudes (1) food lost for human consumption as a result of supply chain inefficiencies (e.g., failure to harvest crops in time, damage to the food during processing or transport), plus (2) food waste (e.g., edible items that get discarded for a variety of reasons—such as imperfections in appearance, spoilage, and people putting too much food on their plate).
During World Environment Day, 2013, Pope Francis argued that “throwing away food is like stealing from the tables of the poor, the hungry.” The carbon footprint of food produced and not eaten, according to the Food and Agriculture Organization (FAO) of the United Nations: “is estimated to be 3.3 Gtonnes of CO2 equivalent: as such, food wastage ranks as the third top emitter after USA and China” [281]. Roughly one third of all food produced globally is thrown away; in the US, this figure may be as high as 40%. The CO2 emitted in producing and distributing this food is 10% of the global CO2 emissions. The magnitude of this problem suggests that much can be gained from establishing municipal food waste reduction and recovery systems that maximize utilization of our food resources while significantly reducing emissions of CO2 and methane. Most food waste ends up in landfills where it releases methane as it decomposes, making it one of the waste sector’s largest sources of GHG emissions. Between 2013 and 2050, the FAO estimates global food production may have to increase by 60 percent in order to meet demand worldwide. In this context, the FAO’s report argues that food wastage reduction has multiple benefits. It can mitigate climate change, reduce pressure on scarce natural resources, and make it easier to meet the rapidly rising demand for food.
Conclusions
The technical solution has long been the central imaginary of modernism: tehnical solutions are scientific and uniform; they are managed and produced by experts. There is no question that many important options for “bending the curve” will have to come from decarbonizing energy sources, enhancing efficiencies, rethinking urban planning and transportation, and so forth. Although it would be difficult to call forest engagements “orphan” activities, the importance of woodlands of many types has been somewhat occluded by the conservation discourse about forests and the historical emphasis on climate change mitigation through the energy sector. Little attention was paid to forests at all until the Copenhagen COP. Trees, unlike technical solutions, do not have to be invented, but yet they remain an “add on” to mainstream climate policy. This chapter has shown (1) how widespread and underestimated the contributions of a wide range of woodlands are, and (2) that inhabited landscapes—including those of agricultural production, agroforestry and urban and peri-urban systems—can play a critical role in carbon management. Their importance can be expressed through these main ideas:
First: Forests have a broader range of carbon sequestration capacities than is usually appreciated. These have been systematically underestimated. Such systems are also very responsive to management.
Second: These varied forest systems yield many additional benefits for humans and non-humans, such as economic and livelihood goods and support for biota and geophysical processes, that go well beyond their role in carbon cycles.
Third: The varied ways that people manage forests involve a range of knowledge systems that may fall outside the current paradigms of science. As such, forests help preserve knowledge systems that might provide helpful alternative strategies we will need as climate become more extreme.
Fourth: Urban arborization not only improves thermal comfort in cities and is relatively effective at scrubbing some kinds of pollution, but such vegetation also can be far more active in terms of biomass and carbon uptake than has been realized.
Fifth: Climate justice goals may be more easily achieved by supporting the forest-related activities of the millions of rural stewards of forests in inhabited landscapes.
Sixth: Because of the extent of forests, the magnitude of potential carbon uptake, and how responsive forest ecosystems are to human interventions, improved management of forests and tree landscapes of all types is among the speediest “solutions” for bending the curve on climate change. It also partakes of the advantage that carbon has a fertilizing effect on vegetation.
Seventh: The connection among soil, food waste, and biomass gives us a critical means of reducing methane and other GHG emissions from food waste while enhancing urban ecologies.
Recommendations
Rethink forest trends. Study secondary forests, forest resurgence, and agroforestry to enable policymakers and others to “see” such landscapes, including both their carbon sequestration capacity and their many additional benefits for humans and non-humans.
Explore mechanisms to reinforce the forest transition in an equitable way. Institutional development, policy evolution, and more participatory and monitoring elements in efforts to reduce deforestation are key parts of this process.
Expand REDD efforts and other forms of compensation to slow deforestation. Such programs should alleviate rural poverty, reinforce the good stewardship of forests that is already taking place, and encourage management practices that maximize carbon sequestration, biodiversity health, and human well-being. It is essential that such programs be straightforward and refrain from criminalizing traditional resource uses.
Develop ways for migrants and remittance economies to link to the transnational project of slowing deforestation and improving forest management. Because of the high association between tropical forests and remittance economies, such economies offer opportunities for partnerships that improve ecological health as well as human livelihood, welfare, and health.
Programs and economic support for carbon-absorptive production systems like agroforestry and urban community arborization. These could include urban food forests, conservation investments within inhabited landscapes, and new institutions, legislation, and ideologies that support such approaches. In terms of climate justice, local participation in the design of such programs is essential.
Pay far more attention to inhabited agrarian landscapes—which often have the potential to increase their woody component—in climate policy and programs. Few climate interventions offer more scope to address the UN sustainability goals of enhancing biodiversity while alleviating poverty.
Invest in urban agriculture and green infrastructure. These can address multiple climate risks facing vulnerable communities by ecologically improving the local environment and providing practical solutions to food insecurity and poor nutrition.
Develop new participatory tools, models, and processes to help local residents, community organizations, municipalities, counties, and public agencies select the most suitable places for green infrastructure (e.g. rainwater harvesting systems, stormwater biofilters) and urban agriculture (e.g., sites for community gardens, urban food forests).
Place greater value on healthy rural life, working landscapes, and wildlands in relation to urban and metropolitan dynamics. Couple nature and the built environment physically and aesthetically such that life and livelihood are embedded (rooted) in a place’s landscapes, watersheds, and ecosystems literally and imaginatively.
Establish authentic participatory approaches and inspired, capable leadership to advance sustainable, resilient, and just place-making committed to eradicating the root causes of mounting economic, social, and cultural stresses, ecosystem degradation, climate change, and other urgent problems spanning local, bioregional, and global scales.
Competing Interests
The authors have no competing interests to declare.

![Figure 2. An increase in remittances from out-migrants who send money home correlates with reduced deforestation and forest regrowth. Source: Hecht and Saatchi [118].](https://ucp.silverchair-cdn.com/ucp/content_public/journal/collabra/2/1/10.1525_collabra.69/3/m_69-655-1-pb.png?Expires=1643310637&Signature=IiSeo-hubYy61UU~DSjfMHgymR6EyIbJZ4cYUdEJf0clrdDL8trrNkHklGtAEe5a2jhYECIRrkbeG6YP624ZAxx7iU-2KOkFxPM8AvbT~AuU2vWn1j6xlOL9sclG1SChaDPQ1~4y-AqPDlYfNarNjZ3EMow6VjQnZZc1RbzYahXUZUON26mrlpf5jVpDIMFvfk95YzHnLlQ5tY4sRPc6bXFwWk2PSnjvIeZkcllg1XIriWbbhZn0rVacDl3EVRrax6NRXCneGu1JrNvqWvLQuXVwsqR5NcKfBblUUYQ4RDD11XXIVfk9piTnXcvcXrqBD-ZeV0IIY1arY5B0zdXkBA__&Key-Pair-Id=APKAIE5G5CRDK6RD3PGA)

![Figure 4. Carbon sequestration in a coffee cooperative over 10 years. Variations in carbon stocks reflect differences in agroforestry management. Source: Richards and Mendez [230].](https://ucp.silverchair-cdn.com/ucp/content_public/journal/collabra/2/1/10.1525_collabra.69/3/m_69-657-1-pb.png?Expires=1643310637&Signature=4fHQZdLmJY53Re5LpcTvnBA17w3Ig-Dav2LAYZQ6RF3eUQuqRPYjOnibgO93zmWujiS4BsgpU30H0SdbJtNLgU1SM7CQ0Q9BpFx9It8yHfYVLdi1cZ-jPXR2WAP-PGBGnWrceE66zX3NOYkHXQgyjSLSO1zj9qgJBDdIgbdGxpNRAsiRl8vWLRirkwWa1BaYM8K5Bs-ekKqfmbyrdNaITYhB8~B-H503tdYm5-A~amq--SFKO8t0ANwt8qqZQ6VPCApugd3cGM~gBG3FBtl1giotWiagOESQig6GuN9CoVyTtVd1pVYUQW-PG-Qqbz33VGw6UYjzmd3ax8cmnzFEJg__&Key-Pair-Id=APKAIE5G5CRDK6RD3PGA)